Journal of Inorganic Materials ›› 2025, Vol. 40 ›› Issue (12): 1414-1424.DOI: 10.15541/jim20250042
• RESEARCH ARTICLE • Previous Articles Next Articles
GUO Jiaxin1(
), CHEN Meijuan1, WU Hao1, ZHENG Xiaoran1, MIN Nan1, TIAN Hui1(
), QI Dongli1, LI Quanjun2, DU Shiyu3,4, SHEN Longhai1(
)
Received:2025-02-04
Revised:2025-04-10
Published:2025-12-20
Online:2025-04-15
Contact:
SHEN Longhai, professor. E-mail: shenlonghai@sylu.edu.cn;About author:GUO Jiaxin (2001-), female, Master candidate. E-mail: 463256229@qq.com
Supported by:CLC Number:
GUO Jiaxin, CHEN Meijuan, WU Hao, ZHENG Xiaoran, MIN Nan, TIAN Hui, QI Dongli, LI Quanjun, DU Shiyu, SHEN Longhai. First-principles Study of Novel MAX Phase Zr3InC2 under High Pressure[J]. Journal of Inorganic Materials, 2025, 40(12): 1414-1424.
| MAX | a/Å | c/Å | V/Å3 | c/a | Ref. |
|---|---|---|---|---|---|
| Zr3InC2 | 3.332 | 20.177 | 200.776 | 6.055 | This work |
| 3.351 | 20.251 | 194.004 | 6.042 | [18] | |
| Zr3AlC2 | 3.337 | 19.940 | 192.362 | 5.975 | This work |
| 3.328 | 20.011 | 192.01 | 6.011 | [41] |
Table 1 Structural parameters of Zr3InC2 and Zr3AlC2 at 0 GPa pressure[18,41]
| MAX | a/Å | c/Å | V/Å3 | c/a | Ref. |
|---|---|---|---|---|---|
| Zr3InC2 | 3.332 | 20.177 | 200.776 | 6.055 | This work |
| 3.351 | 20.251 | 194.004 | 6.042 | [18] | |
| Zr3AlC2 | 3.337 | 19.940 | 192.362 | 5.975 | This work |
| 3.328 | 20.011 | 192.01 | 6.011 | [41] |
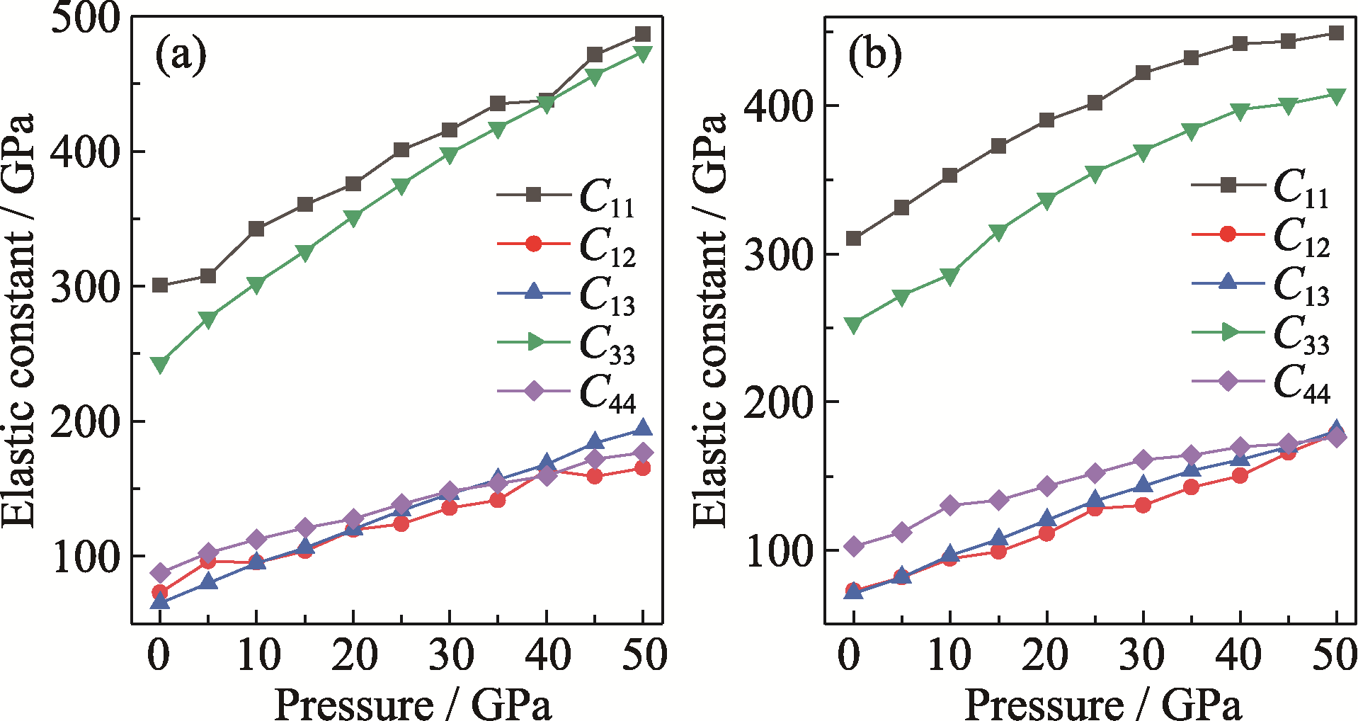
| MAX | Pressure/ GPa | C11/ GPa | C12/ GPa | C13/ GPa | C33/ GPa | C44/ GPa | C66/ GPa | B/ GPa | G/ GPa | E/ GPa | Cauchy pressure |
|---|---|---|---|---|---|---|---|---|---|---|---|
| Zr3InC2 | 0 | 300 | 73 | 65 | 243 | 87 | 114 | 138 | 100 | 241 | -14 |
| 5 | 308 | 96 | 80 | 277 | 102 | 106 | 156 | 104 | 256 | -6 | |
| 10 | 343 | 95 | 95 | 302 | 112 | 124 | 173 | 116 | 285 | -17 | |
| 15 | 360 | 104 | 106 | 326 | 121 | 128 | 186 | 122 | 301 | -17 | |
| 20 | 376 | 119 | 120 | 352 | 128 | 128 | 202 | 126 | 314 | -9 | |
| 25 | 401 | 124 | 134 | 376 | 139 | 138 | 218 | 135 | 337 | -15 | |
| 30 | 416 | 136 | 146 | 399 | 148 | 140 | 232 | 140 | 351 | -12 | |
