Journal of Inorganic Materials ›› 2016, Vol. 31 ›› Issue (2): 153-158.DOI: 10.15541/jim20150352
• Orginal Article • Previous Articles Next Articles
ZHAO De-Rui1, ZHAI Ying-Jiao1, LI Jin-Hua1, CHU Xue-Ying1, XU Ming-Ze1, LI Xue2, FANG Xuan3, WEI Zhi-Peng3, WANG Xiao-Hua3
Received:2015-07-25
Revised:2015-09-21
Published:2016-02-20
Online:2016-01-15
About author:ZHAO De-Rui. E-mail:1173632619@qq.com
Supported by:CLC Number:
ZHAO De-Rui, ZHAI Ying-Jiao, LI Jin-Hua, CHU Xue-Ying, XU Ming-Ze, LI Xue, FANG Xuan, WEI Zhi-Peng, WANG Xiao-Hua. Preparation and Properties of Glucose Biosensor Based on Flower-like MoS2 Micrometer Material[J]. Journal of Inorganic Materials, 2016, 31(2): 153-158.
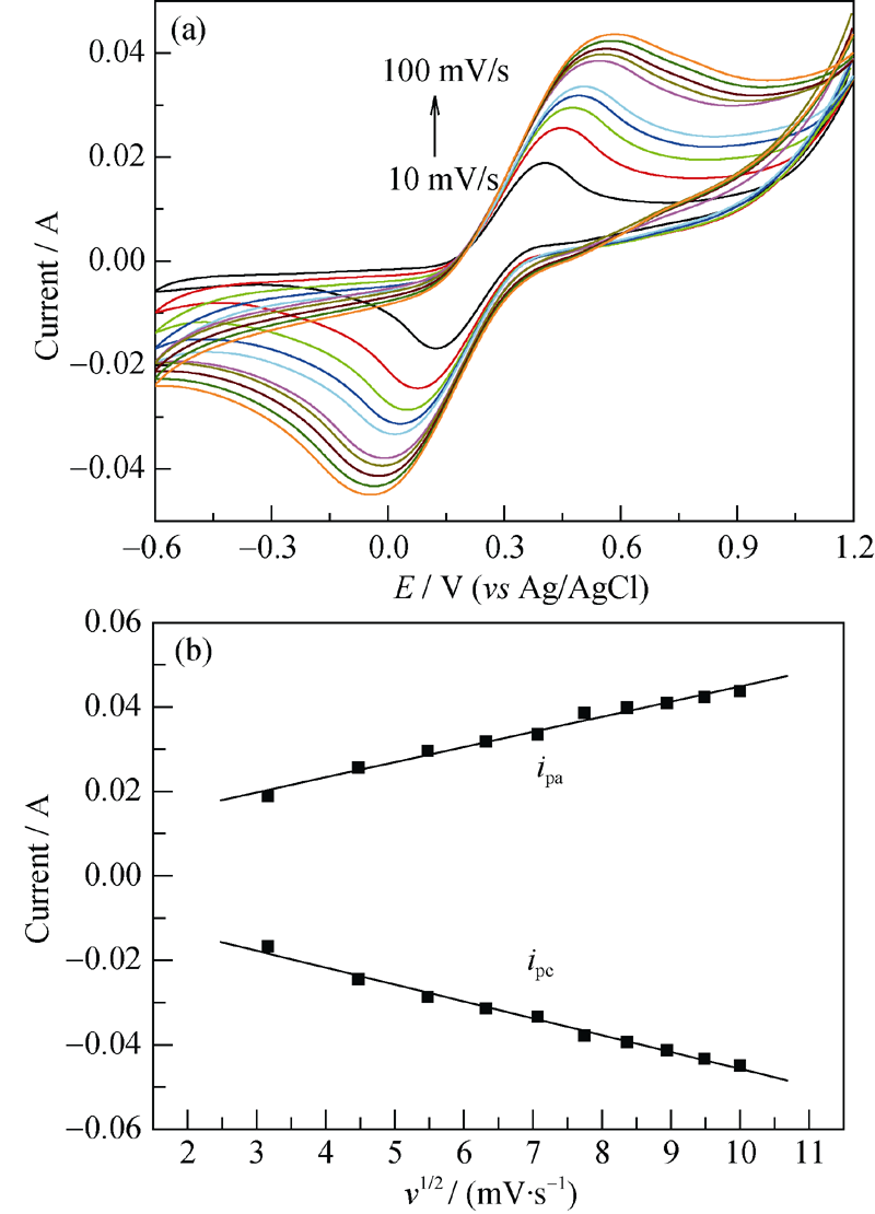
Fig. 4 Cyclic voltammetry curves (scan rate range 10-100 mV/s) (a) and redox peak current and scan rate of the square root of the linear fitting curve of MoS2 electrode (b)
Fig. 7 MoS2 electrode for glucose detection (a) MoS2 electrode detecting cyclic voltammetry curves of different concentrations of glucose solution; (b) Linear relationship diagram of glucose concentration and oxidation peak current
| [1] | JOSEPH WANG.Glucose biosensors: 40 years of advances and challenges.Electroanalysis, 2001, 13(12): 983-988. |
| [2] | WANG YIN ZHU, GU BIN, LI XIAO MO, et al.Research progress on composite materials used in nonenzymatic electrochemical biosensors. Materials Review, 2013, 27(6): 44-49. |
| [3] | CLARK L C, JR LYONS C.Electrode systems for continuous monitoring in cardiovascular surgery.Annals New York Academy of Sciences, 1962, 102: 29-45. |
| [4] | LIU QING, LU XIAN BO, LI JUN, et al.Direct electrochemistry of glucose oxidase and electrochemical biosensing of glucose on quantum dots/carbon nanotubes electrodes.Biosensors and Bioelectronics, 2007, 22(12): 3203-3209. |
| [5] | ZHANG YI HONG, XU WEN JING, YANG KUN.Progress in electrochemical biosensors.Journal of Integration Technology, 2014, 3(5): 19-27. |
| [6] | YANG JIANG WEI, LIANG XIN YI, ZHANG BO. Application of nanomaterials in non-enzyme glucose sensor. Materials Reviews, 2014 , 28(24): 93-97. |
| [7] | ZHONG GUANG XIAN, ZHANG WEN XIN, SUN YI MING, et al.A nonenzymatic amperometric glucose sensor based on three dimensional nanostructure gold electrode.Sensors and Actuators, 2015, 212: 72-77. |
| [8] | LI HUA, GUO CHUN YAN, XU CAI LING.A highly sensitive non-enzymatic glucose sensor based on bimetallic Cu-Ag superstructures.Biosensors and Bioelectronics, 2015, 63: 339-346. |
