Journal of Inorganic Materials ›› 2025, Vol. 40 ›› Issue (11): 1277-1284.DOI: 10.15541/jim20250057
• RESEARCH ARTICLE • Previous Articles Next Articles
TANG Yang1(
), LIU Limin1,2(
), ZHOU Xiaoliang1,2,3, ZHANG Bo3, JIANG Xingzhou1, JIA Haoyi1, LUO Yanlinqing1
Received:2025-02-14
Revised:2025-04-17
Published:2025-11-20
Online:2025-05-22
Contact:
LIU Limin, associate professor. E-mail: liulimin_ly@126.comAbout author:TANG Yang (2001-), male, Master candidate. E-mail: 2630565355@qq.com
Supported by:CLC Number:
TANG Yang, LIU Limin, ZHOU Xiaoliang, ZHANG Bo, JIANG Xingzhou, JIA Haoyi, LUO Yanlinqing. Proton Ceramic Membrane Reactor: Preparation and Low-temperature Ammonia Decomposition Performance[J]. Journal of Inorganic Materials, 2025, 40(11): 1277-1284.
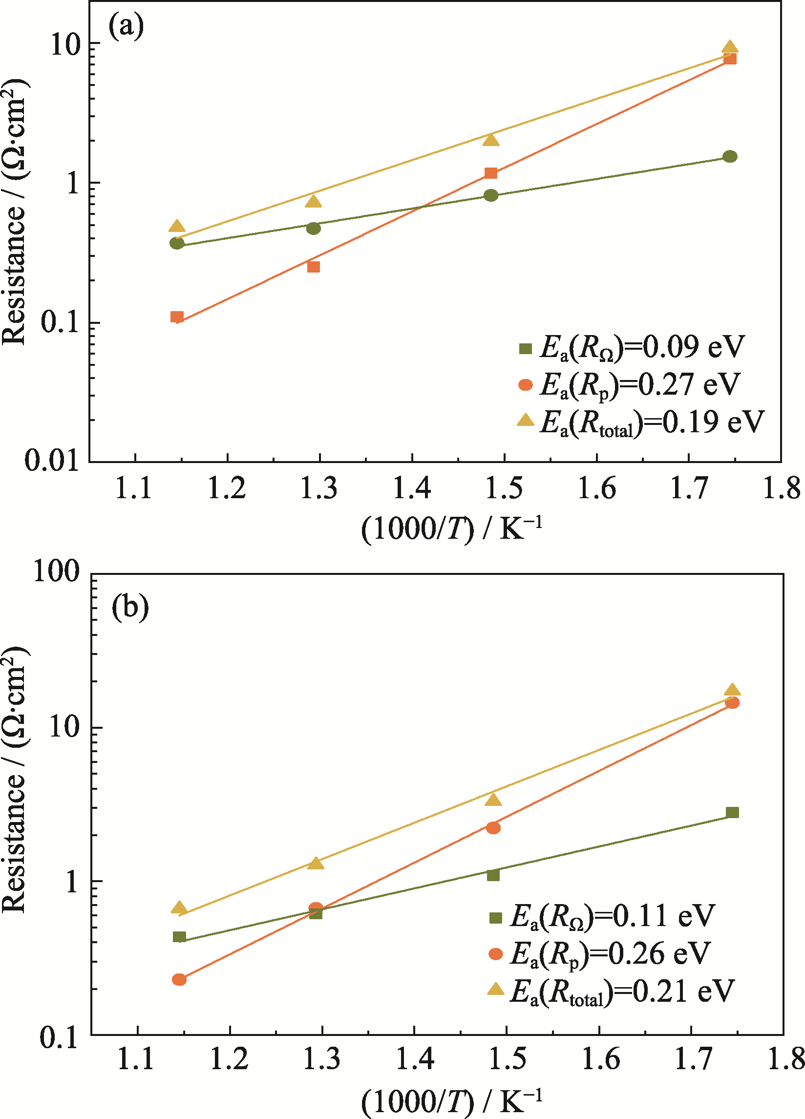
Fig. 2 XRD patterns of samples (a) BZCY calcined at 1000 ℃ for 5 h in air and calcined at 400 and 600 ℃ for 4 h in NH3; (b) NiO-BZCY and Ni-BZCY treated with H2 and NH3 for 4 h at 400 ℃
Fig. 3 SEM images of (a) cross-section, (b) electrolyte, and (c, d) electrodes on both sides of PCMR, and (e-j) EDS elemental mappings of NiO-BZCY electrode
| Reactor structure | Temperature/℃, gas environment | Voltage/V | Current density/ (A·cm-2) | Ref. |
|---|---|---|---|---|
| Ni-BZCY/BZCY/Ni-BZCY | 650, 50% H2-N2 (measured at only 650 ℃) | 0.8 | 2.0 | [ |
| LSV-Ce-Pd/BZCYCu/LSV-Ce-Pd | 600, H2 (3% H2O) | 1.0 | 0.92 | [ |
| Ni-BZCY/BZCY/Ni-BZCY | 450, 60% H2 (maximum testing temperature of 450 ℃) | 1.0 | 0.53 | [ |
| Ni-BZCYYb/BZCYYb/Ni-BZCYYb | 600, 50% H2-N2 | 0.8 | 1.78 | [ |
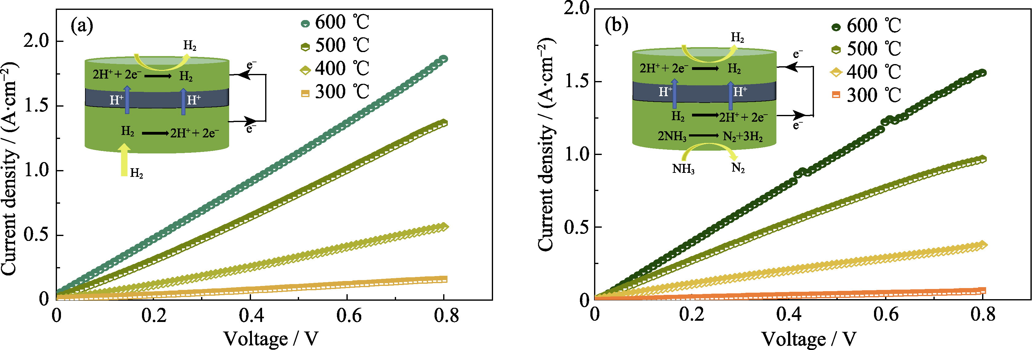
| Ni-BZCY/BZCY/Ni-BZCY | 600, H2 (3% H2O) | 0.8 | 1.87 | This work |
| Ni-BZCY/BZCY/Ni-BZCY | 600, NH3 | 0.8 | 1.56 | This work |
Table 1 Current density of partially symmetrical PCMR
| Reactor structure | Temperature/℃, gas environment | Voltage/V | Current density/ (A·cm-2) | Ref. |
|---|---|---|---|---|
| Ni-BZCY/BZCY/Ni-BZCY | 650, 50% H2-N2 (measured at only 650 ℃) | 0.8 | 2.0 | [ |
| LSV-Ce-Pd/BZCYCu/LSV-Ce-Pd | 600, H2 (3% H2O) | 1.0 | 0.92 | [ |
| Ni-BZCY/BZCY/Ni-BZCY | 450, 60% H2 (maximum testing temperature of 450 ℃) | 1.0 | 0.53 | [ |
| Ni-BZCYYb/BZCYYb/Ni-BZCYYb | 600, 50% H2-N2 | 0.8 | 1.78 | [ |
| Ni-BZCY/BZCY/Ni-BZCY | 600, H2 (3% H2O) | 0.8 | 1.87 | This work |
| Ni-BZCY/BZCY/Ni-BZCY | 600, NH3 | 0.8 | 1.56 | This work |
| Temperature/℃ | H2 | NH3 | ||||
|---|---|---|---|---|---|---|
| Rtotal | RΩ | Rp | Rtotal | RΩ | Rp | |
| 600 | 0.48 | 0.37 | 0.11 | 0.67 | 0.44 | 0.23 |
| 500 | 0.72 | 0.47 | 0.25 | 1.28 | 0.61 | 0.67 |
| 400 | 1.98 | 0.81 | 1.17 | 3.31 | 1.09 | 2.22 |
| 300 | 9.23 | 1.54 | 7.69 | 17.31 | 2.80 | 14.51 |
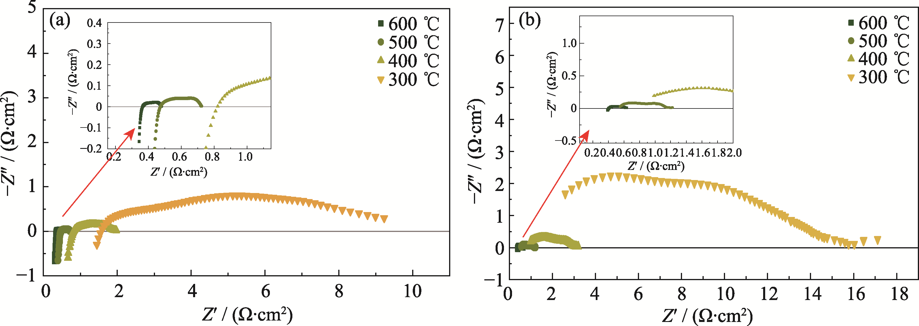
Table 2 Resistances under H2 and NH3 environments for PCMR (Ω·cm2)
| Temperature/℃ | H2 | NH3 | ||||
|---|---|---|---|---|---|---|
| Rtotal | RΩ | Rp | Rtotal | RΩ | Rp | |
| 600 | 0.48 | 0.37 | 0.11 | 0.67 | 0.44 | 0.23 |
| 500 | 0.72 | 0.47 | 0.25 | 1.28 | 0.61 | 0.67 |
| 400 | 1.98 | 0.81 | 1.17 | 3.31 | 1.09 | 2.22 |
| 300 | 9.23 | 1.54 | 7.69 | 17.31 | 2.80 | 14.51 |
| [13] |
LI Y F, ZHANG W S, REN J, et al. Ammonia decomposition for carbon-free hydrogen production over Ni/Al-Ce catalysts: synergistic effect between Al and Ce. Fuel, 2024, 358: 130176.