| 35 | 435 | 142 | 157 | 418 | 154 | 147 | 244 | 146 | 366 | -12 | |
| 40 | 438 | 164 | 168 | 436 | 160 | 137 | 257 | 145 | 366 | 4 | |
| 45 | 471 | 159 | 184 | 457 | 172 | 156 | 273 | 158 | 396 | -13 | |
| 50 | 487 | 165 | 194 | 474 | 177 | 161 | 284 | 162 | 408 | -12 | |
| Zr3AlC2 | 0 | 310 | 72 | 71 | 253 | 103 | 119 | 144 | 108 | 260 | -31 |
| 5 | 331 | 82 | 82 | 272 | 112 | 125 | 158 | 115 | 278 | -30 | |
| 10 | 353 | 94 | 96 | 286 | 130 | 129 | 173 | 124 | 301 | -36 | |
| 15 | 373 | 99 | 107 | 316 | 134 | 137 | 187 | 130 | 317 | -35 | |
| 20 | 390 | 111 | 120 | 337 | 143 | 139 | 202 | 136 | 333 | -32 | |
| 25 | 402 | 128 | 133 | 355 | 152 | 137 | 216 | 139 | 342 | -24 | |
| 30 | 422 | 130 | 143 | 370 | 161 | 146 | 227 | 146 | 361 | -31 | |
| 35 | 432 | 143 | 154 | 384 | 164 | 145 | 239 | 147 | 366 | -21 | |
| 40 | 442 | 150 | 161 | 398 | 170 | 146 | 247 | 150 | 374 | -20 | |
| 45 | 444 | 166 | 170 | 401 | 172 | 139 | 255 | 147 | 371 | -6 | |
| 50 | 449 | 179 | 180 | 408 | 176 | 135 | 265 | 147 | 372 | 3 |
Table 2 Elastic constants and elastic moduli of Zr3InC2 and Zr3AlC2 under 0-50 GPa pressure
| MAX | Pressure/ GPa | C11/ GPa | C12/ GPa | C13/ GPa | C33/ GPa | C44/ GPa | C66/ GPa | B/ GPa | G/ GPa | E/ GPa | Cauchy pressure |
|---|---|---|---|---|---|---|---|---|---|---|---|
| Zr3InC2 | 0 | 300 | 73 | 65 | 243 | 87 | 114 | 138 | 100 | 241 | -14 |
| 5 | 308 | 96 | 80 | 277 | 102 | 106 | 156 | 104 | 256 | -6 | |
| 10 | 343 | 95 | 95 | 302 | 112 | 124 | 173 | 116 | 285 | -17 | |
| 15 | 360 | 104 | 106 | 326 | 121 | 128 | 186 | 122 | 301 | -17 | |
| 20 | 376 | 119 | 120 | 352 | 128 | 128 | 202 | 126 | 314 | -9 | |
| 25 | 401 | 124 | 134 | 376 | 139 | 138 | 218 | 135 | 337 | -15 | |
| 30 | 416 | 136 | 146 | 399 | 148 | 140 | 232 | 140 | 351 | -12 | |
| 35 | 435 | 142 | 157 | 418 | 154 | 147 | 244 | 146 | 366 | -12 | |
| 40 | 438 | 164 | 168 | 436 | 160 | 137 | 257 | 145 | 366 | 4 | |
| 45 | 471 | 159 | 184 | 457 | 172 | 156 | 273 | 158 | 396 | -13 | |
| 50 | 487 | 165 | 194 | 474 | 177 | 161 | 284 | 162 | 408 | -12 | |
| Zr3AlC2 | 0 | 310 | 72 | 71 | 253 | 103 | 119 | 144 | 108 | 260 | -31 |
