无机材料学报 ›› 2017, Vol. 32 ›› Issue (12): 1243-1249.DOI: 10.15541/jim20170171 CSTR: 32189.14.10.15541/jim20170171

• • 上一篇    下一篇

工作温度对钠-氯化镍电池正极结构及电化学性能的影响

敖昕1,2, 吴相伟1, 吴田1,2, 吴梅芬1, 温兆银1   

  1. 1. 中国科学院 上海硅酸盐研究所, 中国科学院能量转换材料重点实验室, 上海 200050;
    2. 中国科学院大学, 北京 100049
  • 收稿日期:2017-04-12 修回日期:2017-05-18 出版日期:2017-12-20 网络出版日期:2017-11-21
  • 作者简介:敖 昕(1985-), 男, 博士研究生. E-mail: aoxin@student.sic.ac.cn
  • 基金资助:
    国家自然科学基金(51672300);国家自然科学基金青年基金(51402333);National Natural Science Foundation of China (51672300, 51402333)

Operating Temperature on Cathode Material and Electrochemical Performance of Na-NiCl2 Batteries

AO Xin1,2, WU Wei-Xiang1, WU Tian1,2, WU Mei-Fen1, WEN Zhao-Yin1   

  1. 1. CAS Key Laboratory of Materials for Energy Conversion, Shanghai Institute of Ceramics, Chinese Academy of Sciences, Shanghai 200050, China;
    2. University of Chinese Academy of Sciences, Beijing 100049, China
  • Received:2017-04-12 Revised:2017-05-18 Published:2017-12-20 Online:2017-11-21

摘要:

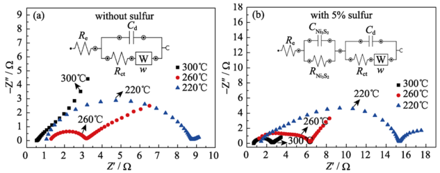
钠-氯化镍电池是一种中温电池, 研究温度对电池性能的影响具有重要意义。本工作研究了工作温度对含硫电池和不含硫电池的正极结构和电化学性能的影响。研究发现, 无论电池的正极中是否含有单质硫, 适当地降低电池工作温度都能提高电池的循环性能。降低电池工作温度能降低颗粒的表面活性, 减缓金属镍颗粒的团聚长大, 进而提高电池循环性能。但当工作温度进一步降低时, 电化学反应速率、Na+迁移速率和熔融金属钠与β″-Al2O3的润湿性也会随之变差, 电池性能反而会下降。无论电池正极中是否含硫, 钠-氯化镍电池最佳的工作温度约为260℃。

 

关键词: 钠-氯化镍电池, 工作温度, 正极结构, 电化学性能, 硫添加剂

Abstract:

Na-NiCl2 battery is an intermediate temperature battery of which the operating temperature is one of the crucial factors for its electrochemical performance and needs to be fully understand. The effects of operating temperature on electrochemical performance of Na-NiCl2 batteries and morphology of the cathode material under different temperatures were studied based on the results of cell test, EIS and SEM measurements. It was found that the reduction of the operating temperature of the Na-NiCl2 battery within a certain range suppressed the growth of nickel particles during cycling and improved the cycle performance of the cell with and without sulfur in the cathode. The surface activity of the nickel particles decreased with reduction of the operating temperature, while the growth rate of nickel particles slow down at low temperature, resulting in improved cell cycle performance of the cell improves. However, much lower operating temperature leads to poor electrochemical performance due to slow electrochemical reaction rate, migration rate of Na+ and poor wettability of sodium on ceramic electrolyte. Based on above tests, the optimum operating temperatures of the cell no matter with or without sulfur are about 260℃.

Key words: Na-NiCl2 battery, operating temperature, cathode material, electrochemical performance, sulfur additive

中图分类号: