Journal of Inorganic Materials ›› 2026, Vol. 41 ›› Issue (4): 479-485.DOI: 10.15541/jim20250273
• RESEARCH ARTICLE • Previous Articles Next Articles
JIANG Shengnan1,2(
), ZHENG Zhong3, HE Weiyi1,2, LIU Tao1,4, PAN Xiuhong1, CHEN Kun1, GUO Hui3, GAO Pan5, LIU Chunjun6, LIU Xuechao1(
)
Received:2025-06-29
Revised:2025-07-18
Published:2026-04-20
Online:2025-09-27
Contact:
LIU Xuechao, professor. E-mail: xcliu@mail.sic.ac.cnAbout author:JIANG Shengnan (2001-), male, Master candidate. E-mail: jiangshengnan23@mails.ucas.ac.cn
Supported by:CLC Number:
JIANG Shengnan, ZHENG Zhong, HE Weiyi, LIU Tao, PAN Xiuhong, CHEN Kun, GUO Hui, GAO Pan, LIU Chunjun, LIU Xuechao. Preparation and Performance Optimization of Boron-gallium Co-doped Zinc Oxide Transparent Electrodes[J]. Journal of Inorganic Materials, 2026, 41(4): 479-485.
Fig. 3 EDS test results of BGZO thin films before and after annealing at different temperatures (a) As-dep.; (b) 300 ℃; (c) 400 ℃; (d) 500 ℃; (e) 600 ℃
| Temperature/℃ | Zn/Ga |
|---|---|
| As-dep. | 43.65 |
| 300 | 43.38 |
| 400 | 33.90 |
| 500 | 34.54 |
| 600 | 32.82 |
Table 1 Zn/Ga ratio of BGZO thin films before and after annealing at different temperatures
| Temperature/℃ | Zn/Ga |
|---|---|
| As-dep. | 43.65 |
| 300 | 43.38 |
| 400 | 33.90 |
| 500 | 34.54 |
| 600 | 32.82 |
| Temperature/℃ | Bandgap/eV |
|---|---|
| As-dep. | 3.37 |
| 300 | 3.38 |
| 400 | 3.43 |
| 500 | 3.41 |
| 600 | 3.41 |
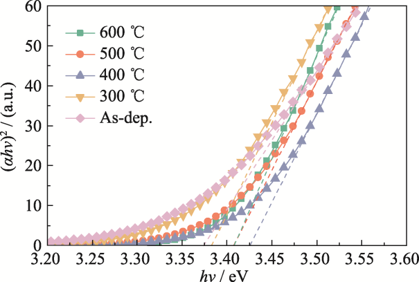
Table 2 Optical bandgap of BGZO thin films before and after annealing at different temperatures
| Temperature/℃ | Bandgap/eV |
|---|---|
| As-dep. | 3.37 |
| 300 | 3.38 |
| 400 | 3.43 |
| 500 | 3.41 |
| 600 | 3.41 |
| Temperature/℃ | Carrier concentration/ (×1020, cm-3) | Hall mobility/ (cm2·V-1·s-1) | Resistivity/ (Ω·cm) |
|---|---|---|---|
| 300 | 0.278 | 0.62 | 0.362 |
| 400 | 1.382 | 1.78 | 0.028 |
| 500 | 1.834 | 2.64 | 0.014 |
| 600 | 0.783 | 5.06 | 0.016 |
Table 3 Electrical properties of BGZO thin films at different annealing temperatures
| Temperature/℃ | Carrier concentration/ (×1020, cm-3) | Hall mobility/ (cm2·V-1·s-1) | Resistivity/ (Ω·cm) |
|---|---|---|---|
| 300 | 0.278 | 0.62 | 0.362 |
| 400 | 1.382 | 1.78 | 0.028 |
| 500 | 1.834 | 2.64 | 0.014 |
| 600 | 0.783 | 5.06 | 0.016 |
Fig. 9 Electric field simulation of electrode edge (a) Electrode edge electric field simulation; (b) Distribution of electric field strength at the edge of simulated electrode
| [1] |
ZHANG D H, XU Z, CHENG G, et al. Strongly enhanced THz generation enabled by a graphene hot-carrier fast lane. Nature Communications, 2022, 13: 6404.
