Journal of Inorganic Materials ›› 2025, Vol. 40 ›› Issue (12): 1324-1340.DOI: 10.15541/jim20250132
• Topical Section: Key Materials for High-temperature Fuel Cells (Guest Editor: LING Yihan) • Previous Articles Next Articles
XUE Zixuan1,2(
), YIN Chaofan1,2, YAO Yuechao2, WANG Yanmin2,3, SUN Yueyue1, LIU Zhengrong1, ZHOU Yucun2(
), ZHOU Jun1(
), WU Kai1
Received:2025-03-29
Revised:2025-06-04
Published:2025-12-20
Online:2025-06-27
Contact:
ZHOU Yucun, professor. E-mail: zhouyucun@hrl.ac.cn;About author:XUE Zixuan (1996-), male, PhD candidate. E-mail: xuezixuanx@hotmail.com
Supported by:CLC Number:
XUE Zixuan, YIN Chaofan, YAO Yuechao, WANG Yanmin, SUN Yueyue, LIU Zhengrong, ZHOU Yucun, ZHOU Jun, WU Kai. Research Progress on Proton-conducting Solid Oxide Fuel Cells with Hydrogen-containing Fuel[J]. Journal of Inorganic Materials, 2025, 40(12): 1324-1340.
Fig. 1 Comparison of P-SOFCs and O-SOFCs[16] (a) Performances comparison of P-SOFCs and O-SOFCs; (b) Schematic illustration of ionic transport mechanism of O-SOFCs and P-SOFCs
| Type | Hydrogen production technology | Cost/ (RMB·kg-1) |
|---|---|---|
| Grey hydrogen | Coal gasification | 7-11 |
| Steam methane reforming (SMR) | 9-18 | |
| Blue hydrogen | Coal gasification with carbon capture, utilization and storage | 9-20 |
| SMR with carbon capture storage | 13-24 | |
| Carbon capture storage | 2-9 | |
| Green hydrogen | Water electrolysis | 20-62 |
Table 1 Hydrogen cost in different hydrogen production pathways[25]
| Type | Hydrogen production technology | Cost/ (RMB·kg-1) |
|---|---|---|
| Grey hydrogen | Coal gasification | 7-11 |
| Steam methane reforming (SMR) | 9-18 | |
| Blue hydrogen | Coal gasification with carbon capture, utilization and storage | 9-20 |
| SMR with carbon capture storage | 13-24 | |
| Carbon capture storage | 2-9 | |
| Green hydrogen | Water electrolysis | 20-62 |
Fig. 2 P-SOFCs performance across a range of fuels[33] (a) Current density versus voltage (j-V) and current density versus power density (j-P) curves of P-SOFCs under a range of fuels; (b) Peak power densities, lifetime and degradation rates of P-SOFCs on 12 different fuel streams at 600 ℃
Fig. 3 Schematics of single chamber SOFCs[39] (a) Single chamber SOFCs with coplanar electrodes; (b) Single chamber SOFCs with fully porous electrolyte in flow-by configuration; (c) Single chamber SOFCs with fully porous electrolyte in flow-through configuration
Fig. 4 Common characterization methods for carbon deposition on SOFCs anodes[54,56,59,61,67] (a) SEM images and EDS carbon elemental mappings of the spent cell. (A-I, A-II and A-III: spent cell without catalyst; B-I, B-II and B-III: spent cell with catalyst)[54]; (b) XRD patterns of different SOFCs anode materials (A: GDC; B: Au-Mo-Ni/GDC; C: Ni/GDC; D: Au-Ni/GDC)[56]; (c) HR-TEM images of formation of the graphitic layer in NiO (A) and MgO-modified NiO (B)[59]; (d) TPO results of the carbon deposits (A: weight loss curves and derivative plots; B: yields of different types of carbons deposits at different pyrolysis temperatures)[61]; (e) Time-resolved normal Raman and SERS analysis of coking and carbon removal on nickel surface (carbon deposition on (A) blank Ni and (B) Ag@SiO2 loaded Ni, and (C) integrated intensity of the carbon D-band; removal of carbon deposition on (D) blank Ni and (E) Ag@SiO2 loaded Ni, and (F) integrated intensity of the carbon D-band)[67]
Fig. 5 Physicochemical properties of BaZr0.4Ce0.4Y0.1Yb0.1O3-δ electrolyte[76] (a) XRD patterns before and after exposure to 100% CO2 at 500 ℃; (b) Thermogravimetric analysis profile on exposure to 60% CO2 (balance N2) at 500 ℃; (c) Conductivity under humidified N2 atmosphere (pH2O=3.1×103 Pa) compared to that of BaZr0.8Y0.2O3-δ (BZY20) sintered under similar conditions; (d) SEM image of the as-sintered surface morphology
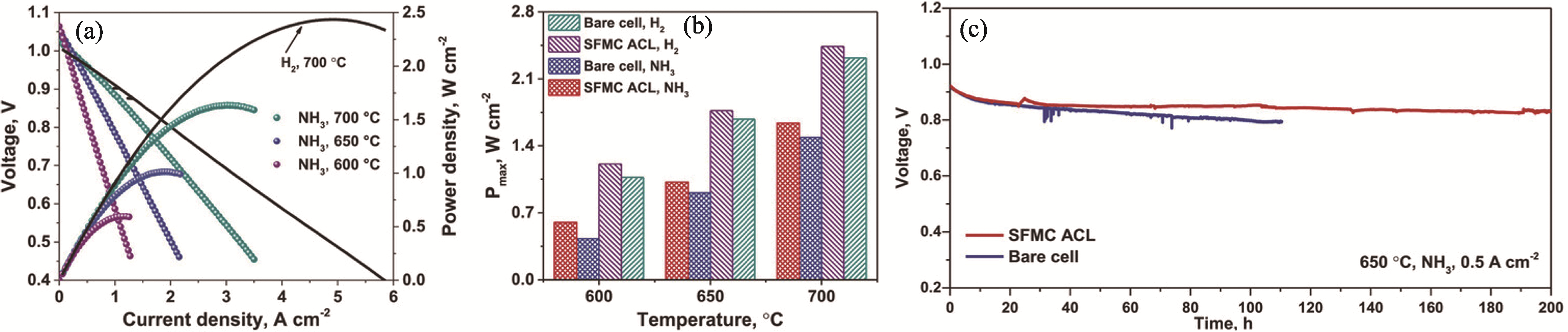
Fig. 8 Electrochemical performance and durability of SFMC-modified P-SOFCs[106] (a) Current density versus voltage (j-V) and current density versus power density (j-P) curves of the cell with the SFMC-modified Ni-BZCYYb anode at 600-700 ℃ using wet H2 and dry NH3 as fuels and ambient air as an oxidant; (b) Comparisons on the PPD of the cells with the bare Ni-BZCYYb and SFMC active catalytic layer (ACL) modified Ni-BZCYYb anodes at 600-700 ℃ in wet H2 and dry NH3; (c) Operation stabilities of the single cells with the bare Ni-BZCYYb and SFMC-modified Ni-BZCYYb anodes at 650 ℃ under a current density of 0.5 A/cm2 using dry NH3 as fuel
Fig. 9 Novel structural design schemes for DA-SOFCs[109-110] (a) Test schematic diagram of tubular catalyst embedded P-SOFCs[109]; (b) Illustration of the cell anode preparation using the grid-assisted phase transformation method[110]
| [1] |
KOVAČ A, PARANOS M, MARCIUŠ D. Hydrogen in energy transition: a review. International Journal of Hydrogen Energy, 2021, 46(16): 10016.
DOI URL |
| [2] |
ALLAHVERDYAN A E, HOVHANNISYAN K V, MELKIKH A V, et al. Carnot cycle at finite power: attainability of maximal efficiency. Physical Review Letters, 2013, 111(5): 050601.
DOI URL |
| [3] |
FAYYAZBAKHSH A, BELL M L, ZHU X, et al. Engine emissions with air pollutants and greenhouse gases and their control technologies. Journal of Cleaner Production, 2022, 376: 134260.
DOI URL |
| [4] |
WANG Z, DONG B, WANG Y, et al. Analysis and evaluation of fuel cell technologies for sustainable ship power: energy efficiency and environmental impact. Energy Conversion and Management: X, 2024, 21: 100482.
DOI URL |
| [5] |
TUOFU H, CHANGHAO H, QINGYUN H, et al. A coordination analysis of stakeholder interests on the new subsidy policy of hydrogen fuel cell vehicles in China: from the perspective of the evolutionary game theory. International Journal of Hydrogen Energy, 2022, 47(58): 24493.
DOI URL |
| [6] |
HASSAN Q, HSU C Y, MOUNICH K, et al. Enhancing smart grid integrated renewable distributed generation capacities: implications for sustainable energy transformation. Sustainable Energy Technologies and Assessments, 2024, 66: 103793.
DOI URL |
| [7] |
SINGH M, ZAPPA D, COMINI E. Solid oxide fuel cell: decade of progress, future perspectives and challenges. International Journal of Hydrogen Energy, 2021, 46(54): 27643.
DOI URL |
| [8] |
WEBER A. Fuel flexibility of solid oxide fuel cells. Fuel Cells, 2021, 21(5): 440.
DOI URL |
| [9] |
ZHANG D, WANG Z, CUI D, et al. Thermodynamic and electrochemical performance coupling analysis of single ammonia-fueled tubular solid oxide fuel cell toward low operating temperatures. Journal of Power Sources, 2024, 623: 235362.
DOI URL |
| [10] |
ABDELKAREEM M A, ELSAID K, WILBERFORCE T, et al. Environmental aspects of fuel cells: a review. Science of the Total Environment, 2021, 752: 141803.
