李鹏1, 仇鹏飞2, 江彬彬1, 肖杰2, 史迅2
收稿日期:2025-06-23
修回日期:2025-08-11
作者简介:李 鹏(1995–), 男, 博士. E-mail: pengli@whu.edu.cn
基金资助:LI Peng1, QIU Pengfei2, JIANG Binbin1, XIAO Jie2, SHI Xun2
Received:2025-06-23
Revised:2025-08-11
About author:LI Peng (1995–), male, PhD. E-mail: pengli@whu.edu.cn
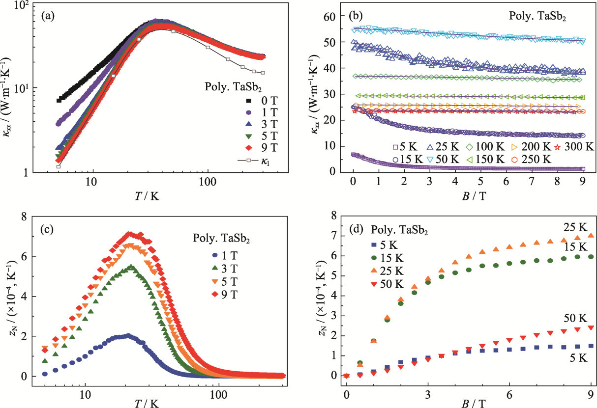
Supported by:摘要: 基于埃廷豪森效应的热磁制冷是一种低温固态制冷技术,具有控温精确、体积小、无振动、无噪音等优点。近年来,拓扑半金属因兼具电子与空穴两种载流子及高迁移率,在低温下表现出优异的热磁性能,成为潜在候选材料。本研究采用固相反应与放电等离子烧结工艺制备了高致密度多晶TaSb2,并系统测试其低温热磁输运性质。结果表明,多晶TaSb2能斯特热电势在27 K附近达到最大值,且表现出与磁场的正相关关系。多晶TaSb2在9 T和26 K时能斯特功率因子达到315.1 μW·cm-1·K-2,在9 T和22 K时能斯特热电优值达7.1×10-4 K-1,均优于大部分已报道的多晶热磁材料。机理分析发现,强双极效应、高载流子迁移率及显著的声子曳引效应共同提升了其热电势,从而赋予材料优异的热磁性能。此外,磁场可显著抑制低温下的电子热导率,导致磁场下总热导率主要来自于晶格贡献。本研究为低温固态制冷提供了新的材料选择和设计思路,得到的材料晶格热导率较高,在一定程度上限制了材料性能,未来通过声子工程降低晶格热导率有望进一步优化性能。
中图分类号:
李鹏, 仇鹏飞, 江彬彬, 肖杰, 史迅. 多晶TaSb2的热磁性能研究[J]. 无机材料学报, DOI: 10.15541/jim20250264.
LI Peng, QIU Pengfei, JIANG Binbin, XIAO Jie, SHI Xun. Thermomagnetic Performance of Polycrystalline TaSb2[J]. Journal of Inorganic Materials, DOI: 10.15541/jim20250264.
| [1] PEI Y, SHI X, LALONDE A, et al. Convergence of electronic bands for high performance bulk thermoelectrics. Nature, 2011, 473(7345): 66. [2] ZHANG J, LIU R, CHENG N, et al. High-performance pseudocubic thermoelectric materials from non-cubic chalcopyrite compounds. Advanced Materials, 2014, 26(23): 3848. [3] HEREMANS J P, JOVOVIC V, TOBERER E S, et al. Enhancement of thermoelectric efficiency in PbTe by distortion of the electronic density of states. Science, 2008, 321(5888): 554. [4] SHI X, YANG J, SALVADOR J R, et al. Multiple-filled skutterudites: high thermoelectric figure of merit through separately optimizing electrical and thermal transports. Journal of the American Chemical Society, 2011, 133(20): 7837. [5] XING T, SONG Q, QIU P, et al. High efficiency GeTe-based materials and modules for thermoelectric power generation. Energy & Environmental Science, 2021, 14(2): 995. [6] ZHANG Q, BAI S, CHEN L.Technologies and applications of thermoelectric devices: current status, challenges and prospects.Journal of Inorganic Materials, 2018, 34(3): 279. [7] QIU P, MAO T, HUANG Z, et al. High-efficiency and stable thermoelectric module based on liquid-like materials. Joule, 2019, 3(6): 1538. [8] GOLDSMID H J. Thermoelectric Refrigeration.Wembley: Plenum Press, 1964: 84-87. [9] ROWE D M.CRC Handbook of Thermoelectrics. Boca Raton: CRC Press LLC, 1995: 71-72. [10] YIM W·M, AMITH A.Bi-Sb alloys for magneto-thermoelectric and thermomagnetic cooling.Solid-State Electronics, 1972, 15(10): 1141. [11] CUFF K F, HORST R B, WEAVER J L, et al. The thermomagnetic figure of merit and ettingshausen cooling in Bi-Sb Alloys. Applied Physics Letters, 1963, 2(8): 145-146. [12] HEREMANS J P, THRUSH C M, MORELLI D T.Geometrical magnetothermopower in n- and p-type InSb.Physical Review B, 2001, 65(3): 035209. [13] ALI M N, XIONG J, FLYNN S, et al. Large, non-saturating magnetoresistance in WTe2. Nature, 2014, 514(7521): 205. [14] CHEN S S, LI X, LV Y Y, et al. Electrical, magneto-transport and significant thermoelectric properties of Te-rich ZrTe5+δ polycrystals. Journal of Alloys and Compounds, 