DOI URL |
| [14] |
BUONOMENNA M G. Proton-conducting ceramic membranes for the production of hydrogen via decarbonized heat: overview and prospects. Hydrogen, 2023, 4(4): 807.
DOI URL |
| [15] |
WANG H N, WANG X B, MENG B, et al. Perovskite-based mixed protonic-electronic conducting membranes for hydrogen separation: recent status and advances. Journal of Industrial and Engineering Chemistry, 2018, 60: 297.
DOI URL |
| [16] |
LI N N, ZARKADOULAS A, KYRIAKOU V. Opportunities and challenges for direct electrification of chemical processes with protonic ceramic membrane reactors. Progress in Energy, 2024, 6(4): 043007.
DOI |
| [17] |
LI F R, DUAN G X, WANG Z G, et al. Highly efficient recovery of hydrogen from dilute H2-streams using BaCe0.7Zr0.1Y0.2O3-δ/ Ni-BaCe0.7Zr0.1Y0.2O3-δ dual-layer hollow fiber membrane. Separation and Purification Technology, 2022, 287: 120602.
DOI URL |
| [18] |
WANG Q J, LUO T, TONG Y C, et al. Large-area protonic ceramic cells for hydrogen purification. Separation and Purification Technology, 2022, 295: 121301.
DOI URL |
| [19] |
TONG Y C, WANG Y, CUI C S, et al. Preparation and characterization of symmetrical protonic ceramic fuel cells as electrochemical hydrogen pumps. Journal of Power Sources, 2020, 457: 228036.
DOI URL |
| [20] |
LIANG M Z, SONG Y F, XIONG B C, et al. In situ exsolved CoFeRu alloy decorated perovskite as an anode catalyst layer for high-performance direct-ammonia protonic ceramic fuel cells. Advanced Functional Materials, 2024, 34(48): 2408756.
