Journal of Inorganic Materials ›› 2025, Vol. 40 ›› Issue (12): 1433-1442.DOI: 10.15541/jim20240410
• RESEARCH LETTER • Previous Articles Next Articles
LIU Hongming1(
), ZHANG Jinke2, CHEN Zhengpeng1, LI Mingfei1, QIAN Xiuyang1, SUN Chuanqi1, XIONG Kai3, RAO Mumin1, CHEN Chuangting1, GAO Yuan2(
), LING Yihan2(
)
Received:2024-09-14
Revised:2024-12-11
Published:2025-12-20
Online:2024-12-27
Contact:
GAO Yuan, post doctor. E-mail: tbh371@cumt.edu.cn;About author:LIU Hongmin (1996-), male, PhD. E-mail: liuhongming@geg.com.cn
Supported by:CLC Number:
LIU Hongming, ZHANG Jinke, CHEN Zhengpeng, LI Mingfei, QIAN Xiuyang, SUN Chuanqi, XIONG Kai, RAO Mumin, CHEN Chuangting, GAO Yuan, LING Yihan. Enhanced Performance of La0.7Sr0.3FeO3-δ Cathode for SOFC via Implementation of B-site High-entropy Strategy[J]. Journal of Inorganic Materials, 2025, 40(12): 1433-1442.
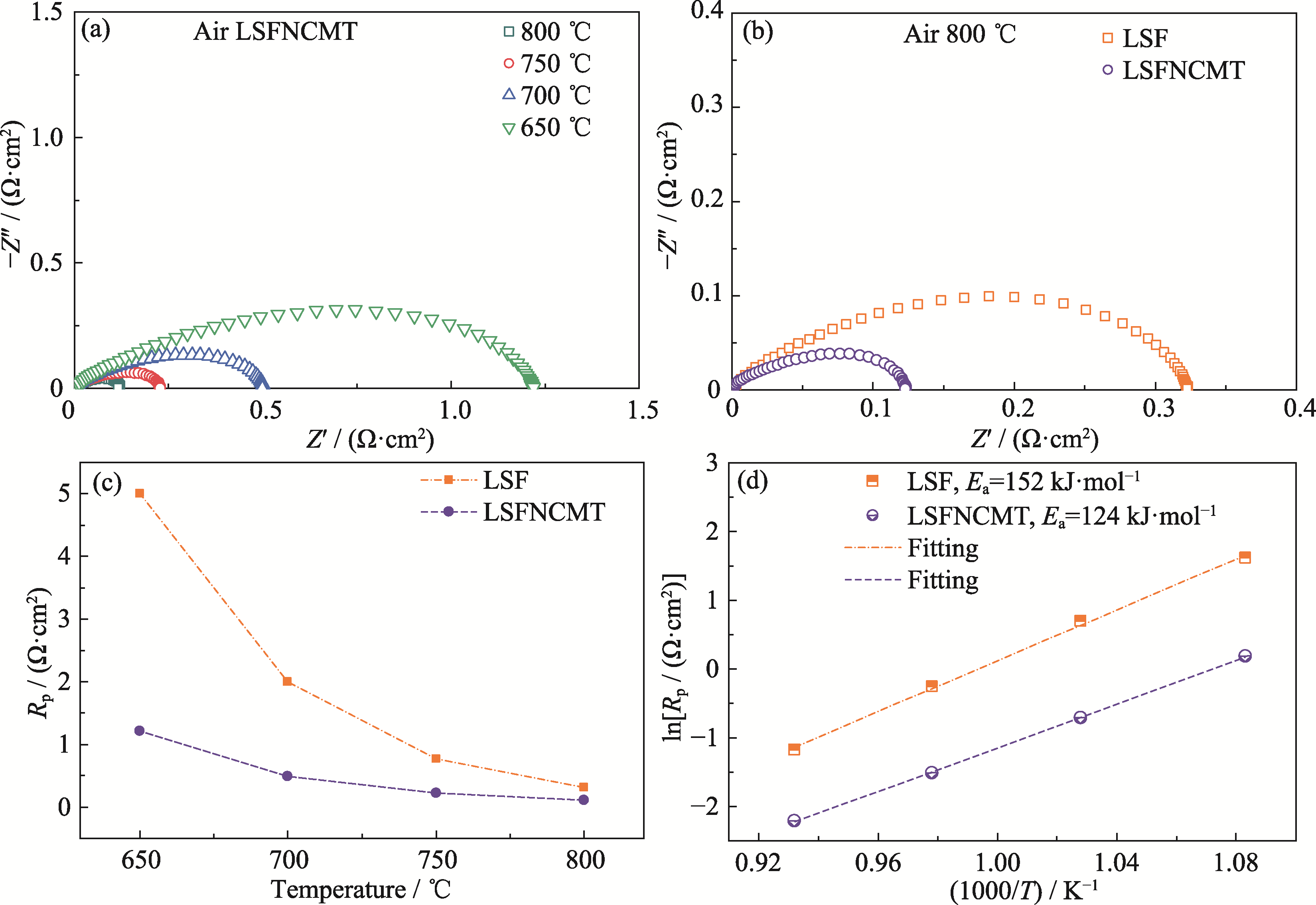
Fig. 3 Electrochemical performance of symmetric cell under different temperatures in air (a) EIS spectra of LSFNCMT electrode; (b) EIS spectra of LSF and LSFNCMT electrodes at 800 ℃; (c) Rp and (d) corresponding Arrhenius plots of two symmetric cells
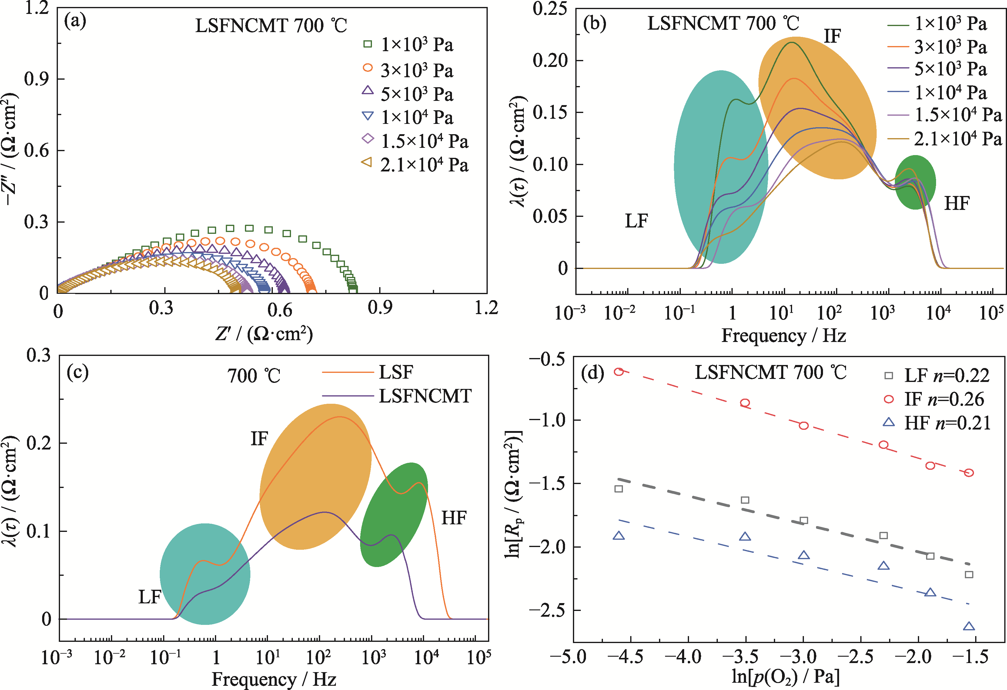