2018, 764: 540-544. [15] SHEKHAR C, NAYAK A K, SUN Y, et al. Extremely large magnetoresistance and ultrahigh mobility in the topological Weyl semimetal candidate NbP. Nature Physics, 2015, 11(8): 645. [16] YANG X, BAI H, WANG Z, et al. Giant linear magneto-resistance in nonmagnetic PtBi2. Applied Physics Letters, 2016, 108(25): 252401. [17] XIANG J, HU S, LYU M, et al. Large transverse thermoelectric figure of merit in a topological Dirac semimetal. Science China Physics, Mechanics & Astronomy, 2019, 63(3): 237011. [18] WANG P, CHO C, TANG F, et al. Giant Nernst effect and field-enhanced transversal zNT in ZrTe5. Physical Review B, 2021, 103(4): 045203. [19] FU C, GUIN S N, SCAFFIDI T, et al. Largely suppressed magneto-thermal conductivity and enhanced magneto-thermoelectric properties in PtSn4. Research, 2020, 2020: 4643507. [20] CHEN Z, ZHANG X, REN J, et al. Leveraging bipolar effect to enhance transverse thermoelectricity in semimetal Mg2Pb for cryogenic heat pumping. Nature Communications, 2021, 12: 3837. [21] WANG H, ZHOU Z, YING J, et al. Large magneto-transverse and longitudinal thermoelectric effects in the magnetic Weyl semimetal TbPtBi. Advanced Materials, 2023, 35(2): 2206941. [22] LI P, QIU P, XU Q, et al. Colossal Nernst power factor in topological semimetal NbSb2. Nature Communications, 2022, 13(1): 7612. [23] WATZMAN S J, MCCORMICK T M, SHEKHAR C,#magtechI#et al. Dirac dispersion generates unusually large Nernst effect in Weyl semimetals. Physical Review B, 2018, 97(16): 161404(R). [24] WU S, WANG X, MI X, et al. Large transverse thermoelectric power factor in topological semimetal NbAs2. Advanced Energy Materials, 2024, 14(29): 2400184. [25] HU H, FENG X, PAN Y, et al. Multipocket synergy towards high thermoelectric performance in topological semimetal TaAs2. Nature Communications, 2025, 16(1): 119. [26] PAN Y, HE B, HELM T, et al. Ultrahigh transverse thermoelectric power factor in flexible Weyl semimetal WTe2. Nature Communications, 2022, 13: 3909. [27] LIU W, WANG Z, WANG J, et al. Weyl semimetal states generated extraordinary quasi-linear magnetoresistance and Nernst thermoelectric power factor in polycrystalline NbP. Advanced Functional Materials, 2022, 32(28): 2202143. [28] FU C, GUIN S N, WATZMAN S J, et al. Large Nernst power factor over a broad temperature range in polycrystalline Weyl semimetal NbP. Energy & Environmental Science, 2018, 11(10): 2813. [29] FENG T, WANG P, HAN Z, et al. Large transverse and longitudinal magneto-thermoelectric effect in polycrystalline nodal-line semimetal Mg3Bi2. Advanced Materials, 2022, 34(19): 2200931. [30] FENG T, WANG P, HAN Z, et al. Giant transverse thermoelectric effect induced by topological transition in polycrystalline Dirac semimetal Mg3Bi2. Energy & Environmental Science, 2023, 16(4): 1560. [31] LI P, QIU P, XIAO J, et al. A giant Nernst power factor and figure-of-merit in polycrystalline NbSb2 for Ettingshausen refrigeration. Energy & Environmental Science, 2023, 16(9): 3753. [32] LI Y, LI L, WANG J, et al. Resistivity plateau and negative magnetoresistance in the topological semimetal TaSb2. Physical Review B, 2016, 94(12): 