DOI URL |
| [21] | 曹希文, 罗凌虹, 曾小军, 等. 固体氧化物燃料电池Ni基阳极抗积碳的研究进展. 陶瓷学报, 2024, 45(1): 72. |
| [22] | 蓝海洋, 陈星余, 张博, 等. 固体氧化物直接氨燃料电池阳极材料的研究进展. 陶瓷学报, 2023, 44(6): 1078. |
| [23] |
PENG C X, ZHAO B X, MENG X, et al. Effect of NiO addition on the sintering and electrochemical properties of BaCe0.55Zr0.35Y0.1O3-δ proton-conducting ceramic electrolyte. Membranes, 2024, 14(3): 61.
DOI URL |
| [24] |
DANILOV N A, STAROSTINA I A, STAROSTIN G N, et al. Fundamental understanding and applications of protonic Y- and Yb-coped Ba(Ce, Zr)O3 perovskites: state-of-the-art and perspectives. Advanced Energy Materials, 2023, 13(47): 2302175.
DOI URL |
| [25] |
YANG Y M, LU J C, ZHANG X Y, et al. Symmetry-induced modulation of proton conductivity in Y-doped Ba(Zr, Ce)O3: insights from Raman spectroscopy. Journal of Materials Chemistry A, 2024, 12(21): 12599.
DOI URL |
| [26] |
ZHANG J H, LU X T, MAO H Y, et al. Effect of sintering additives on sintering behavior and conductivity of BaZr0.1Ce0.7Y0.2O3-δ electrolytes. Journal of Inorganic Materials, 2025, 40(1): 84.
DOI URL |
| [27] |
ZHU D C, LIU Z Q, ZHU C J, et al. Construction of a novel BaZr0.1Ce0.7Y0.2O3-δ-SnO2 heterojunction composite electrolyte for advanced semiconductor ion fuel cells operating at lower temperature down to 350 ℃. Chemical Engineering Journal, 2025, 505: 159368.
DOI URL |
| [28] |
HOU J, GONG J Y, BI L. Advancing cathodic electrocatalysis via an in situ generated dense active interlayer based on CuO5 pyramid-structured Sm2Ba1.33Ce0.67Cu3O9. Journal of Materials Chemistry A, 2022, 10(30): 15949.
DOI URL |
| [29] |
HOU J, DONG K, MIAO L N, et al. Rationally structuring proton-conducting solid oxide fuel cell anode with Ni metal catalyst and porous skeleton. Ceramics International, 2020, 46(15): 24038.
DOI URL |
| [30] |
ZHANG G J, CHEN T, GUO Z Z, et al. A 10 × 10 cm2 protonic ceramic electrochemical hydrogen pump for efficient and durable hydrogen purification. Chemical Engineering Journal, 2024, 495: 153521.
DOI URL |
| [31] |
CHOI J, SHIN M, KIM B, et al. High-performance ceramic composite electrodes for electrochemical hydrogen pump using protonic ceramics. International Journal of Hydrogen Energy, 2017, 42(18): 13092.
DOI URL |
| [32] | MUSHTAQ U, WELZEL S, SHARMA R K, et al. Development of electrode-supported proton conducting solid oxide cells and their evaluation as electrochemical hydrogen pumps. ACS Applied Materials & Interfaces, 2022, 14(34): 38938. |
| [1] |
SADEQ A M, HOMOD R Z, HUSSEIN A K, et al. Hydrogen energy systems: technologies, trends, and future prospects. Science of the Total Environment, 2024, 939: 173622.
DOI URL |
| [2] |
YUE M L, LAMBERT H, PAHON E, et al. Hydrogen energy systems: a critical review of technologies, applications, trends and challenges. Renewable and Sustainable Energy Reviews, 2021, 146: 111180.
DOI URL |
| [3] |
AGYEKUM E B, ODOI-YORKE F, ABBEY A A, et al. A review of the trends, evolution, and future research prospects of hydrogen fuel cells-a focus on vehicles. International Journal of Hydrogen Energy, 2024, 72: 918.