Fig. 4 Electrochemical performance of symmetrical cell under different p(O2) at 700 ℃ (a, b) EIS spectra (a) and DRT curves (b) of LSFNCMT; (c) DRT curves of LSF and LSFNCMT under p(O2) of 2.1×104 Pa at 700 ℃; (d) Dependence of each Rp as a function of p(O2) for LSFNCMT. Colorful figures are available on website
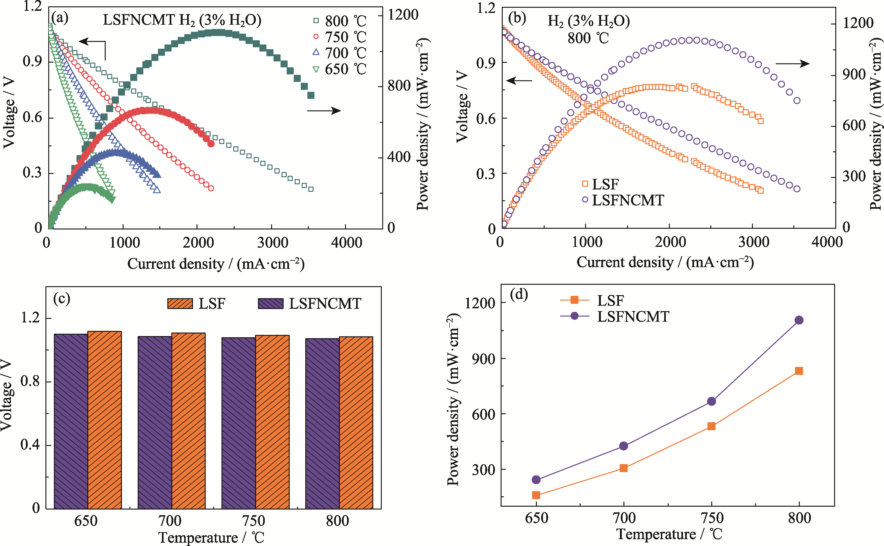
Fig. 6 Electrochemical performance of the single cell at 650-800 ℃ in wet H2 (3% (in volume) H2O) (a) I-V and power density curves of LSFNCMT cathodes; (b) I-V and power density curves of LSF and LSFNCMT cathodes at 800 ℃; (c) OCV and (d) MPD varied with temperature of different single cells
Fig. 7 Electrochemical performance of the anode-supported single cell at 650-800 ℃ in wet H2 (3% (in volume) H2O) (a) EIS spectra of LSFNCMT cathode; (b) EIS spectra of LSF and LSFNCMT cathodes at 800 ℃; (c) Rp at different temperatures and (d) corresponding Arrhenius plots of different single cells
| [1] |
PAN Z, LIU Q, NI M, et al. Activation and failure mechanism of La0.6Sr0.4Co0.2Fe0.8O3-δ air electrode in solid oxide electrolyzer cells under high-current electrolysis. International Journal of Hydrogen Energy, 2018, 43(11): 5437.
DOI URL |
| [2] |
CAOO D, ZHOU M, LIU Z, et al. Fabrication and characterization of anode-supported solid oxide fuel cell based on proton conductor electrolyte. Journal of Inorganic Materials, 2020, 35(9): 1047.
DOI |
| [3] |
LAGUNA-BERCERO M A, CAMPANA R, LARREA A, et al. Electrolyte degradation in anode supported microtubular yttria stabilized zirconia-based solid oxide steam electrolysis cells at high voltages of operation. Journal of Power Sources, 2011, 196(21): 8942.
DOI URL |
| [4] |
SINGH V, MUROYAMA H, MATSUI T, et al. Feasibility of alternative electrode materials for high temperature CO2 reduction on solid oxide electrolysis cell. Journal of Power Sources, 2015, 293: 642.
DOI URL |
| [5] |
LV H, ZHOU Y, ZHANG X, et al. Infiltration of Ce0.8Gd0.2O1.9 nanoparticles on Sr2Fe1.5Mo0.5O6-δ cathode for CO2 electroreduction in solid oxide electrolysis cell. Journal of Energy Chemistry, 2019, 35: 71.
DOI URL |
| [6] |
YE Z, ZOU G, WU Q, et al. Preparation and performances of tubular cone-shaped anode-supported segmented-in-series direct carbon solid oxide fuel cell. Journal of Inorganic Materials, 2024, 39(7): 819.
DOI URL |
| [7] |
XUE L, LI S, AN S, et al. Ca-doping cobalt-free double perovskite oxide as a cathode material for intermediate-temperature solid oxide fuel cell. Molecules, 2024, 29(13): 2991.