DOI URL |
| [11] |
ZHANG W, HU Y H. Progress in proton-conducting oxides as electrolytes for low-temperature solid oxide fuel cells: from materials to devices. Energy Science & Engineering, 2021, 9(7): 984.
DOI URL |
| [12] |
IWAHARA H, ESAKA T, UCHIDA H, et al. Proton conduction in sintered oxides and its application to steam electrolysis for hydrogen production. Solid State Ionics, 1981, 3/4: 359.
DOI URL |
| [13] |
IWAHARA H, UCHIDA H, TANAKA S. High temperature type proton conductor based on SrCeO3 and its application to solid electrolyte fuel cells. Solid State Ionics, 1983, 9/10: 1021.
DOI URL |
| [14] |
KREUER K D. Aspects of the formation and mobility of protonic charge carriers and the stability of perovskite-type oxides. Solid State Ionics, 1999, 125(1): 285.
DOI URL |
| [15] |
VIGNESH D, SONU B K, ROUT E. Factors constituting proton trapping in BaCeO3 and BaZrO3 perovskite proton conductors in fuel cell technology: a review. Energy & Fuels, 2022, 36(14): 7219.
DOI URL |
| [16] |
RASAKI S A, LIU C, LAO C, et al. A review of current performance of rare earth metal-doped barium zirconate perovskite: the promising electrode and electrolyte material for the protonic ceramic fuel cells. Progress in Solid State Chemistry, 2021, 63: 100325.
DOI URL |
| [17] |
WANG M, SU C, ZHU Z, et al. Composite cathodes for protonic ceramic fuel cells: rationales and materials. Composites Part B: Engineering, 2022, 238: 109881.
DOI URL |
| [18] |
WANG B, LI T, GONG F, et al. Ammonia as a green energy carrier: electrochemical synthesis and direct ammonia fuel cell - a comprehensive review. Fuel Processing Technology, 2022, 235: 107380.
DOI URL |
| [19] |
ZHAO Y, MAO Y, ZHANG W, et al. Reviews on the effects of contaminations and research methodologies for PEMFC. International Journal of Hydrogen Energy, 2020, 45(43): 23174.
DOI URL |
| [20] |
FERGUSON K, DUBOIS A, ALBRECHT K, et al. High performance protonic ceramic fuel cell systems for distributed power generation. Energy Conversion and Management, 2021, 248: 114763.
DOI URL |
| [21] |
GUILBERT D, VITALE G. Hydrogen as a clean and sustainable energy vector for global transition from fossil-based to zero-carbon. Clean Technologies, 2021, 3(4): 881.
DOI URL |
| [22] |
BORETTI A. There are hydrogen production pathways with better than green hydrogen economic and environmental costs. International Journal of Hydrogen Energy, 2021, 46(46): 23988.
DOI URL |
| [23] |
EL-ADAWY M, DALHA I B, ISMAEL M A, et al. Review of sustainable hydrogen energy processes: production, storage, transportation, and color-coded classifications. Energy & Fuels, 2024, 38(23): 22686.
DOI URL |
| [24] |
AZIZ M, WIJAYANTA A T, NANDIYANTO A B D. Ammonia as effective hydrogen storage: a review on production, storage and utilization. Energies, 2020, 13(12): 3062.
DOI URL |
| [25] |
HUI Y, WANG M, GUO S, et al. Comprehensive review of development and applications of hydrogen energy technologies in China for carbon neutrality: technology advances and challenges. Energy Conversion and Management, 2024, 315: 118776.
DOI URL |
| [26] | LIU H, CLAUSEN L R, WANG L, et al. Pathway toward cost-effective green hydrogen production by solid oxide electrolyzer. Energy & Environmental Science, 2023, 16(5): 2090. |
| [27] |
MEGÍA P J, VIZCAíNO A J, CALLES J A, et al. Hydrogen production technologies: from fossil fuels toward renewable sources. A mini review. Energy & Fuels, 2021, 35(20): 16403.
DOI URL |
| [28] | RONG H, ZHAO D, BECKER S, et al. Entropy production and thermodynamics exergy investigation on an ammonia-methane fueled micro-combustor with porous medium for thermophotovoltaic applications. International Journal of Hydrogen Energy, 2024, 49: 384. |
| [29] |
MONTAZERINEJAD H, EICKER U. Recent development of heat and power generation using renewable fuels: a comprehensive review. Renewable and Sustainable Energy Reviews, 2022, 165: 112578.
DOI URL |
| [30] |
WANG B, GUPTA R, BEI L, et al. A review on gasification of municipal solid waste (MSW): syngas production, tar formation, mineral transformation and industrial challenges. International Journal of Hydrogen Energy, 2023, 48(69): 26676.
DOI URL |
| [31] |
RAVINDRAN M X Y, ASIKIN-MIJAN N, ABDULKAREEM- ALSULTAN G, et al. A review of carbon-based catalyst for production of renewable hydrocarbon rich fuel. Journal of Environmental Chemical Engineering, 2024, 12(2): 112330.