| 5 | 331 | 82 | 82 | 272 | 112 | 125 | 158 | 115 | 278 | -30 | |
| 10 | 353 | 94 | 96 | 286 | 130 | 129 | 173 | 124 | 301 | -36 | |
| 15 | 373 | 99 | 107 | 316 | 134 | 137 | 187 | 130 | 317 | -35 | |
| 20 | 390 | 111 | 120 | 337 | 143 | 139 | 202 | 136 | 333 | -32 | |
| 25 | 402 | 128 | 133 | 355 | 152 | 137 | 216 | 139 | 342 | -24 | |
| 30 | 422 | 130 | 143 | 370 | 161 | 146 | 227 | 146 | 361 | -31 | |
| 35 | 432 | 143 | 154 | 384 | 164 | 145 | 239 | 147 | 366 | -21 | |
| 40 | 442 | 150 | 161 | 398 | 170 | 146 | 247 | 150 | 374 | -20 | |
| 45 | 444 | 166 | 170 | 401 | 172 | 139 | 255 | 147 | 371 | -6 | |
| 50 | 449 | 179 | 180 | 408 | 176 | 135 | 265 | 147 | 372 | 3 |
| MAX | Pressure/ GPa | ρ/ (kg·m-3) | vt/ (m·s-1) | vl/ (m·s-1) | vm/ (m·s-1) | ΘD/K | Kmin/ (W·m-1·K-1) |
|---|---|---|---|---|---|---|---|
| Zr3InC2 | 0 | 3375.40 | 6301.53 | 3820.01 | 4221.57 | 491.4 | 0.89 |
| 5 | 3486.67 | 6461.24 | 3844.83 | 4256.71 | 501.2 | 0.92 | |
| 10 | 3588.36 | 6715.97 | 4001.02 | 4429.14 | 526.5 | 0.97 | |
| 15 | 3683.39 | 6846.77 | 4051.64 | 4488.03 | 538.2 | 1.01 | |
| 20 | 3769.65 | 6967.78 | 4065.94 | 4509.69 | 545.0 | 1.03 | |
| 25 | 3853.06 | 7143.07 | 4165.50 | 4620.38 | 562.5 | 1.07 | |
| 30 | 3931.13 | 7256.43 | 4200.63 | 4662.40 | 571.4 | 1.09 | |
| 35 | 4005.88 | 7360.26 | 4246.22 | 4714.42 | 581.2 | 1.12 | |
| 40 | 4078.30 | 7385.32 | 4190.43 | 4659.11 | 577.8 | 1.12 | |
| 45 | 4148.03 | 7585.61 | 4334.05 | 4815.97 | 600.5 | 1.17 | |
| 50 | 4215.80 | 7656.01 | 4356.83 | 4842.92 | 607.0 | 1.18 | |
| Zr3AlC2 | 0 | 3375.40 | 7176.31 | 4397.61 | 4854.54 | 573.2 | 1.05 |
| 5 | 3486.67 | 7333.83 | 4464.07 | 4931.28 | 588.6 | 1.09 | |
| 10 | 3588.36 | 7543.72 | 4569.82 | 5050.55 | 608.6 | 1.14 | |
| 15 | 3683.39 | 7684.20 | 4616.35 | 5106.18 | 620.7 | 1.17 | |
| 20 | 3769.65 | 7822.28 | 4657.67 | 5156.31 | 631.7 | 1.20 | |
| 25 | 3853.06 | 7914.84 | 4652.82 | 5157.13 | 636.4 | 1.22 | |
| 30 | 3931.13 | 8037.75 | 4727.22 | 5239.38 | 650.9 | 1.25 | |
| 35 | 4005.88 | 8080.91 | 4698.41 | 5212.88 | 651.7 | 1.26 | |