DOI PMID |
| [2] |
HE T, YI M Y, NIU X Y, et al. The trade-off between microwave frequency and output power in sic photoconductive switches based on carrier lifetime. IEEE Transactions on Electron Devices, 2025, 72(1): 169.
DOI URL |
| [3] |
SUN Q, WANG Y T, GUO H, et al. Performance of a side-gap- triggered vanadium-compensated 4H-SiC photoconductive switch. IEEE Transactions on Electron Devices, 2025, 72(6): 3114.
DOI URL |
| [4] |
CHU X, LIU J, XUN T, et al. MHz repetition frequency, hundreds kilowatt, and sub-nanosecond agile pulse generation based on linear 4H-SiC photoconductive semiconductor. IEEE Transactions on Electron Devices, 2022, 69(2): 597.
DOI URL |
| [5] |
MAJDA-ZDANCEWICZ E, SUPRONIUK M, PAWLOWSKI M, et al. Current state of photoconductive semiconductor switch engineering. Opto-Electronics Review, 2018, 26(2): 92.
DOI URL |
| [6] |
FENG Z, LUAN C, XIAO L, et al. Performance of a novel rear-triggered 4H-SiC photoconductive semiconductor switch. IEEE Transactions on Electron Devices, 2023, 70(2): 627.
DOI URL |
| [7] |
MEYERS V, VOSS L, FLICKER J D, et al. Photoconductive semiconductor switches: materials, physics, and applications. Applied Sciences, 2025, 15(2): 645.
DOI URL |
| [8] |
MAUCH D, SULLIVAN W, BULLICK A, et al. High power lateral silicon carbide photoconductive semiconductor switches and investigation of degradation mechanisms. IEEE Transactions on Plasma Science, 2015, 43(6): 2021.
DOI URL |
| [9] |
WANG L, JIA Y, LIU J. Photoconductive semiconductor switch-based triggering with 1 ns jitter for trigatron. Matter and Radiation at Extremes, 2018, 3(5): 256.
DOI URL |
| [10] |
SULLIVAN J S, STANLEY J R. Wide bandgap extrinsic photoconductive switches. IEEE Transactions on Plasma Science, 2008, 36(5): 2528.
DOI URL |
| [11] |
WANG L, CHU X, WU Q, et al. Effects of high-field velocity saturation on the performance of V-doped 6H silicon-carbide photoconductive switches. IEEE Journal of Emerging and Selected Topics in Power Electronics, 2021, 9(4): 4879.
DOI URL |
| [12] |
CHEN S T, XU M, LV R D, et al. Photon absorption effects on the transient carrier dynamics in high-purity 4H-SiC PCSS. IEEE Electron Device Letters, 2025, 46(2): 278.
DOI URL |
| [13] |
YANG F, WANG Z, LIANG Z, et al. Electrical performance advancement in SiC power module package design with kelvin drain connection and low parasitic inductance. IEEE Journal of Emerging and Selected Topics in Power Electronics, 2019, 7(1): 84.
DOI URL |
| [14] |
WEITZEL C E, PALMOUR J W, CARTER C H, et al. Silicon carbide high-power devices. IEEE Transactions on Electron Devices, 1996, 43(10): 1732.
DOI URL |
| [15] |
HUANG J, HU L, YANG X H, et al. Modeling and simulation of Fe-doped GaN PCSS in high-power microwave. IEEE Transactions on Electron Devices, 2023, 70(7): 3489.
DOI URL |
| [16] |
ZHENG Z, JIANG S N, SUN Q, et al. Effects of illumination on space-charge-limited current in 4H-SiC photoconductive semiconductor switches. IEEE Transactions on Electron Devices, 2025, 72(8): 4290.
DOI URL |
| [17] |
XU B J, HAN X F, XU S C, et al. Optimization of the thermal field of 8-inch SiC crystal growth by PVT method with " 3 separation heater method". Journal of Crystal Growth, 2023, 614: 127238.
DOI URL |
| [18] |
FENG Z Y, XIAO L F, LUAN C B, et al. Dependence of conduction characteristics on compensation type and lattice structure of SiC photoconductive semiconductor switches. Applied Optics, 2021, 60(11): 3182.