DOI URL |
| [8] |
PRAŻUCH J, PYZALSKI M, FERNÁNDEZ GONZÁLEZ D, et al. Physicochemical properties of (La,Sr)CoO3 thick films on Fe-25Cr steel under exposure to SOFC cathode operating conditions. Materials, 2024, 17(15): 3791.
DOI URL |
| [9] |
PINSKY R, SABHARWALL P, HARTVIGSEN J, et al. Comparative review of hydrogen production technologies for nuclear hybrid energy systems. Progress in Nuclear Energy, 2020, 123: 103317.
DOI URL |
| [10] |
DING P, LI W, ZHAO H, et al. Review on Ruddlesden-Popper perovskites as cathode for solid oxide fuel cells. Journal of Physics: Materials, 2021, 4(2): 022002.
DOI |
| [11] |
GREELEY J, MARKOVIC N M. The road from animal electricity to green energy: combining experiment and theory in electrocatalysis. Energy and Environmental Science, 2012, 5(11): 9246.
DOI URL |
| [12] |
SHEN R, NIE J, WANG K, et al. Applying multifunctional perovskite LaNiO3 as electrolyte and anode for low‐temperature solid oxide fuel cell. Journal of Materials Science: Materials in Electronics, 2021, 32(4): 4196.
DOI |
| [13] |
ZHANG K, WANG Y, ZHU T, et al. LaNi0.6Fe0.4O3 cathode contact material: electrical conducting property manipulation and its effect on SOFC electrochemical performance. Journal of Inorganic Materials, 2024, 39(4): 367.
DOI URL |
| [14] |
ZHANG Y, KNIBBE R, SUNARSO J, et al. Recent progress on advanced materials for solid-oxide fuel cells operating below 500 ℃. Advanced Materials, 2017, 29(48): 1700132.
DOI URL |
| [15] |
ISTOMIN S Y, ANTIPOV E V. Cathode materials based on perovskite-like transition metal oxides for intermediate temperature solid oxide fuel cells. Russian Chemical Reviews, 2013, 82(7): 686.
DOI URL |
| [16] |
ZHANG J, SONG K, GAO Y, et al. Tuning the thermo-mechanical synergies effect of solid oxide fuel cells with negative thermal expansion NdMnO3 in La0.6Sr0.4Co0.2Fe0.8O3-δ-based symmetric electrode. Chemical Engineering Journal, 2024, 491: 152063.
DOI URL |
| [17] |
CHEN Y, ZHU J, XIA T, et al. Improved electrocatalytic activity and CO2 tolerance of iron-based perovskite as an intermediate temperature SOFC cathode. Fuel, 2024, 375: 132546.
DOI URL |
| [18] | XIA Z, ZHANG Y, XIONG X, et al. Realizing B-site high-entropy air electrode for superior reversible solid oxide cells. Applied Catalysis B: Environmental, 2024, 357: 124410. |
| [19] | JIN F, LIU X, TIAN Y, et al. Enhancing oxygen reduction activity and CO2 tolerance by a bismuth doping strategy for solid oxide fuel cell cathodes. Advanced Functional Materials, 2024, 34(29): 2400519. |
| [20] |
CHU Z, GAO J, LI Q, et al. Highly oxygen reduction activity and CO2 resistance of Fe-based cathode electrocatalysts for solid oxide fuel cells. Journal of Materials Science and Technology, 2025, 212: 303.
DOI URL |
| [21] |
ZHANG H X, YAO C G, ZHANG Z, et al. Lithium doping enhanced ORR kinetics and CO2 tolerance of iron-based double perovskite cathode for solid oxide fuel cells. Journal of Alloys and Compounds, 2024, 980: 173632.
DOI URL |
| [22] |
BAI J, NIU L, ZHU Q, et al. Ni-doped Fe-based perovskite to obtain multifunctional and highly efficient electrocatalytic active IT-SOFC electrode. Fuel, 2024, 365: 131334.