| [9] | GUO M Q, HONG H S, TANG X N, et al.Ultrasonic electrodeposition of platinum nanoflowers and their application in nonenzymatic glucose sensors.Electrochimica Acta, 2012, 63(29): 1-8. |
| [10] | LUO JING, JIANG SI SI, ZHANG HONG YAN, et al.A novel non-enzymatic glucose sensor based on Cu nanoparticle modified graphene sheets electrode.Analytica Chimica Acta, 2012, 709: 47-53. |
| [11] | YOU CHUN PING, WU ZHENG JUN, WANG YIN YU, et al.Proceedings of nanomaterials applied in electrochemical biosensors.Chemical Sensors, 2009, 29(3): 1-7. |
| [12] | HE JIE, CHEN KANG YE, LIN LA, et al.Eletrical properties of nano MoS2 thin film prepared by thermal evaporation deposition.Physics experimentation, 2013, 33(9): 1-5. |
| [13] | WU SHI XIN, ZENG ZHI YUAN, HE QI YUAN, et al.Electrochemically reduced single-layer MoS2 nanosheets: characterization, properties, and sensing applications.Small, 2012, 8(14): 2264-2270. |
| [14] | HUANG JING WEI, DONG ZHENG PING, LI YAN RONG, et al.MoS2 nanosheet functionalized with Cu nanoparticles and its application for glucose detection. Materials Research Bulletin, 2013, 48(11): 4544-4547. |
| [15] | HUANG KE JING, ZHANG JI ZONG, SHI GANG WEI, et al.Hydrothermal synthesis of molybdenum disulfide nanosheets as supercapacitors electrode material.Electrochimica Acta, 2014, 132(20): 397-403. |
| [16] | ZHOU XIAO PING, XU BIN, LIN ZHENG FENG, et al.Hydrothermal synthesis of flower-like MoS2 nanospheres for electrochemical supercapacitors. Journal of Nanoscience and Nanotechnology, 2014, 14(9): 7250-7254. |
| [17] | WANG TAN YUAN, ZHU HAI CHUAN, ZHUO JUN QIAO, et al.Biosensor based on ultrasmall MoS2 nanoparticles for electrochemical detection of H2O2 released by cells at the nanomolar level.Anal. Chem., 2013, 85(21): 10289-10295. |
| [18] | CUI YA RU, HE JIANG SHAN, LI KAI MAO. Influence of acidity on hydrothermal synthesis of nano-MoS2. Hot Working Technology, 2013, 42(6): 64-66. |
| [19] | LI XIAO LIN, LI YA DONG.Formation of MoS2 inorganic fullerenes (IFs) by the reaction of MoO3 nanobelts and S.Chem. Eur. J., 2003, 9(12): 2726-2731. |
| [20] | JYOTI R OTA, SUNEEL K SRIVASTAVA.A new hydrothermal route for synthesis of molybdenum disulphide nanorods and related nanostructures.Journal of Nanoscience and Nanotechnology, 2006, 6(1): 168-174. |
| [21] | WANG CONG.Synthesis and Lithium Storage Behavior of MoS2/Graphene as Anode Material for Lithium ion Batteries. Shanghai: East China University of Science And Technology, Master Thesis, 2014. |
| [22] | ZHANG ZHONG, ZHOU JIA BIN, WANG WEN WEN, et al.Hydrothermal synthesis of cross-linking porous and netlike α-Fe2O3 nanomaterials and its adsorption of p-nitrophenol.Industrial Water Treatment, 2012, 32(12): 38-41. |