| 40 | 4078.30 | 8123.75 | 4703.44 | 5220.42 | 656.5 | 1.28 | |
| 45 | 4148.03 | 8097.81 | 4625.81 | 5140.25 | 650.1 | 1.28 | |
| 50 | 4215.80 | 8109.87 | 4578.04 | 5092.24 | 647.5 | 1.28 |
0~50 GPa压力下Zr3InC2和Zr3AlC2的ρ、横向速度(vt)、纵向速度(vl)、平均声速(vm)、ΘD和Kmin Table 3 ρ, transverse velocity (vt), longitudinal velocity (vl), average sound velocity (vm), ΘD, and Kmin of Zr3InC2 and Zr3AlC2 under 0-50 GPa pressure
| MAX | Pressure/ GPa | ρ/ (kg·m-3) | vt/ (m·s-1) | vl/ (m·s-1) | vm/ (m·s-1) | ΘD/K | Kmin/ (W·m-1·K-1) |
|---|---|---|---|---|---|---|---|
| Zr3InC2 | 0 | 3375.40 | 6301.53 | 3820.01 | 4221.57 | 491.4 | 0.89 |
| 5 | 3486.67 | 6461.24 | 3844.83 | 4256.71 | 501.2 | 0.92 | |
| 10 | 3588.36 | 6715.97 | 4001.02 | 4429.14 | 526.5 | 0.97 | |
| 15 | 3683.39 | 6846.77 | 4051.64 | 4488.03 | 538.2 | 1.01 | |
| 20 | 3769.65 | 6967.78 | 4065.94 | 4509.69 | 545.0 | 1.03 | |
| 25 | 3853.06 | 7143.07 | 4165.50 | 4620.38 | 562.5 | 1.07 | |
| 30 | 3931.13 | 7256.43 | 4200.63 | 4662.40 | 571.4 | 1.09 | |
| 35 | 4005.88 | 7360.26 | 4246.22 | 4714.42 | 581.2 | 1.12 | |
| 40 | 4078.30 | 7385.32 | 4190.43 | 4659.11 | 577.8 | 1.12 | |
| 45 | 4148.03 | 7585.61 | 4334.05 | 4815.97 | 600.5 | 1.17 | |
| 50 | 4215.80 | 7656.01 | 4356.83 | 4842.92 | 607.0 | 1.18 | |
| Zr3AlC2 | 0 | 3375.40 | 7176.31 | 4397.61 | 4854.54 | 573.2 | 1.05 |
| 5 | 3486.67 | 7333.83 | 4464.07 | 4931.28 | 588.6 | 1.09 | |
| 10 | 3588.36 | 7543.72 | 4569.82 | 5050.55 | 608.6 | 1.14 | |
| 15 | 3683.39 | 7684.20 | 4616.35 | 5106.18 | 620.7 | 1.17 | |
| 20 | 3769.65 | 7822.28 | 4657.67 | 5156.31 | 631.7 | 1.20 | |
| 25 | 3853.06 | 7914.84 | 4652.82 | 5157.13 | 636.4 | 1.22 | |
| 30 | 3931.13 | 8037.75 | 4727.22 | 5239.38 | 650.9 | 1.25 | |
| 35 | 4005.88 | 8080.91 | 4698.41 | 5212.88 | 651.7 | 1.26 | |
| 40 | 4078.30 | 8123.75 | 4703.44 | 5220.42 | 656.5 | 1.28 | |
| 45 | 4148.03 | 8097.81 | 4625.81 | 5140.25 | 650.1 | 1.28 | |
| 50 | 4215.80 | 8109.87 | 4578.04 | 5092.24 | 647.5 | 1.28 |
| [1] |
DING H M, LI M, LI Y B, et al. Progress in structural tailoring and properties of ternary layered ceramics. Journal of Inorganic Materials, 2023, 38(8): 845.