DOI URL |
| [23] |
SUN C, SHEN Y, WANG F, et al. Optimization of a cobalt-free La0.7Sr0.3FeO3-δ-BaZr0.1Ce0.7Y0.2O3-δ composite cathode for proton-conducting solid oxide fuel cells. Journal of Alloys and Compounds, 2022, 923: 166447.
DOI URL |
| [24] |
YANG C, WANG Z, TAN Y, et al. Interface engineering of La0.6Sr0.4Co0.2Fe0.8O3-δ/Gd0.1Ce0.9O1.95 heterostructure oxygen electrode for solid oxide electrolysis cells with enhanced CO2 electrolysis performance. Chemical Engineering Journal, 2024, 498: 155461.
DOI URL |
| [25] |
WANG J, FU L, YANG J, et al. Cerium and ruthenium co-doped La0.7Sr0.3FeO3-δ as a high-efficiency electrode for symmetrical solid oxide fuel cell. Journal of Rare Earths, 2021, 39(9): 1095.
DOI URL |
| [26] |
YUAN M, WANG Z, GAO J, et al. Configuration entropy tailored beneficial surface segregation on double perovskite cathode with enhanced Cr-tolerance for SOFC. Ceramics International, 2024, 50(9): 15076.
DOI URL |
| [27] |
ZHANG X, JIN Y, JIANG Y, et al. Enhancing chromium poisoning tolerance of La0.8Sr0.2Co0.2Fe0.8O3-δ cathode by Ce0.8Gd0.2O1.9-δ coating. Journal of Power Sources, 2022, 547: 231996.
DOI URL |
| [28] |
HUANG K. A thermodynamic perspective on electrode poisoning in solid oxide fuel cells. International Journal of Minerals, Metallurgy and Materials, 2024, 31(6): 1449.
DOI |
| [29] | JIANG S P, ZHANG S, ZHEN Y D. Deposition of Cr species at (La, Sr)(Co, Fe)O3 cathodes of solid oxide fuel cells. Journal of the Electrochemical Society, 2006, 153(1): A127. |
| [30] |
GAO Y, HUANG X, YUAN M, et al. A SrCo0.9Ta0.1O3-δ derived medium-entropy cathode with superior CO2 poisoning tolerance for solid oxide fuel cells. Journal of Power Sources, 2022, 540: 231661.
DOI URL |
| [31] |
GAO Y, LING Y, WANG X, et al. Sr-deficient medium-entropy Sr1-xCo0.5Fe0.2Ti0.1Ta0.1Nb0.1O3-δ cathodes with high Cr tolerance for solid oxide fuel cells. Chemical Engineering Journal, 2024, 479: 147665.
DOI URL |
| [32] |
LI Z, GE Y, XIAO Y, et al. Fabrication and performance investigation of high entropy perovskite (Sr0.2Ba0.2Bi0.2La0.2Pr0.2)FeO3 IT-SOFC cathode material. Journal of Alloys and Compounds, 2024, 989: 174357.
DOI URL |
| [33] |
GUO T M, DONG J B, CHEN Z P, et al. Enhanced compatibility and activity of high-entropy double perovskite cathode material for IT-SOFC. Journal of Inorganic Materials, 2022, 38(6): 693.
DOI URL |
| [34] | HAN X, LING Y, YANG Y, et al. Utilizing high entropy effects for developing chromium-tolerance cobalt-free cathode for solid oxide fuel cells. Advanced Functional Materials, 2023, 33(43): 230478. |
| [35] |
WANG J, SACCOCCIO M, CHEN D, et al. The effect of A-site and B-site substitution on BaFeO3-δ: an investigation as a cathode material for intermediate-temperature solid oxide fuel cells. Journal of Power Sources, 2015, 297: 511.
DOI URL |
| [36] |
KUAI X, YANG G, CHEN Y, et al. Boosting the activity of BaCo0.4Fe0.4Zr0.1Y0.1O3-δ perovskite for oxygen reduction reactions at low-to-intermediate temperatures through tuning B-Site cation deficiency. Advanced Energy Materials, 2019, 9(38): 1902384.
DOI URL |
| [37] |
ZHU C, LIU X, YI C, et al. Novel BaCo0.7Fe0.3-yNbyO3-δ (y=0-0.12) as a cathode for intermediate temperature solid oxide fuel cell. Electrochemistry Communications, 2009, 11(5): 958.