DOI URL |
| [32] |
YE Z B, ZOU G C, WU Q W, et al. Preparation and performances of tubular cone-shaped anode-supported segmented-in-series direct carbon solid oxide fuel cell. Journal of Inorganic Materials, 2024, 39(7): 819.
DOI URL |
| [33] |
DUAN C, KEE R J, ZHU H, et al. Highly durable, coking and sulfur tolerant, fuel-flexible protonic ceramic fuel cells. Nature, 2018, 557(7704): 217.
DOI |
| [34] |
MOGENSEN M, KAMMER K. Conversion of hydrocarbons in solid oxide fuel cells. Annual Review of Materials Research, 2003, 33: 321.
DOI URL |
| [35] |
YANG H, HAN C, LI W, et al. Experimental evaluation of SOFC fuel adaptability and power generation performance based on MSR. Fuel Processing Technology, 2023, 250: 107919.
DOI URL |
| [36] | LEI F, GU Y, ASHAR A, et al. Integrated autothermal reformer, heat exchanger and solid oxide fuel cell in single-stack for aircraft gas-turbine applications. ECS Meeting Abstracts, 2024, MA 2024- 02(48): 3340. |
| [37] |
HAO N H, KIM Y, LEE K, et al. High performance of direct ethanol-fueled protonic ceramic fuel cells via ethanol steam reforming using non-noble metal catalysts. Electrochimica Acta, 2024, 481: 143994.
DOI URL |
| [38] |
WANG C, LIAO M, JIANG Z, et al. Sorption-enhanced propane partial oxidation hydrogen production for solid oxide fuel cell (SOFC) applications. Energy, 2022, 247: 123463.
DOI URL |
| [39] |
KUTERBEKOV K A, NIKONOV A V, BEKMYRZA K Z, et al. Classification of solid oxide fuel cells. Nanomaterials, 2022, 12(7): 1059.
DOI URL |
| [40] |
QIU P, SUN S, YANG X, et al. A review on anode on-cell catalyst reforming layer for direct methane solid oxide fuel cells. International Journal of Hydrogen Energy, 2021, 46(49): 25208.
DOI URL |
| [41] | BAHARUDIN L, RAHMAT N, OTHMAN N H, et al. Formation, control, and elimination of carbon on Ni-based catalyst during CO2 and CH4 conversion via dry reforming process: a review. Journal of CO2 Utilization, 2022, 61: 102050. |
| [42] |
HONG K, SUTANTO S N, LEE J A, et al. Ni-based bimetallic nano-catalysts anchored on BaZr0.4Ce0.4Y0.1Yb0.1O3-δ for internal steam reforming of methane in a low-temperature proton-conducting ceramic fuel cell. Journal of Materials Chemistry A, 2021, 9(10): 6139.
DOI URL |
| [43] |
SHISHKIN M, ZIEGLER T. Direct modeling of the electrochemistry in the three-phase boundary of solid oxide fuel cell anodes by density functional theory: a critical overview. Physical Chemistry Chemical Physics, 2014, 16(5): 1798.
DOI PMID |
| [44] |
GALEA N M, KNAPP D, ZIEGLER T. Density functional theory studies of methane dissociation on anode catalysts in solid-oxide fuel cells: suggestions for coke reduction. Journal of Catalysis, 2007, 247(1): 20.
DOI URL |
| [45] |
OLMOS-ASAR J A, MONACHINO E, DRI C, et al. CO on supported Cu nanoclusters: coverage and finite size contributions to the formation of carbide via the Boudouard process. ACS Catalysis, 2015, 5(5): 2719.
DOI URL |
| [46] |
SKABELUND B B, MILCAREK R J. Review of thermal partial oxidation reforming with integrated solid oxide fuel cell power generation. Renewable and Sustainable Energy Reviews, 2022, 168: 112852.
DOI URL |
| [47] |
SHABRI H A, OTHMAN M H D, MOHAMED M A, et al. Recent progress in metal-ceramic anode of solid oxide fuel cell for direct hydrocarbon fuel utilization: a review. Fuel Processing Technology, 2021, 212: 106626.
DOI URL |
| [48] |
MOSEENKOV S I, KUZNETSOV V L, ZOLOTAREV N A, et al. Investigation of amorphous carbon in nanostructured carbon materials (a comparative study by TEM, XPS, Raman spectroscopy and XRD). Materials, 2023, 16(3): 1112.
DOI URL |
| [49] |
YAO D, WU C, YANG H, et al. Co-production of hydrogen and carbon nanotubes from catalytic pyrolysis of waste plastics on Ni-Fe bimetallic catalyst. Energy Conversion and Management, 2017, 148: 692.
DOI URL |
| [50] |
JIAO Z, SHIKAZONO N, KASAGI N. Study on degradation of solid oxide fuel cell anode by using pure nickel electrode. Journal of Power Sources, 2011, 196(20): 8366.
DOI URL |
| [51] |
KUHN J, KESLER O. Method for in situ carbon deposition measurement for solid oxide fuel cells. Journal of Power Sources, 2014, 246: 430.