DOI URL |
| [2] |
WANG X H, ZHOU Y C. Intermediate-temperature oxidation behavior of Ti2AlC in air. Journal of Materials Research, 2002, 17(11): 2974.
DOI URL |
| [3] |
BYEON J W, LIU J, HOPKINS M, et al. Microstructure and residual stress of alumina scale formed on Ti2AlC at high temperature in air. Oxidation of Metals, 2007, 68(1): 97.
DOI URL |
| [4] |
BARSOUM M W, YOO H I, POLUSHINA I K, et al. Electrical conductivity, thermopower, and Hall effect of Ti3AlC2, Ti4AlN3, and Ti3SiC2. Physical Review B, 2000, 62(15): 10194.
DOI URL |
| [5] |
BARSOUM M W, EL-RAGHY T, RAWN C J, et al. Thermal properties of Ti3SiC2. Journal of Physics and Chemistry of Solids, 1999, 60(4): 429.
DOI URL |
| [6] |
ZAPATA-SOLVAS E, CHRISTOPOULOS S G, NI N, et al. Experimental synthesis and density functional theory investigation of radiation tolerance of Zr3(Al1-xSix)C2 MAX phases. Journal of the American Ceramic Society, 2017, 100(4): 1377.
DOI URL |
| [7] |
BARSOUM M W, EL-RAGHY T. The MAX phases: unique new carbide and nitride materials: ternary ceramics turn out to be surprisingly soft and machinable, yet also heat-tolerant, strong and lightweight. American Scientist, 2001, 89(4): 334.
DOI URL |
| [8] |
HAJAS D E, BABEN M T, HALLSTEDT B, et al. Oxidation of Cr2AlC coatings in the temperature range of 1230 to 1410 ℃. Surface and Coatings Technology, 2011, 206(4): 591.
DOI URL |
| [9] |
SHEIN I R, IVANOVSKII A L. Elastic properties of superconducting MAX phases from first-principles calculations. Physica Status Solidi: B, 2011, 248(1): 228.
DOI URL |
| [10] |
GALVIN T, HYATT N C, RAINFORTH W M, et al. Slipcasting of MAX phase tubes for nuclear fuel cladding applications. Nuclear Materials and Energy, 2020, 22: 100725.
DOI URL |
| [11] |
HUANG Q. MXene: coming up roses. Journal of Inorganic Materials, 2024, 39(2): 113.
DOI URL |
| [12] |
LI M, LI Y B, LUO K, et al. Synthesis of novel MAX phase Ti3ZnC2 via A-site-element-substitution approach. Journal of Inorganic Materials, 2019, 34(1): 60.
DOI URL |
| [13] |
DING H M, LI Y B, LU J, et al. Synthesis of MAX phases Nb2CuC and Ti2(Al0.1Cu0.9)N by A-site replacement reaction in molten salts. Materials Research Letters, 2019, 7(12): 510.
DOI URL |
| [14] |
LI Y B, LI M, LU J, et al. Single-atom-thick active layers realized in nanolaminated Ti3(AlxCu1-x)C2 and its artificial enzyme behavior. ACS Nano, 2019, 13(8): 9198.
DOI URL |
| [15] |
LI Y B, LIANG J H, DING H M, et al. Near-room temperature ferromagnetic behavior of single-atom-thick 2D iron in nanolaminated ternary MAX phases. Applied Physics Reviews, 2021, 8(3): 031418.
DOI URL |
| [16] |
FASHANDI H, DAHLQVIST M, LU J, et al. Synthesis of Ti3AuC2, Ti3Au2C2 and Ti3IrC2 by noble metal substitution reaction in Ti3SiC2 for high-temperature-stable Ohmic contacts to SiC. Nature Materials, 2017, 16: 814.