DOI URL |
| [4] |
LI N, ZHANG C, LI D, et al. Review of reactor systems for hydrogen production via ammonia decomposition. Chemical Engineering Journal, 2024, 495: 153125.
DOI URL |
| [5] |
ZAINAL N A, ZULKIFLI N W M, GULZAR M, et al. A review on the chemistry, production, and technological potential of bio-based lubricants. Renewable and Sustainable Energy Reviews, 2018, 82: 80.
DOI URL |
| [6] | LIANG D T, FENG C, XU L, et al. Promotion effects of different methods in COx-free hydrogen production from ammonia decomposition. Catalysis Science & Technology, 2023, 13(12): 3614. |
| [7] |
ZHANG X S, LIU Y T, WANG Y Y, et al. Self-assembled platinum-iridium alloy aerogels and their efficient electrocatalytic ammonia oxidation performance. Journal of Inorganic Materials, 2023, 38(5): 511.
DOI |
| [8] |
MUKHERJEE S, DEVAGUPTAPU S V, SVIRIPA A, et al. Low-temperature ammonia decomposition catalysts for hydrogen generation. Applied Catalysis B: Environmental, 2018, 226: 162.
DOI URL |
| [9] |
LIAN M L, SU J X, HUANG H Y, et al. Supported Ni catalysts from Ni-Mg-Al hydrotalcite-like compounds: preparation and catalytic performance for ammonia decomposition. Journal of Inorganic Materials, 2025, 40(1): 53.
DOI URL |
| [10] |
SUN S C, JIANG Q Q, ZHAO D Y, et al. Ammonia as hydrogen carrier: advances in ammonia decomposition catalysts for promising hydrogen production. Renewable and Sustainable Energy Reviews, 2022, 169: 112918.
DOI URL |
| [33] |
YUN J, XIONG G, KIM S, et al. Understanding direct-ammonia protonic ceramic fuel cells: high-performance in the absence of precious metal catalysts. ACS Energy Letters, 2024, 9(11): 5520.
DOI URL |
| [34] | ZHOU Y C, LIU E Z, CHEN Y, et al. An active and robust air electrode for reversible protonic ceramic electrochemical cells. ACS Energy Letters, 2021, 6(4): 1511. |
| [11] |
CECHETTO V, DI FELICE L, MARTINEZ G R, et al. Ultra-pure hydrogen production via ammonia decomposition in a catalytic membrane reactor. International Journal of Hydrogen Energy, 2022, 47(49): 21220.
DOI URL |
| [12] |
SHEN M H, AI F J, MA H L, et al. Progress and prospects of reversible solid oxide fuel cell materials. iScience, 2021, 24(12): 103464.
DOI URL |
| [1] | YAN Gongqin, WANG Chen, LAN Chunbo, HONG Yuxin, YE Weichao, FU Xianghui. Al-doped P2-type Na0.8Ni0.33Mn0.67-xAlxO2 as Cathode for Sodium-ion Batteries: Synthesis and Electrochemical Properties [J]. Journal of Inorganic Materials, 2025, 40(9): 1005-1012. |
| [2] | YANG Yan, ZHANG Faqiang, MA Mingsheng, WANG Yongzhe, OUYANG Qi, LIU Zhifu. Low Temperature Sintering of ZnAl2O4 Ceramics with CuO-TiO2-Nb2O5 Composite Oxide Sintering Aid [J]. Journal of Inorganic Materials, 2025, 40(6): 711-718. |
| [3] | JIANG Kun, LI Letian, ZHENG Mupeng, HU Yongming, PAN Qinxue, WU Chaofeng, WANG Ke. Research Progress on Low-temperature Sintering of PZT Ceramics [J]. Journal of Inorganic Materials, 2025, 40(6): 627-638. |