DOI URL |
| [52] | DYUKOV V G, NEPIJKO S A. Chapter four - progress in determining of compound composition by BSE imaging in a SEM and the relevant detector disadvantages//HŸTCH M, HAWKES P W. Advances in imaging and electron physics. Amsterdam: Elsevier, 2020, 215: 107. |
| [53] |
BROWN H G, D'ALFONSO A J, ALLEN L J. Secondary electron imaging at atomic resolution using a focused coherent electron probe. Physical Review B, 2013, 87(5): 054102.
DOI URL |
| [54] |
DEWA M, ELHARATI M A, HUSSAIN A M, et al. Metal-supported solid oxide fuel cell system with infiltrated reforming catalyst layer for direct ethanol feed operation. Journal of Power Sources, 2022, 541: 231625.
DOI URL |
| [55] |
DUDEK M, TOMCZYK P, SOCHA R, et al. Biomass fuels for direct carbon fuel cell with solid oxide electrolyte. International Journal of Electrochemical Science, 2013, 8(3): 3229.
DOI URL |
| [56] |
NEOFYTIDIS C, DRACOPOULOS V, NEOPHYTIDES S G, et al. Electrocatalytic performance and carbon tolerance of ternary Au-Mo-Ni/GDC SOFC anodes under CH4-rich internal steam reforming conditions. Catalysis Today, 2018, 310: 157.
DOI URL |
| [57] |
GONG Y, PATEL R L, LIANG X, et al. Atomic layer deposition functionalized composite SOFC cathode La0.6Sr0.4Fe0.8Co0.2O3-δ- Gd0.2Ce0.8O1.9: enhanced long-term stability. Chemistry of Materials, 2013, 25(21): 4224.
DOI URL |
| [58] |
PAN J L, MA G J, SONG L M, et al. High stability/catalytic activity Co-based perovskite as SOFC anode: in-situ preparation by fuel reducing method. Journal of Inorganic Materials, 2024, 39(8): 911.
DOI URL |
| [59] |
SUN C, SU R, CHEN J, et al. Carbon formation mechanism of C2H2 in Ni-based catalysts revealed by in situ electron microscopy and molecular dynamics simulations. ACS Omega, 2019, 4(5): 8413.
DOI URL |
| [60] |
YOU X, WANG X, MA Y, et al. Ni-Co/Al2O3 bimetallic catalysts for CH4 steam reforming: elucidating the role of Co for improving coke resistance. ChemCatChem, 2014, 6(12): 3377.
DOI URL |
| [61] |
XIAO H, ZHU L, LI S, et al. Influence of pyrolysis temperature on carbon deposition from the perspective of volatile evolution during the ex-situ pyrolysis-catalysis of plastic. Combustion and Flame, 2024, 265: 113480.
DOI URL |
| [62] |
HUANG Y, LI X, ZHANG Q, et al. Carbon deposition behaviors in dry reforming of CH4 at elevated pressures over Ni/MoCeZr/ MgAl2O4-MgO catalysts. Fuel, 2022, 310: 122449.
DOI URL |
| [63] |
LI X, BLINN K, CHEN D, et al. In situ and surface-enhanced Raman spectroscopy study of electrode materials in solid oxide fuel cells. Electrochemical Energy Reviews, 2018, 1(3): 433.
DOI |
| [64] |
DRESSELHAUS M S, JORIO A, HOFMANN M, et al. Perspectives on carbon nanotubes and graphene Raman spectroscopy. Nano Letters, 2010, 10(3): 751.
DOI PMID |
| [65] |
DRASBÆK D B, WELANDER M M, TRAULSEN M L, et al. Operando characterization of metallic and bimetallic electrocatalysts for SOFC fuel electrodes operating under internal methane reforming conditions. Journal of Materials Chemistry A, 2022, 10(10): 5550.
DOI URL |
| [66] |
STILES P L, DIERINGER J A, SHAH N C, et al. Surface-enhanced Raman spectroscopy. Annual Review of Analytical Chemistry, 2008, 1: 601.
DOI URL |
| [67] | LI X, LEE J P, BLINN K S, et al. High-temperature surface enhanced Raman spectroscopy for in situ study of solid oxide fuel cell materials. Energy & Environmental Science, 2014, 7(1): 306. |
| [68] | SASAKI K, TERAOKA Y. Equilibria in fuel cell gases: II. The C-H-O ternary diagrams. Journal of the Electrochemical Society, 2003, 150(7): A885. |
| [69] |
KIM S, KIM C, LEE J H, et al. Tailoring Ni-based catalyst by alloying with transition metals (M=Ni, Co, Cu, and Fe) for direct hydrocarbon utilization of energy conversion devices. Electrochimica Acta, 2017, 225: 399.
DOI URL |
| [70] |
ZHANG W, WEI J, YIN F, et al. Recent advances in carbon-resistant anodes for solid oxide fuel cells. Materials Chemistry Frontiers, 2023, 7(10): 1943.
DOI URL |
| [71] |
BABAKOUHI R, ALAVI S M, REZAEI M, et al. Hydrogen production through combined dry reforming and partial oxidation of methane over the Ni/Al2O3-CeO2 catalysts. International Journal of Hydrogen Energy, 2024, 60: 503.
DOI URL |
| [72] |
GUO Z, CHEN T, LI X, et al. Ni-Mo/Al2O3 catalyst for partial oxidation reforming of low concentration coal bed methane and its application on SOFC. Fuel, 2024, 378: 132857.
DOI URL |
| [73] |
GUTTA N, VELISOJU V K, TARDIO J, et al. CH4 cracking over the Cu-Ni/Al-MCM-41 catalyst for the simultaneous production of H2 and highly ordered graphitic carbon nanofibers. Energy & Fuels, 2019, 33(12): 12656.
DOI URL |
| [74] |
NIE S, XIANG Y, WU L, et al. Active learning guided discovery of high entropy oxides featuring high H2-production. Journal of the American Chemical Society, 2024, 146(43): 29325.
DOI URL |
| [75] |
NIE H, LIU Z, XIAO M, et al. Recent advances and challenges in perovskite-based protonic ceramic electrolytes: design strategies and fabrication innovations. Advanced Functional Materials, 2025, 35(10): 2416651.
DOI URL |
| [76] |
CHOI S, KUCHARCZYK C J, LIANG Y, et al. Exceptional power density and stability at intermediate temperatures in protonic ceramic fuel cells. Nature Energy, 2018, 3(3): 202.
DOI |
| [77] |
MURPHY R, ZHOU Y, ZHANG L, et al. A new family of proton-conducting electrolytes for reversible solid oxide cells: BaHfxCe0.8-xY0.1Yb0.1O3-δ. Advanced Functional Materials, 2020, 30(35): 2002265.
DOI URL |
| [78] |
CHOI S M, LEE J H, AN H, et al. Fabrication of anode-supported protonic ceramic fuel cell with Ba(Zr0.85Y0.15)O3-δ- Ba(Ce0.9Y0.1)O3-δ dual-layer electrolyte. International Journal of Hydrogen Energy, 2014, 39(24): 12812.
DOI URL |
| [79] |
LUO Z, HU X, ZHOU Y, et al. Harnessing high-throughput computational methods to accelerate the discovery of optimal proton conductors for high-performance and durable protonic ceramic electrochemical cells. Advanced Materials, 2024, 36(18): 2311159.
DOI URL |
| [80] |
CHENG P C, LEE S W, LEE K R, et al. Carbon resistant Ni1-xCux- BCZY anode for methane-fed protonic ceramic fuel cell. International Journal of Hydrogen Energy, 2023, 48(30): 11455.
DOI URL |
| [81] |
WANG J, ZHANG D, LIU T, et al. Self-assembled FeRu bimetallic nanocatalysts for efficient and durable mutual CO-CO2 conversion in a reversible solid oxide electrochemical cell. Science China Materials, 2024, 67(5): 1471.
DOI |
| [82] |
LUO Y, CHANG X, WANG J, et al. Precise regulation of in situ exsolution components of nanoparticles for constructing active interfaces toward carbon dioxide reduction. ACS Nano, 2025, 19(1): 1463.
DOI URL |
| [83] |
HONG K, CHOI M, BAE Y, et al. Direct methane protonic ceramic fuel cells with self-assembled Ni-Rh bimetallic catalyst. Nature Communications, 2023, 14: 7485.
DOI PMID |
| [84] |
WANG A, LI T, WANG X, et al. Enhanced stability of a direct- methane and carbon dioxide protonic ceramic fuel cell with a PrCrO3 based reforming layer. Ceramics International, 2023, 49(15): 25240.
DOI URL |
| [85] |
AWAD O I, ZHOU B, HARRATH K, et al. Characteristics of NH3/H2 blend as carbon-free fuels: a review. International Journal of Hydrogen Energy, 2023, 48(96): 38077.
DOI URL |
| [86] |
JIAO F, XU B. Electrochemical ammonia synthesis and ammonia fuel cells. Advanced Materials, 2019, 31(31): 1805173.
DOI URL |
| [87] |
DUAN X, JI J, QIAN G, et al. Ammonia decomposition on Fe(110), Co(111) and Ni(111) surfaces: a density functional theory study. Journal of Molecular Catalysis A: Chemical, 2012, 357: 81.
DOI URL |
| [88] | SCHÜTH F, PALKOVITS R, SCHLÖGL R, et al. Ammonia as a possible element in an energy infrastructure: catalysts for ammonia decomposition. Energy & Environmental Science, 2012, 5(4): 6278. |
| [89] |
WU H, LIU C, GUO W. Computational screening of bimetallic catalysts: application to ammonia decomposition. The Journal of Physical Chemistry C, 2022, 126(1): 192.