| [23] | LI QI, HU XIAO NA, YANG QIAN, et al.Electrocapacitive performance of graphene/Co3O4 hybrid material prepared by a nanosheet assembly route.Electrochimica Acta, 2014, 119: 184-191. |
| [24] | ZHANG LING, ZHANG QIAN, LU XIAN BO, et al.Direct electrochemistry and electrocatalysis based on film of horseradish peroxidase intercalated into layered titanate nano-sheets.Biosensors and Bioelectronics, 2007, 23(1): 102-106. |
| [25] | ZHANG LING, ZHANG QIAN, LI JING HONG.Direct electrochemistry and electrocatalysis of hemoglobin immobilized in bimodal mesoporous silica and chitosan inorganic-organic hybrid film.Electrochemistry Communications, 2007, 9(7): 1530-1535. |
| [26] | DONG BIN, CHAI YONG MING, LIU YUN QI, et al.Hydrothermal synthesis and characterization of novel MoS2 nanoflowers directed by lonic liquid.Advanced Materials Research, 2011, 194(196): 785-789. |
| [27] | LI JING.Glucose Biosensor Based on ZnO Self-assembled Enzyme Electrode. Changchun: Changchun University of Science and Technology, Master Thesis, 2010. |
| [28] | WANG RUI.Study on Non-enzyme Glucose Sensor Modified by Pt-Pb Nanoflowers. Tianjin: Tianjin University, Master Thesis, 2010. |
| [29] | LU XIAN BO, WEN ZHEN HAI, LI JING HONG.Hydroxylcontaining antimony oxide bromide nanorods combined with chitosan for biosensors.Biomaterials, 2006, 27(33): 5740-5747. |
| [30] | GUO MEI QING.Fabrication and Study of Performance of Nonenzymatic Glucose Sensor Based on Pt-based Micro-nano Structure. Tianjin: Tianjin University, Doctoral Dissertation. 2012. |
| [1] | LI Yuejun, CAO Tieping, SUN Dawei. Bi4O5Br2/CeO2 Composite with S-scheme Heterojunction: Construction and CO2 Reduction Performance [J]. Journal of Inorganic Materials, 2023, 38(8): 963-970. |
| [2] | NIU Haibin, HUANG Jiahui, LI Qianwen, MA Dongyun, WANG Jinmin. Directly Hydrothermal Growth and Electrochromic Properties of Porous NiMoO4 Nanosheet Films [J]. Journal of Inorganic Materials, 2023, 38(12): 1427-1433. |
| [3] | LI Yanyan, PENG Yusi, LIN Chenglong, LUO Xiaoying, TENG Zheng, ZHANG Xi, HUANG Zhengren, YANG Yong. Nanomaterials and Biosensing Technology for the SARS-CoV-2 Detection [J]. Journal of Inorganic Materials, 2023, 38(1): 3-31. |
| [4] | YAO Yishuai, GUO Ruihua, AN Shengli, ZHANG Jieyu, CHOU Kuochih, ZHANG Guofang, HUANG Yarong, PAN Gaofei. In-situ Loaded Pt-Co High Index Facets Catalysts: Preparation and Electrocatalytic Performance [J]. Journal of Inorganic Materials, 2023, 38(1): 71-78. |