DOI URL |
| [17] |
CUSKELLY D T, RICHARDS E R, KISI E H, et al. Ti3GaC2 and Ti3InC2: first bulk synthesis, DFT stability calculations and structural systematics. Journal of Solid State Chemistry, 2015, 230: 418.
DOI URL |
| [18] |
ZHANG Q Q, LUO J, WEN B, et al. Determination of new α-312 MAX phases of Zr3InC2 and Hf3InC2. Journal of the European Ceramic Society, 2023, 43(15): 7228.
DOI URL |
| [19] |
BORTOLOZO A D, SANT’ANNA O H, DOS SANTOS C A M, et al. Superconductivity in the hexagonal-layered nanolaminates Ti2InC compound. Solid State Communications, 2007, 144(10/11): 419.
DOI URL |
| [20] |
BORTOLOZO A D, SERRANO G, SERQUIS A, et al. Superconductivity at 7.3 K in Ti2InN. Solid State Communications, 2010, 150(29/30): 1364.
DOI URL |
| [21] |
BORTOLOZO A D, FISK Z, SANT’ANNA O H, et al. Superconductivity in Nb2InC. Physica C: Superconductivity, 2009, 469(7/8): 256.
DOI URL |
| [22] |
BAKARDJIEVA S, CECCIO G, VACIK J, et al. Surface morphology and mechanical properties changes induced in Ti3InC2 (M3AX2) thin nanocrystalline films by irradiation of 100 keV Ne+ ions. Surface and Coatings Technology, 2021, 426: 127775.
DOI URL |
| [23] |
BAKARDJIEVA S, HORAK P, VACIK J, et al. Effect of Ar+ irradiation of Ti3InC2 at different ion beam fluences. Surface and Coatings Technology, 2020, 394: 125834.
DOI URL |
| [24] |
CANNAVÓ A, VACÍK J, BAKARDJIEVA S, et al. Effect of medium energy He+, Ne+ and Ar+ ion irradiation on the Hf-In-C thin film composites. Thin Solid Films, 2022, 743: 139052.
DOI URL |
| [25] |
LUO F, GUO Z C, ZHANG X L, et al. Ab initio predictions of structural and thermodynamic properties of Zr2AlC under high pressure and high temperature. Chinese Journal of Chemical Physics, 2015, 28(3): 263.
DOI URL |
| [26] |
QURESHI M W, MA X X, TANG G Z, et al. Structural stability, electronic, mechanical, phonon, and thermodynamic properties of the M2GaC (M=Zr, Hf) MAX phase: an ab initio calculation. Materials, 2020, 13(22): 5148.
DOI URL |
| [27] |
ALI M A, QURESHI M W. DFT insights into the new Hf-based chalcogenide MAX phase Hf2SeC. Vacuum, 2022, 201: 111072.
DOI URL |
| [28] |
ALI M A, QURESHI M W. Newly synthesized MAX phase Zr2SeC: DFT insights into physical properties towards possible applications. RSC Advances, 2021, 11(28): 16892.
DOI URL |
| [29] |
AZZOUZ-RACHED A, HADI M A, RACHED H, et al. Pressure effects on the structural, elastic, magnetic and thermodynamic properties of Mn2AlC and Mn2SiC MAX phases. Journal of Alloys and Compounds, 2021, 885: 160998.
DOI URL |
| [30] |
KRESSE G, HAFNER J. Ab initio molecular dynamics for open- shell transition metals. Physical Review B, 1993, 48(17): 13115.
DOI URL |
| [31] |
KRESSE G, FURTHMÜLLER J. Efficient iterative schemes for ab initio total-energy calculations using a plane-wave basis set. Physical Review B, 1996, 54(16): 11169.
DOI URL |
| [32] |
WU Z G, COHEN R E. More accurate generalized gradient approximation for solids. Physical Review B, 2006, 73(23): 235116.
DOI URL |
| [33] |
BLÖCHL P E. Projector augmented-wave method. Physical Review B, 1994, 50(24): 17953.
DOI PMID |
| [34] |
MONKHORST H J, PACK J D. Special points for Brillouin-zone integrations. Physical Review B, 1976, 13(12): 5188.