DOI URL |
| [90] |
SAIDI W A, SHADID W, VESER G. Optimization of high-entropy alloy catalyst for ammonia decomposition and ammonia synthesis. The Journal of Physical Chemistry Letters, 2021, 12(21): 5185.
DOI URL |
| [91] |
PAN C J, TSAI M C, SU W N, et al. Tuning/exploiting strong metal-support interaction (SMSI) in heterogeneous catalysis. Journal of the Taiwan Institute of Chemical Engineers, 2017, 74: 154.
DOI URL |
| [92] |
OKURA K, OKANISHI T, MUROYAMA H, et al. Ammonia decomposition over nickel catalysts supported on rare-earth oxides for the on-site generation of hydrogen. ChemCatChem, 2016, 8(18): 2988.
DOI URL |
| [93] |
OKURA K, MIYAZAKI K, MUROYAMA H, et al. Ammonia decomposition over Ni catalysts supported on perovskite-type oxides for the on-site generation of hydrogen. RSC Advances, 2018, 8(56): 32102.
DOI URL |
| [94] |
LI X, CHEN J, HUANG Y, et al. Performance-enhanced direct ammonia protonic ceramic fuel cells using CeO2-supported Ni and Ru catalyst layer. Frontiers in Energy, 2024, 18(6): 875.
DOI |
| [95] |
ZHAO X, TENG Q, TAO H, et al. FeCo alloy-decorated proton- conducting perovskite oxide as an efficient and low-cost ammonia decomposition catalyst. Catalysts, 2024, 14(12): 850.
DOI URL |
| [96] | YANG J, MOLOUK A F S, OKANISHI T, et al. Electrochemical and catalytic properties of Ni/BaCe0.75Y0.25O3-δ anode for direct ammonia-fueled solid oxide fuel cells. ACS Applied Materials & Interfaces, 2015, 7(13): 7406. |
| [97] |
LEE H, KIM J, BAEK J, et al. Effects of water on the degradations in the Ni-YSZ anode of the direct ammonia solid oxide fuel cells. Chemical Engineering Journal, 2024, 497: 154764.
DOI URL |
| [98] |
SINGH V, MUROYAMA H, MATSUI T, et al. Influence of cell design on the performance of direct ammonia-fueled solid oxide fuel cell: anode- vs. electrolyte-supported cell. ECS Transactions, 2017, 78(1): 2527.
DOI URL |
| [99] |
YUN J, XIONG G, KIM S, et al. Understanding direct-ammonia protonic ceramic fuel cells: high-performance in the absence of precious metal catalysts. ACS Energy Letters, 2024, 9(11): 5520.
DOI URL |
| [100] |
KISHIMOTO M, FURUKAWA N, KUME T, et al. Formulation of ammonia decomposition rate in Ni-YSZ anode of solid oxide fuel cells. International Journal of Hydrogen Energy, 2017, 42(4): 2370.
DOI URL |
| [101] | ZHANG H, ZHOU Y, PEI K, et al. An efficient and durable anode for ammonia protonic ceramic fuel cells. Energy & Environmental Science, 2022, 15(1): 287. |
| [102] | ZHANG H, XU K, XU Y, et al. In situ formed catalysts for active, durable, and thermally stable ammonia protonic ceramic fuel cells at 550 ℃. Energy & Environmental Science, 2024, 17(10): 3433. |
| [103] |
JEONG H J, CHANG W, SEO B G, et al. High-performance ammonia protonic ceramic fuel cells using a Pd inter-catalyst. Small, 2023, 19(22): 2208149.
DOI URL |
| [104] |
SONG Y, CHEN J, YANG M, et al. Realizing simultaneous detrimental reactions suppression and multiple benefits generation from nickel doping toward improved protonic ceramic fuel cell performance. Small, 2022, 18(16): 2200450.
DOI URL |
| [105] |
LIU Z, DI H, LIU D, et al. Boosting ammonia-fueled protonic ceramic fuel cells with RuFe nanoparticle exsolution: enhanced performance via secondary redox treatment. Advanced Functional Materials, 2025, 35(15): 2420214.
DOI URL |
| [106] |
HE F, HOU M, DU Z, et al. Self-construction of efficient interfaces ensures high-performance direct ammonia protonic ceramic fuel cells. Advanced Materials, 2023, 35(42): 2304957.
DOI URL |
| [107] |
LAN H, CHU J, CHEN X, et al. Effect of increasing Fe catalytic decomposition layer of ammonia on the performance and stability of ammonia electrode. Journal of Power Sources, 2024, 593: 233987.
DOI URL |
| [108] |
LIANG M, SONG Y, XIONG B, et al. In situ exsolved CoFeRu alloy decorated perovskite as an anode catalyst layer for high- performance direct-ammonia protonic ceramic fuel cells. Advanced Functional Materials, 2024, 34(48): 2408756.
DOI URL |
| [109] |
LIU Y, JIAN J, XU X, et al. An anode-supported tubular proton conductor fuel cell with an inner ceramic ammonia cracking component. International Journal of Applied Ceramic Technology, 2025, 22(2): e14969.