| [5] | LIU Yao, YOU Xunhai, ZHAO Bing, LUO Xiaoying, CHEN Xing. Functional Nanomaterials for Electrochemical SRAS-CoV-2 Biosensors: a Review [J]. Journal of Inorganic Materials, 2023, 38(1): 32-42. |
| [6] | ZHANG Xian, ZHANG Ce, JIANG Wenjun, FENG Deqiang, YAO Wei. Synthesis, Electronic Structure and Visible Light Photocatalytic Performance of Quaternary BiMnVO5 [J]. Journal of Inorganic Materials, 2022, 37(1): 58-64. |
| [7] | XIAO Yumin, Li Bin, QIN Lizhao, LIN Hua, LI Qing, LIAO Bin. Efficient Preparation of CuGeO3 with Controllable Morphology Using CuCl2 as Copper Source [J]. Journal of Inorganic Materials, 2021, 36(1): 69-74. |
| [8] | WANG Juhan,WEN Xiong,LIU Chengchao,ZHANG Yuhua,ZHAO Yanxi,LI Jinlin. Preparation and Fischer-Tropsch Synthesis Performance of Hierarchical Co/Al-SiO2 Catalyst [J]. Journal of Inorganic Materials, 2020, 35(9): 999-1004. |
| [9] | MA Bao-Kai, LI Mian, CHEONG Ling-Zhi, WENG Xin-Chu, SHEN Cai, HUANG Qing. Enzyme-MXene Nanosheets: Fabrication and Application in Electrochemical Detection of H2O2 [J]. Journal of Inorganic Materials, 2020, 35(1): 131-138. |
| [10] | XU Yun-Qing,WANG Hai-Zeng. Sodium Magnesium Fluoride Particles of Different Morphologies: Prepared by EDTA-assisted Hydrothermal Method [J]. Journal of Inorganic Materials, 2019, 34(9): 933-937. |
| [11] | GOU Sheng-Lian, NAI Xue-Ying, XIAO Jian-Fei, YE Jun-Wei, DONG Ya-Ping, LI Wu. Preparation and Thermal Decomposition of Basic Magnesium Chloride Whiskers [J]. Journal of Inorganic Materials, 2019, 34(7): 781-785. |
| [12] | Wei LIU, Kai ZHENG, Dong-Hong WANG, Yi-San LEI, Huai-Lin FAN. Co3O4 Nanowire Arrays@Activated Carbon Fiber Composite Materials: Facile Hydrothermal Synthesis and Its Electrochemical Application [J]. Journal of Inorganic Materials, 2019, 34(5): 487-492. |
| [13] | WANG Wei, LUO Shi-Jie, XIAN Cong, XIAO Qun, YANG Yang, OU Yun, LIU Yun-Ya, XIE Shu-Hong. Enhanced Thermoelectric Properties of Hydrothermal Synthesized BiCl3/Bi2S3 Composites [J]. Journal of Inorganic Materials, 2019, 34(3): 328-334. |
| [14] | JIANG Hai-Yan, XIA Yun-Sheng, LI Yu-Zhen. Preparation and Visible-light-driven Photocatalytic Performance of Porous Rod-like FeVO4 [J]. Journal of Inorganic Materials, 2018, 33(9): 949-955. |
| [15] | ZENG Yan-Fei, XIN Guo-Xiang, BULIN Chao-Ke, ZHANG Bang-Wen. One-step Preparation and Electrochemical Performance of 3D Reduced Graphene Oxide/NiO as Supercapacitor Electrodes Materials [J]. Journal of Inorganic Materials, 2018, 33(10): 1070-1076. |
| Viewed | ||||||
|
Full text |
|
|||||
|
Abstract |
|
|||||