DOI URL |
| [35] |
REUSS A. Berechnung der fließgrenze von mischkristallen auf grund der plastizitätsbedingung für einkristalle. ZAMM - Journal of Applied Mathematics and Mechanics/Zeitschrift für Angewandte Mathematik und Mechanik, 1929, 9(1): 49.
DOI URL |
| [36] |
HILL R. The elastic behaviour of a crystalline aggregate. Proceedings of the Physical Society A, 1952, 65(5): 349.
DOI URL |
| [37] |
VOIGT W. Ueber die Beziehung zwischen den beiden Elasticitätsconstanten isotroper Körper. Annalen der Physik, 1889, 274(12): 573.
DOI URL |
| [38] |
WANG H Z, ZHAN Y Z, PANG M J. The structure, elastic, electronic properties and Debye temperature of M2AlC (M=Nb and Ta) under pressure from first-principles. Computational Materials Science, 2012, 54: 16.
DOI URL |
| [39] |
ANDERSON O L. A simplified method for calculating the Debye temperature from elastic constants. Journal of Physics and Chemistry of Solids, 1963, 24(7): 909.
DOI URL |
| [40] |
CLARKE D R. Materials selection guidelines for low thermal conductivity thermal barrier coatings. Surface and Coatings Technology, 2003, 163/164: 67.
DOI URL |
| [41] |
ZAPATA-SOLVAS E, HADI M A, HORLAIT D, et al. Synthesis and physical properties of (Zr1-x, Tix)3AlC2 MAX phases. Journal of the American Ceramic Society, 2017, 100(8): 3393.
DOI URL |
| [42] |
WANG J, YIP S, PHILLPOT S R, et al. Crystal instabilities at finite strain. Physical Review Letters, 1993, 71(25): 4182.
PMID |
| [43] |
RANA M R, ISLAM S, HOQUE K, et al. DFT prediction of the stability and physical properties of M2GaB (M = Sc, V, Nb, Ta). Journal of Materials Research and Technology, 2023, 24: 7795.
DOI URL |
| [44] |
PETTIFOR D G. Theoretical predictions of structure and related properties of intermetallics. Materials Science and Technology, 1992, 8(4): 345.
DOI URL |
| [45] | CHEN L L, DENG Z X, LI M, et al. Phase diagrams of novel MAX phases. Journal of Inorganic Materials, 2020, 35(1): 35. |
| [46] |
QI L, JIN Y C, ZHAO Y H, et al. The structural, elastic, electronic properties and Debye temperature of Ni3Mo under pressure from first-principles. Journal of Alloys and Compounds, 2015, 621: 383.
DOI URL |
| [47] |
CHEN Q, HUANG Z W, ZHAO Z D, et al. Thermal stabilities, elastic properties and electronic structures of B2-MgRE (RE=Sc, Y, La) by first-principles calculations. Computational Materials Science, 2013, 67: 196.
DOI URL |
| [48] |
HADI M A, AHMED I, ALI M A, et al. A comparative DFT exploration on M- and A-site double transition metal MAX phase, Ti3ZnC2. Open Ceramics, 2022, 12: 100308.
DOI URL |
| [49] |
HADI M A, ROKNUZZAMAN M, CHRONEOS A, et al. Elastic and thermodynamic properties of new (Zr3-xTix)AlC2 MAX-phase solid solutions. Computational Materials Science, 2017, 137: 318.
