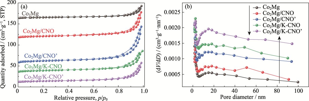
[1] SUN Y H, SHEN C Q, LAI Q W,et al. Tailoring magnesium based materials for hydrogen storage through synthesis: current state of the art. Energy Storage Materials, 2018, 10: 168. [2] SIKIRU S, OLADOSU T L, AMOSA T I,et al. Hydrogen-powered horizons: transformative technologies in clean energy generation, distribution, and storage for sustainable innovation. International Journal of Hydrogen Energy, 2024, 56: 1152. [3] AL-GHUSSAIN L.Global warming: review on driving forces and mitigation.Environmental Progress & Sustainable Energy, 2019, 38(1): 13. [4] LE P A, TRUNG V D, NGUYEN P L,et al. The current status of hydrogen energy: an overview. RSC Advances, 2023, 13(40): 28262. [5] PASHCHENKO D.Green hydrogen as a power plant fuel: what is energy efficiency from production to utilization?Renewable Energy, 2024, 223: 120033. [6] FELDERHOFF M, WEIDENTHALER C, VON HELMOLT R,et al. Hydrogen storage: the remaining scientific and technological challenges. Physical Chemistry Chemical Physics, 2007, 9(21): 2643. [7] METKEMEIJER R, ACHARD P.Comparison of ammonia and methanol applied indirectly in a hydrogen fuel cell.International Journal of Hydrogen Energy, 1994, 19(6): 535. [8] LAMB K E, DOLAN M D, KENNEDY D F.Ammonia for hydrogen storage; A review of catalytic ammonia decomposition and hydrogen separation and purification.International Journal of Hydrogen Energy, 2019, 44(7): 3580. [9] MUKHERJEE S, DEVAGUPTAPU S V, SVIRIPA A,et al. Low-temperature ammonia decomposition catalysts for hydrogen generation. Applied Catalysis B: Environmental, 2018, 226: 162. [10] LIANG D T, FENG C, XU L,et al. Promotion effects of different methods in COx-free hydrogen production from ammonia decomposition. Catalysis Science & Technology, 2023, 13(12): 3614. [11] LIU Y, LI X, ZHANG D Q,et al. A general route to prepare low-ruthenium-content bimetallic electrocatalysts for pH-universal hydrogen evolution reaction by using carbon quantum dots. Angewandte Chemie International Edition, 2020, 59(4): 1718. [12] ZHANG J, COMOTTI M, SCHÜTH F,et al. Commercial Fe- or Co-containing carbon nanotubes as catalysts for NH3 decomposition. Chemical Communications, 2007(19): 1916 [13] YIN S F, XU B Q, NG C F,et al. Nano Ru/CNTs: a highly active and stable catalyst for the generation of COx-free hydrogen in ammonia decomposition. Applied Catalysis B: Environmental, 2004, 48(4): 237. [14] ZHANG X W, LU H, LI S J,et al. NiTiO3 enhanced Ni/TiO2 strong metal support interaction catalyst towards effective methane catalytic decomposition for hydrogen production with COx-free. Journal of Industrial and Engineering Chemistry, 2025, 147: 482. [15] SCHAETZEL P, FAVRE É, THOMAS S,et al. A simple mechanistic multilayer model for the rigorous description of Brunauer-Emmett-Teller type isotherms. Industrial & Engineering Chemistry Research, 2021, 60(34): 12545. [16] CHEN B F, LI F B, HUANG Z J,et al. Carbon-coated Cu-Co bimetallic nanoparticles as selective and recyclable catalysts for production of biofuel 2, 5-dimethylfuran. Applied Catalysis B: Environmental, 2017, 200: 192. [17] NIELSEN D, GAO Q, JANSSENS T V W,et al. Cu-speciation in dehydrated CHA zeolites studied by H2-TPR and in situ EPR. The Journal of Physical Chemistry C, 2023, 127(27): 12995. [18] YING Q J, WANG X Q, LIU Y,et al. Rational design of a novel core-shell Cu-ZSM-5@Ru/S-1 tandem catalyst for the catalytic combustion of dichloromethane. ACS ES&T Engineering, 2023, 3(7): 1013. [19] TABASSUM H, MUKHERJEE S, CHEN J J,et al. Hydrogen generation via ammonia decomposition on highly efficient and stable Ru-free catalysts: approaching complete conversion at 450 ℃. Energy & Environmental Science, 2022, 15(10): 4190. [20] PINZÓN M, SÁNCHEZ-SÁNCHEZ A, SÁNCHEZ P,et al. Ammonia as a carrier for hydrogen production by using lanthanum based perovskites. Energy Conversion and Management, 2021, 246: 114681. [21] GUO X H, LI Y, SHI R J,et al. Co/MgO catalysts for hydrogenolysis of glycerol to 1, 2-propanediol. Applied Catalysis A: General, 2009, 371(1/2): 108. [22] LARA-GARCÍA H A, MENDOZA-NIETO J A, PFEIFFER H,et al. COx-free hydrogen production from ammonia on novel cobalt catalysts supported on 1D titanate nanotubes. International Journal of Hydrogen Energy, 2019, 44(57): 30062. [23] XU R J, YIN F X, ZHANG J,et al. Preparation of Co/SiC catalyst and its catalytic activity for ammonia decomposition to produce hydrogen. Catalysis Today, 2024, 437: 114774. [24] LI L, JIANG R Y, CHU W,et al. Cobalt nanoparticles embedded in a porous carbon matrix as an efficient catalyst for ammonia decomposition. Catalysis Science & Technology, 2017, 7(6): 1363. [25] ZHANG Z S, FU X P, WANG W W,et al. Promoted porous Co3O4-Al2O3 catalysts for ammonia decomposition. Science China Chemistry, 2018, 61(11): 1389. [26] LI Y P, WEN J, ALI A M,et al. Size structure-catalytic performance correlation of supported Ni/MCF-17 catalysts for COx-free hydrogen production. Chemical Communications, 2018, 54(49): 6364. [27] SPATOLISANO E, PELLEGRINI L A, DE ANGELIS A R,et al. Ammonia as a carbon-free energy carrier: NH3 cracking to H2. Industrial & Engineering Chemistry Research, 2023, 62(28): 10813. [28] GOU H P, LI W B, YANG Y F,et al. Porous skeleton-stabilized Co/N-C coated separator for boosting lithium-ion batteries stability and safety. Journal of Power Sources, 2021, 499: 229933. [29] ALAMOUDI O M, KHAN W U, HANTOKO D,et al. Catalytic activity of Co/γ-Al2O3 catalysts for decomposition of ammonia to produce hydrogen. Fuel, 2024, 372: 132230. [30] ZHANG H, ALHAMED Y A, CHU W,et al. Controlling co-support interaction in Co/MWCNTs catalysts and catalytic performance for hydrogen production via NH3 decomposition. Applied Catalysis A: General, 2013, 464: 156. |