DOI URL |
| [19] |
CICHON S, MACHÁC P, BARDA B, et al. Raman study of Ni and Ni silicide contacts on 4H-and 6H-SiC. Thin Solid Films, 2012, 520(13): 4378.
DOI URL |
| [20] |
ROGOWSKI J, KUBIAK A. Investigation of microstructure and chemical composition of Ni contacts to n-type 4H-SiC. Materials Science and Engineering: B, 2012, 177(15): 1318.
DOI URL |
| [21] | ERVIN M H, JONES K A, LEE U, et al. Approach to optimizing n-SiC Ohmic contacts by replacing the original contacts with a second metal. Journal of Vacuum Science & Technology B, 2006, 24(3): 1185. |
| [22] |
XIAO L F, YANG X L, DUAN P, et al. Effect of electron avalanche breakdown on a high-purity semi-insulating 4H-SiC photoconductive semiconductor switch under intrinsic absorption. Applied Optics, 2018, 57(11): 2804.
DOI URL |
| [23] |
ZHU K, JOHNSTONE D, LEACH J, et al. High power photoconductive switches of 4H SiC with Si3N4 passivation and n+-GaN subcontact. Superlattices and Microstructures, 2007, 41(4): 264.
DOI URL |
| [24] |
ZHENG Z, HUANG W, HAN W W, et al. Analyzing the effects of aluminum-doped ZnO and Ag layers for the transparent electrode vertical PCSS. IEEE Transactions on Electron Devices, 2020, 67(6): 2414.
DOI URL |
| [25] |
CAO P H, HUANG W, GUO H, et al. Performance of a vertical 4H-SiC photoconductive switch with AZO transparent conductive window and silver mirror reflector. IEEE Transactions on Electron Devices, 2018, 65(5): 2047.
DOI URL |
| [26] |
HUANG J, HU L, MA Z Z, et al. Study on photoelectric efficiency and failure mechanism of high purity 4H-SiC PCSS. IEEE Transactions on Electron Devices, 2023, 70(11): 5762.
DOI URL |
| [27] |
CHEN Z P, HUANG Z C, SUN Q, et al. Analysis of the influence of defect evolution on the performance and damage of 4H-SiC photoconductive semiconductor switches. Journal of Applied Physics, 2025, 137(17): 175706.
DOI URL |
| [28] |
ZENG L L, WANG L N, NIU X Y, et al. Characteristics comparison of SiC and GaN extrinsic vertical photoconductive switches. IEEE Journal of the Electron Devices Society, 2024, 12: 249.
DOI URL |
| [29] |
HUANG W, CHANG S H, LIU X C, et al. Effects of substrate crystallinity on the on-state resistance of 6H-SiC photoconductive switches. Journal of Materials Research, 2013, 28(1): 38.
DOI URL |
| [30] |
HAO W, LIU X C, ZHENG Z, et al. Performance of lateral 4H-SiC photoconductive semiconductor switches by extrinsic backside trigger. Journal of Inorganic Materials, 2024, 39(9): 1070.
DOI URL |
| [1] | CAO Juan, WU Xishi, LIU Zehua, PEI Bingbing, HAN Jianshen, LIU Huan, YANG Yitian, WU Haibo, HUANG Zhengren. Influence of Grain Size on Weibull Distribution of Fracture Strength in Atmospheric-pressure Solid-phase Sintered SiC Ceramics [J]. Journal of Inorganic Materials, 2026, 41(2): 217-224. |
| [2] | WANG Lujie, ZHANG Yuxin, LI Tongyang, YU Yuan, REN Pengwei, WANG Jianzhang, TANG Huaguo, YAO Xiumin, HUANG Yihua, LIU Xuejian, QIAO Zhuhui. Corrosion and Wear Behavior of Silicon Carbide Ceramic in Deep-sea Service Environment [J]. Journal of Inorganic Materials, 2025, 40(7): 799-807. |