DOI URL |
| [1] | HU Zhichao, YANG Hongyu, YANG Hongcheng, SUN Chengli, YANG Jun, LI Enzhu. Usage of the P-V-L Bond Theory in Regulating Properties of Microwave Dielectric Ceramics [J]. Journal of Inorganic Materials, 2025, 40(6): 609-626. |
| [2] | HUANG Zipeng, JIA Wenxiao, LI Lingxia. Crystal Structure and Terahertz Dielectric Properties of (Ti0.5W0.5)5+ Doped MgNb2O6 Ceramics [J]. Journal of Inorganic Materials, 2025, 40(6): 647-655. |
| [3] | ZHAO Kaixuan, LIU Wenpeng, DING Shoujun, DOU Renqin, LUO Jianqiao, GAO Jinyun, SUN Guihua, REN Hao, ZHANG Qingli. Nd:YLF Crystal Growth: Raw Materials Preparation by Melting Method and Property [J]. Journal of Inorganic Materials, 2025, 40(5): 529-535. |
| [4] | HUANG Jianfeng, LIANG Ruihong, ZHOU Zhiyong. Effects of W/Cr Co-doping on the Crystal Structure and Electric Properties of CaBi2Nb2O9 Piezoceramics [J]. Journal of Inorganic Materials, 2024, 39(8): 887-894. |
| [5] | ZHANG Yuchen, LU Zhiyao, HE Xiaodong, SONG Guangping, ZHU Chuncheng, ZHENG Yongting, BAI Yuelei. Predictions of Phase Stability and Properties of S-group Elements Containing MAX Borides [J]. Journal of Inorganic Materials, 2024, 39(2): 225-232. |
| [6] | LIU Yanyan, XIE Xi, LIU Zengqian, ZHANG Zhefeng. Metal Matrix Composites Reinforced by MAX Phase Ceramics: Fabrication, Properties and Bioinspired Designs [J]. Journal of Inorganic Materials, 2024, 39(2): 145-152. |
| [7] | CHEN Mengjie, WANG Qianqian, WU Chengtie, HUANG Jian. Predicting the Degradability of Bioceramics through a DFT-based Descriptor [J]. Journal of Inorganic Materials, 2024, 39(10): 1175-1181. |
| [8] | DING Haoming, LI Mian, LI Youbing, CHEN Ke, XIAO Yukun, ZHOU Jie, TAO Quanzheng, Johanna Rosen, YIN Hang, BAI Yuelei, ZHANG Bikun, SUN Zhimei, WANG Junjie, ZHANG Yiming, HUANG Zhenying, ZHANG Peigen, SUN Zhengming, HAN Meikang, ZHAO Shuang, WANG Chenxu, HUANG Qing. Progress in Structural Tailoring and Properties of Ternary Layered Ceramics [J]. Journal of Inorganic Materials, 2023, 38(8): 845-884. |
| [9] | SONG Yunxia, HAN Yinglei, YAN Tao, LUO Min. New Ultraviolet Nonlinear Optical Crystal Rb3Hg2(SO4)3Cl [J]. Journal of Inorganic Materials, 2023, 38(7): 778-784. |
| [10] | WEN Zhiqin, HUANG Binrong, LU Taoyi, ZOU Zhengguang. Pressure on the Structure and Thermal Properties of PbTiO3: First-principle Study [J]. Journal of Inorganic Materials, 2022, 37(7): 787-794. |
| [11] | DING Jianxiang, ZHANG Kaige, LIU Dongming, ZHENG Wei, ZHANG Peigen, SUN Zhengming. Ag-based Electrical Contact Material Reinforced by Ti3AlC2 Ceramic and Its Derivative Ti3C2Tx [J]. Journal of Inorganic Materials, 2022, 37(5): 567-573. |
| [12] | FENG Qingying, LIU Dong, ZHANG Ying, FENG Hao, LI Qiang. Thermodynamic and First-principles Assessments of Materials for Solar-driven CO2 Splitting Using Two-step Thermochemical Cycles [J]. Journal of Inorganic Materials, 2022, 37(2): 223-229. |
| [13] | ZHAO Wei, XU Yang, WAN Yingjie, CAI Tianxun, MU Jinxiao, HUANG Fuqiang. Metal Cyanamides/Carbodiimides: Structure, Synthesis and Electrochemical Energy Storage Performance [J]. Journal of Inorganic Materials, 2022, 37(2): 140-151. |
| [14] | ZHANG Xian, ZHANG Ce, JIANG Wenjun, FENG Deqiang, YAO Wei. Synthesis, Electronic Structure and Visible Light Photocatalytic Performance of Quaternary BiMnVO5 [J]. Journal of Inorganic Materials, 2022, 37(1): 58-64. |
| [15] | LI Youbing, QIN Yanqing, CHEN Ke, CHEN Lu, ZHANG Xiao, DING Haoming, LI Mian, ZHANG Yiming, DU Shiyu, CHAI Zhifang, HUANG Qing. Molten Salt Synthesis of Nanolaminated Sc2SnC MAX Phase [J]. Journal of Inorganic Materials, 2021, 36(7): 773-778. |
| Viewed | ||||||
|
Full text |
|
|||||
|
Abstract |
|
|||||