DOI URL |
| [38] |
ZHOU Q, WEI T, SHI Y, et al. Evaluation and optimization of SrCo0.9Ta0.1O3-δ perovskite as cathode for solid oxide fuel cells. Current Applied Physics, 2012, 12(4): 1092.
DOI URL |
| [39] |
SHEN Y, WANG F, MA X, et al. SrCo1-yTiyO3-δ as potential cathode materials for intermediate-temperature solid oxide fuel cells. Journal of Power Sources, 2011, 196(18): 7420.
DOI URL |
| [40] |
ZHAO H, TENG D, ZHANG X, et al. Structural and electrochemical studies of Ba0.6Sr0.4Co1-yTiyO3-δ as a new cathode material for IT-SOFCs. Journal of Power Sources, 2009, 186(2): 305.
DOI URL |
| [41] |
YU X, LONG W, JIN F, et al. Cobalt-free perovskite cathode materials SrFe1-xTixO3-δ and performance optimization for intermediate-temperature solid oxide fuel cells. Electrochimica Acta, 2014, 123: 426.
DOI URL |
| [42] |
LI J, SUN N, LIU X, et al. Investigation on Nd1-xCaxBaCo2O5+δ double perovskite as new oxygen electrode materials for reversible solid oxide cells. Journal of Alloys and Compounds, 2022, 913: 165245.
DOI URL |
| [43] |
CHEN Z P, JIN F J, LI M F, et al. Double perovskite Sr2CoFeO5+δ: preparation and performance as cathode material for intermediate- temperature solid oxide fuel cells. Journal of Inorganic Materials, 2023, 39(3): 337.
DOI URL |
| [44] |
ZHANG Z, WANG H, LI X, et al. CO2/Cr-tolerance and oxygen reduction reaction of novel high-entropy perovskite cathode for intermediate temperature solid oxide fuel cell. Ceramics International, 2024, 50(7): 11360.
DOI URL |
| [45] |
SCHULER J A, YOKOKAWA H, CALDERONE C F, et al. Combined Cr and S poisoning in solid oxide fuel cell cathodes. Journal of Power Sources, 2012, 201: 112.
DOI URL |
| [46] |
LI Y, ZHANG W, ZHENG Y, et al. Controlling cation segregation in perovskite-based electrodes for high electro-catalytic activity and durability. Chemical Society Reviews, 2017, 46(20): 6345.
DOI PMID |
| [47] |
JEONG N C, LEE J S, TAE E L, et al. Acidity scale for metal oxides and Sanderson's electronegativities of lanthanide elements. Angewandte Chemie International Edition, 2008, 47(52): 10128.
DOI URL |
| [1] | GAO Yuan, WEI Bo, JIN Fangjun, LÜ Zhe, LING Yihan. Ag Doping Modulating Cathode Acidic Sites to Enhance Chromium Resistance for Intermediate Temperature Solid Oxide Fuel Cells [J]. Journal of Inorganic Materials, 2026, 41(1): 70-78. |
| [2] | CHAI Runyu, ZHANG Zhen, WANG Menglong, XIA Changrong. Preparation of Ceria Based Metal-supported Solid Oxide Fuel Cells by Direct Assembly Method [J]. Journal of Inorganic Materials, 2025, 40(7): 765-771. |
| [3] | QU Jifa, WANG Xu, ZHANG Weixuan, ZHANG Kangzhe, XIONG Yongheng, TAN Wenyi. Enhanced Sulfur-resistance for Solid Oxide Fuel Cells Anode via Doping Modification of NaYTiO4 [J]. Journal of Inorganic Materials, 2025, 40(5): 489-496. |
| [4] | XUE Ke, CAI Changkun, XIE Manyi, LI Shuting, AN Shengli. Pr1+xBa1-xFe2O5+δ Cathode Materials for Solid Oxide Fuel Cells: Preparation and Electrochemical Performance [J]. Journal of Inorganic Materials, 2025, 40(4): 363-371. |
| [5] | ZHU Zhijie, SHEN Mingyuan, WU Tao, LI Wencui. Inhibition of P2-O2 Phase Transition for P2-Na2/3Ni1/3Mn2/3O2 as Cathode of Sodium-ion Battery via Synergetic Substitution of Cu and Mg [J]. Journal of Inorganic Materials, 2025, 40(2): 184-195. |
| [6] | YANG Hengqiang, ZHANG Xinyue, MA Yichu, ZHOU Qingjun. Iron-based Perovskite Material La0.25M0.75FeO3-δ (M=Ca, Sr, Ba): Preparation and Performance as Cathode for Solid Oxide Fuel Cells [J]. Journal of Inorganic Materials, 2025, 40(12): 1365-1372. |
| [7] | WANG Zhe, HAO Hongru, WU Zonghui, XU Lingling, LÜ Zhe, WEI Bo. Enhancing Cr-tolerance Ability of Double Perovskite Cathodes through Configuration Entropy Engineering [J]. Journal of Inorganic Materials, 2025, 40(12): 1341-1348. |
| [8] | JIANG Yuehong, SONG Yunfeng, ZHANG Leilei, MA Ji, SONG Zhaoyuan, LONG Wen. Fluorination of BaZr0.1Ce0.7Y0.1Yb0.1O3 as Electrolyte Material for Proton-conducting Solid Oxide Fuel Cell [J]. Journal of Inorganic Materials, 2025, 40(12): 1356-1364. |
| [9] | XUE Zixuan, YIN Chaofan, YAO Yuechao, WANG Yanmin, SUN Yueyue, LIU Zhengrong, ZHOU Yucun, ZHOU Jun, WU Kai. Research Progress on Proton-conducting Solid Oxide Fuel Cells with Hydrogen-containing Fuel [J]. Journal of Inorganic Materials, 2025, 40(12): 1324-1340. |
| [10] | LIU Tong, HUANG Su, ZHU Shiyue, ZHA Fanglin, HU Xuelei, WANG Yao. Preparation of Cobalt-free Composite Cathode for Efficient High-temperature Hydrogen Fuel Cell via One-pot Synthesis Method [J]. Journal of Inorganic Materials, 2025, 40(12): 1349-1355. |
| [11] | ZHANG Jinghui, LU Xiaotong, MAO Haiyan, TIAN Yazhou, ZHANG Shanlin. Effect of Sintering Additives on Sintering Behavior and Conductivity of BaZr0.1Ce0.7Y0.2O3-δ Electrolytes [J]. Journal of Inorganic Materials, 2025, 40(1): 84-90. |
| [12] | PAN Jianlong, MA Guanjun, SONG Lemei, HUAN Yu, WEI Tao. High Stability/Catalytic Activity Co-based Perovskite as SOFC Anode: In-situ Preparation by Fuel Reducing Method [J]. Journal of Inorganic Materials, 2024, 39(8): 911-919. |
| [13] | YE Zibin, ZOU Gaochang, WU Qiwen, YAN Xiaomin, ZHOU Mingyang, LIU Jiang. Preparation and Performances of Tubular Cone-shaped Anode-supported Segmented-in-series Direct Carbon Solid Oxide Fuel Cell [J]. Journal of Inorganic Materials, 2024, 39(7): 819-827. |
| [14] | ZHANG Kun, WANG Yu, ZHU Tenglong, SUN Kaihua, HAN Minfang, ZHONG Qin. LaNi0.6Fe0.4O3 Cathode Contact Material: Electrical Conducting Property Manipulation and Its Effect on SOFC Electrochemical Performance [J]. Journal of Inorganic Materials, 2024, 39(4): 367-373. |
| [15] | CHENG Jie, ZHOU Yue, LUO Xintao, GAO Meiting, LUO Sifei, CAI Danmin, WU Xueyin, ZHU Licai, YUAN Zhongzhi. Construction and Electrochemical Properties of Yolk-shell Structured FeF3·0.33H2O@N-doped Graphene Nanoboxes [J]. Journal of Inorganic Materials, 2024, 39(3): 299-305. |
| Viewed | ||||||
|
Full text |
|
|||||
|
Abstract |
|
|||||