| [3] | LI Ziwei, GONG Weilu, CUI Haifeng, YE Li, HAN Weijian, ZHAO Tong. (Zr, Hf, Nb, Ta, W)C-SiC Composite Ceramics: Preparation via Precursor Route and Properties [J]. Journal of Inorganic Materials, 2025, 40(3): 271-280. |
| [4] | WANG Hao, LIU Xuechao, ZHENG Zhong, PAN Xiuhong, XU Jintao, ZHU Xinfeng, CHEN Kun, DENG Weijie, TANG Meibo, GUO Hui, GAO Pan. Performance of Lateral 4H-SiC Photoconductive Semiconductor Switches by Extrinsic Backside Trigger [J]. Journal of Inorganic Materials, 2024, 39(9): 1070-1076. |
| [5] | SUN Chuan, HE Pengfei, HU Zhenfeng, WANG Rong, XING Yue, ZHANG Zhibin, LI Jinglong, WAN Chunlei, LIANG Xiubing. SiC-based Ceramic Materials Incorporating GNPs Array: Preparation and Mechanical Characterization [J]. Journal of Inorganic Materials, 2024, 39(3): 267-273. |
| [6] | XU Hao, QIAN Wei, HUA Yinqun, YE Yunxia, DAI Fengze, CAI Jie. Effects of Micro Texture Processed by Picosecond Laser on Hydrophobicity of Silicon Carbide [J]. Journal of Inorganic Materials, 2023, 38(8): 923-930. |
| [7] | CHEN Qiang, BAI Shuxin, YE Yicong. Highly Thermal Conductive Silicon Carbide Ceramics Matrix Composites for Thermal Management: a Review [J]. Journal of Inorganic Materials, 2023, 38(6): 634-646. |
| [8] | GU Xuesu, YIN Jie, WANG Kanglong, CUI Chong, MEI Hui, CHEN Zhongming, LIU Xuejian, HUANG Zhengren. Effect of Particle Grading on Properties of Silicon Carbide Ceramics by Binder Jetting Printing [J]. Journal of Inorganic Materials, 2023, 38(12): 1373-1378. |
| [9] | OUYANG Qin, WANG Yanfei, XU Jian, LI Yinsheng, PEI Xueliang, MO Gaoming, LI Mian, LI Peng, ZHOU Xiaobing, GE Fangfang, ZHANG Chonghong, HE Liu, YANG Lei, HUANG Zhengren, CHAI Zhifang, ZHAN Wenlong, HUANG Qing. Research Progress of SiC Fiber Reinforced SiC Composites for Nuclear Application [J]. Journal of Inorganic Materials, 2022, 37(8): 821-840. |
| [10] | RUAN Jing, YANG Jinshan, YAN Jingyi, YOU Xiao, WANG Mengmeng, HU Jianbao, ZHANG Xiangyu, DING Yusheng, DONG Shaoming. Porous SiC Ceramic Matrix Composite Reinforced by SiC Nanowires with High Strength and Low Thermal Conductivity [J]. Journal of Inorganic Materials, 2022, 37(4): 459-466. |
| [11] | LUO Qing,YUAN Qing,JIANG Qian-Qin,YU Nai-Sen. Cu-SSZ-13/SiC-waste Composite: Synthesis and Application for NH3-SCR [J]. Journal of Inorganic Materials, 2019, 34(9): 953-960. |
| [12] | WANG Xiao, WANG Ran-Ran, SHI Liang-Jing, SUN Jing. Synthesis, Optimization of Cu Nanowires and Application of Its Transparent Electrodes [J]. Journal of Inorganic Materials, 2019, 34(1): 49-59. |
| [13] | HE Fei, LI Ya, LUO Jin, FANG Min-Han, HE Xiao-Dong. Development of SiO2/C and SiC/C Composites Featuring Aerogel Structures [J]. Journal of Inorganic Materials, 2017, 32(5): 449-458. |
| [14] | YU Jie-Yi, HUANG Hao, GAO Jian, ZHOU Lei, GAO Song, DONG Xing-Long, QUAN Xie. Synthesis and Catalytic Performances of SiC Nanoparticles by DC Arc-discharge Plasma [J]. Journal of Inorganic Materials, 2017, 32(4): 351-356. |
| [15] | ZHUO Shi-Yi, LIU Xi, GAO Pan, YAN Cheng-Feng, SHI Er-Wei. Luminescence of Donor-acceptor-pair in Fluorescent 4H-SiC Doped with Nitrogen, Boron and Aluminum [J]. Journal of Inorganic Materials, 2017, 32(1): 51-55. |
| Viewed | ||||||
|
Full text |
|
|||||
|
Abstract |
|
|||||