121115. [33] MAO J, ZHU H, DING Z, et al. High thermoelectric cooling performance of n-type Mg3Bi2-based materials. Science, 2019, 365(6452): 495. [34] LIU H, SHI X, XU F, et al. Copper ion liquid-like thermoelectrics. Nature Materials, 2012, 11(5): 422. [35] GUO L, LIU Y K, GAO G Y, et al. Extreme magnetoresistance and SdH oscillation in compensated semimetals of NbSb2 single crystals. Journal of Applied Physics, 2018, 123(15): 155103. [36] BEHNIA K, AUBIN H.Nernst effect in metals and superconductors: a review of concepts and experiments.Reports on Progress in Physics, 2016, 79(4): 046502. [37] HARVEY GOULD J T. Statistical and Thermal Physics: With Computer Applications. Princeton: Princeton University Press, 2010: 322. [38] DELVES R T.Thermomagnetic effects in semiconductors and semimetals.Reports on Progress in Physics, 1965, 28(1): 249. [39] KAGAN V D, RED'KO N A, RODIONOV N A, et al. Phonon drag thermopower in doped bismuth. Physics of the Solid State, 2004, 46(8): 1410. [40] KIMURA M, HE X, KATASE T, et al. Large phonon drag thermopower boosted by massive electrons and phonon leaking in LaAlO3/LaNiO3/LaAlO3 heterostructure. Nano Letters, 2021, 21(21): 9240. [41] HAN F, ANDREJEVIC N, NGUYEN T, et al. Quantized thermoelectric Hall effect induces giant power factor in a topological semimetal. Nature Communications, 2020, 11(1): 6167. [42] OCAñA R, ESQUINAZI P. Thermal conductivity tensor in YBa2Cu3O7-x: effects of a planar magnetic field. Physical Review B, 2002, 66(6): 064525. [43] ZHANG S, WANG X, BAI Q,et al. Measuring lattice thermal conductivity of Bi1-xSbx enabled by external magnetic field. Materials Today Physics, 2024, 45: 101460. |
| [1] | 陈相杰, 李玲, 雷添福, 王佳佳, 汪尧进. 相界工程和畴工程调控(1-x)(0.8PZT-0.2PZN)-xBZT陶瓷的压电性能[J]. 无机材料学报, 2025, 40(6): 729-734. |
| [2] | 苏浩健, 周敏, 李来风. 多元素掺杂优化SnTe的热电性能[J]. 无机材料学报, 2024, 39(10): 1159-1166. |
| [3] | 张志民, 葛敏, 林翰, 施剑林. 新型磁电催化纳米粒子的活性氮释放与抗菌性能研究[J]. 无机材料学报, 2024, 39(10): 1114-1124. |
| [4] | 赵雅文, 屈发进, 汪岩屹, 王智文, 陈初升. 基于硅酸铝纤维的柔性氧敏感元件的制备和性能[J]. 无机材料学报, 2024, 39(10): 1084-1090. |
| [5] | 沈浩, 陈倩倩, 周渤翔, 唐晓东, 张媛媛. A位La/Sr共掺杂PbZrO3薄膜的制备及储能特性优化[J]. 无机材料学报, 2024, 39(9): 1022-1028. |
| [6] | 程俊, 张家伟, 仇鹏飞, 陈立东, 史迅. P掺杂β-FeSi2材料的制备与热电输运性能[J]. 无机材料学报, 2024, 39(8): 895-902. |
| [7] | 黄洁, 汪刘应, 王滨, 刘顾, 王伟超, 葛超群. 基于微纳结构设计的电磁性能调控研究进展[J]. 无机材料学报, 2024, 39(8): 853-870. |
| [8] | 郑斌, 康凯, 张青, 叶昉, 解静, 贾研, 孙国栋, 成来飞. 前驱体转化陶瓷法制备Ti3SiC2陶瓷及其热稳定性研究[J]. 无机材料学报, 2024, 39(6): 733-740. |
| [9] | 陈浩, 樊文浩, 安德成, 陈少平. 能带优化和载流子调控改善SnTe的热电性能[J]. 无机材料学报, 2024, 39(3): 306-312. |
| [10] | 邓顺桂, 张传芳. 多功能MXene油墨:面向印刷能源及电子器件的新视角[J]. 无机材料学报, 2024, 39(2): 195-203. |
| [11] | 张瑞阳, 王壹, 欧博文, 周莹. α-Ni(OH)2表面羟基协同Ni3+位点催化氧化甲醛机理研究[J]. 无机材料学报, 2023, 38(10): 1216-1222. |
| [12] | 汪波, 余健, 李存成, 聂晓蕾, 朱婉婷, 魏平, 赵文俞, 张清杰. Gd/Bi0.5Sb1.5Te3热电磁梯度复合材料的服役稳定性[J]. 无机材料学报, 2023, 38(6): 663-670. |
| [13] | 齐占国, 刘磊, 王守志, 王国栋, 俞娇仙, 王忠新, 段秀兰, 徐现刚, 张雷. GaN单晶的HVPE生长与掺杂进展[J]. 无机材料学报, 2023, 38(3): 243-255. |
| [14] | 俞瑞仙, 王国栋, 王守志, 胡小波, 徐现刚, 张雷. 高温退火对PVT法生长的AlN晶体质量的影响[J]. 无机材料学报, 2023, 38(3): 343-349. |
| [15] | 张文君, 赵雪莹, 吕江维, 曲有鹏. 中空有序介孔有机硅的研究进展: 制备及在肿瘤治疗中的应用[J]. 无机材料学报, 2022, 37(11): 1192-1202. |
| 阅读次数 | ||||||
|
全文 |
|
|||||
|
摘要 |
|
|||||