DOI URL |
| [110] |
DANG H, SONG L, SHI G. Efficient ammonia conversion in proton conducting fuel cells: combined application of dendritic anodes and nanofiber catalysts. International Journal of Hydrogen Energy, 2024, 85: 715.
DOI URL |
| [1] | FAN Yuzhu, WANG Yuan, WANG Linyan, XIANG Meiling, YAN Yuting, LI Benhui, LI Min, WEN Zhidong, WANG Haichao, CHEN Yongfu, QIU Huidong, ZHAO Bo, ZHOU Chengyu. Graphene Oxide-based Adsorbents for Pb(II) Removing in Water: Progresses on Synthesis, Performance and Mechanism [J]. Journal of Inorganic Materials, 2026, 41(1): 12-26. |
| [2] | GAO Yuan, WEI Bo, JIN Fangjun, LÜ Zhe, LING Yihan. Ag Doping Modulating Cathode Acidic Sites to Enhance Chromium Resistance for Intermediate Temperature Solid Oxide Fuel Cells [J]. Journal of Inorganic Materials, 2026, 41(1): 70-78. |
| [3] | WU Boyu, ZHANG Shengen, ZHANG Shengyang, LIU Bo, ZHANG Bolin. Effect of CeO2 on Low-temperature Denitrification Performance of MnOx Catalysts and Its Mechanism [J]. Journal of Inorganic Materials, 2026, 41(1): 87-95. |
| [4] | XU Jintao, GAO Pan, HE Weiyi, JIANG Shengnan, PAN Xiuhong, TANG Meibo, CHEN Kun, LIU Xuechao. Recent Progress on Preparation of 3C-SiC Single Crystal [J]. Journal of Inorganic Materials, 2026, 41(1): 1-11. |
| [5] | YU Shengyang, SU Haijun, JIANG Hao, YU Minghui, YAO Jiatong, YANG Peixin. A Review of Pore Defects in Ultra-high Temperature Oxide Ceramics by Laser Additive Manufacturing: Formation and Suppression [J]. Journal of Inorganic Materials, 2025, 40(9): 944-956. |
| [6] | LIU Jiangping, GUAN Xin, TANG Zhenjie, ZHU Wenjie, LUO Yongming. Research Progress on Catalytic Oxidation of Nitrogen-containing Volatile Organic Compounds [J]. Journal of Inorganic Materials, 2025, 40(9): 933-943. |
| [7] | XIAO Xiaolin, WANG Yuxiang, GU Peiyang, ZHU Zhenrong, SUN Yong. Advances in Regulation of Damaged Skin Regeneration by Two-dimensional Inorganic Materials [J]. Journal of Inorganic Materials, 2025, 40(8): 860-870. |
| [8] | MA Jingge, WU Chengtie. Application of Inorganic Bioceramics in Promoting Hair Follicle Regeneration and Hair Growth [J]. Journal of Inorganic Materials, 2025, 40(8): 901-910. |
| [9] | ZHANG Hongjian, ZHAO Ziyi, WU Chengtie. Inorganic Biomaterials on Regulating Neural Cell Function and Innervated Tissue Regeneration: A Review [J]. Journal of Inorganic Materials, 2025, 40(8): 849-859. |
| [10] | AI Minhui, LEI Bo. Micro-nanoscale Bioactive Glass: Functionalized Design and Angiogenic Skin Regeneration [J]. Journal of Inorganic Materials, 2025, 40(8): 921-932. |
| [11] | WANG Yutong, CHANG Jiang, XU He, WU Chengtie. Advances in Silicate Bioceramic/Bioglass for Wound Healing: Effects, Mechanisms and Application Ways [J]. Journal of Inorganic Materials, 2025, 40(8): 911-920. |
| [12] | MA Wenping, HAN Yahui, WU Chengtie, LÜ Hongxu. Application of Inorganic Bioactive Materials in Organoid Research [J]. Journal of Inorganic Materials, 2025, 40(8): 888-900. |
| [13] | LUO Xiaomin, QIAO Zhilong, LIU Ying, YANG Chen, CHANG Jiang. Inorganic Bioactive Materials Regulating Myocardial Regeneration [J]. Journal of Inorganic Materials, 2025, 40(8): 871-887. |
| [14] | ZHU Wenjie, TANG Lu, LU Jichang, LIU Jiangping, LUO Yongming. Research Progress on Catalytic Oxidation of Volatile Organic Compounds by Perovskite Oxides [J]. Journal of Inorganic Materials, 2025, 40(7): 735-746. |
| [15] | CHAI Runyu, ZHANG Zhen, WANG Menglong, XIA Changrong. Preparation of Ceria Based Metal-supported Solid Oxide Fuel Cells by Direct Assembly Method [J]. Journal of Inorganic Materials, 2025, 40(7): 765-771. |
| Viewed | ||||||
|
Full text |
|
|||||
|
Abstract |
|
|||||