| [4] | YIN Changzhi, CHENG Mingfei, LEI Weicheng, CAI Yiyang, SONG Xiaoqiang, FU Ming, LÜ Wenzhong, LEI Wen. Effect of Ga3+ Doping on Crystal Structure Evolution and Microwave Dielectric Properties of SrAl2Si2O8 Ceramic [J]. Journal of Inorganic Materials, 2025, 40(6): 704-710. |
| [5] | LIAN Minli, SU Jiaxin, HUANG Hongyang, JI Yuyin, DENG Haifan, ZHANG Tong, CHEN Chongqi, LI Dalin. Supported Ni Catalysts from Ni-Mg-Al Hydrotalcite-like Compounds:Preparation and Catalytic Performance for Ammonia Decomposition [J]. Journal of Inorganic Materials, 2025, 40(1): 53-60. |
| [6] | JIANG Qiang, SHI Lizhi, CHEN Zhengran, ZHOU Zhiyong, LIANG Ruihong. Preparation and Properties of Hard PZT Piezoelectric Ceramics Poled above Curie Temperature and Multilayer Actuators [J]. Journal of Inorganic Materials, 2024, 39(10): 1091-1099. |
| [7] | KE Xin, XIE Bingqing, WANG Zhong, ZHANG Jingguo, WANG Jianwei, LI Zhanrong, HE Huijun, WANG Limin. Progress of Interconnect Materials in the Third-generation Semiconductor and Their Low-temperature Sintering of Copper Nanoparticles [J]. Journal of Inorganic Materials, 2024, 39(1): 17-31. |
| [8] | ZHANG Wanwen, LUO Jianqiang, LIU Shujuan, MA Jianguo, ZHANG Xiaoping, YANG Songwang. Zirconia Spacer: Preparation by Low Temperature Spray-coating and Application in Triple-layer Perovskite Solar Cells [J]. Journal of Inorganic Materials, 2023, 38(2): 213-218. |
| [9] | CHEN Hanxiang, ZHOU Min, MO Zhao, YI Jianjian, LI Huaming, XU Hui. 0D/2D CoN/g-C3N4 Composites: Structure and Photocatalytic Performance for Hydrogen Production [J]. Journal of Inorganic Materials, 2022, 37(9): 1001-1008. |
| [10] | MA Hui, TAO Jianghui, WANG Yanni, HAN Yu, WANG Yabin, DING Xiuping. Gold Nanoparticles Supported on Silica & Titania Hybrid Mesoporous Spheres and Their Catalytic Performance Regulation [J]. Journal of Inorganic Materials, 2022, 37(4): 404-412. |
| [11] | CHEN Yaling, SHU Song, WANG Shaoxin, LI Jianjun. Mn-HAP SCR Catalyst: Preparation and Sulfur Resistance [J]. Journal of Inorganic Materials, 2022, 37(10): 1065-1072. |
| [12] | ZHANG Yaping,LEI Yuxuan,DING Wenming,YU Lianqing,ZHU Shuaifei. Preparation and Photoelectrochemical Property of the Dual-ferroelectric Composited Material [J]. Journal of Inorganic Materials, 2020, 35(9): 987-992. |
| [13] | ZHENG Kun, LUO Yongchun, DENG Anqiang, YANG Yang, ZHANG Haiming. Microstructure and Electrochemical Property of A2B7-type La0.3Y0.7Ni3.4-xMnxAl0.1 Hydrogen Storage Alloys [J]. Journal of Inorganic Materials, 2020, 35(5): 549-555. |
| [14] | ZHANG Ya-Ping, DING Wen-Ming, ZHU Hai-Feng, HUANG Cheng-Xing, YU Lian-Qing, WANG Yong-Qiang, LI Zhe, XU Fei. Photoelectrochemical Properties of MoSe2 Modified TiO2 Nanotube Arrays [J]. Journal of Inorganic Materials, 2019, 34(8): 797-802. |
| [15] | CHENG Yi-Tian, QIU Wan-Qi, ZHOU Ke-Song, LIU Zhong-Wu, JIAO Dong-Ling, ZHONG Xi-Chun, ZHANG Hui. Low-temperature Deposition of α-Al2O3 Films by Reactive Sputtering Al+α-Al2O3 Target [J]. Journal of Inorganic Materials, 2019, 34(8): 862-866. |
| Viewed | ||||||
|
Full text |
|
|||||
|
Abstract |
|
|||||