Journal of Inorganic Materials ›› 2026, Vol. 41 ›› Issue (4): 486-492.DOI: 10.15541/jim20250344

• RESEARCH ARTICLE • Previous Articles     Next Articles

Effects of Working Pressure on the Structure and Electrical Properties of AlScN Thin Films

SUI Jinyang1(), ZHOU Dayu1(), ZHAO Wenjin1, TONG Yi2, WANG Xinpeng2   

  1. 1 School of Materials Science and Engineering, Dalian University of Technology, Dalian 116024, China
    2 Suzhou Laboratory, Suzhou 215123, China
  • Received:2025-08-22 Revised:2025-10-04 Published:2026-04-20 Online:2025-10-31
  • Contact: ZHOU Dayu, professor. E-mail: zhoudayu@dlut.edu.cn
  • About author:SUI Jinyang (1998-), female, PhD candidate. E-mail: 2020sjy@mail.dlut.edu.cn
  • Supported by:
    National Natural Science Foundation of China(52472120);Fundamental Research Funds for the Central Universities of China(DUT24LAB117);Suzhou Laboratory Project(SK-1202-2024-012)

Abstract:

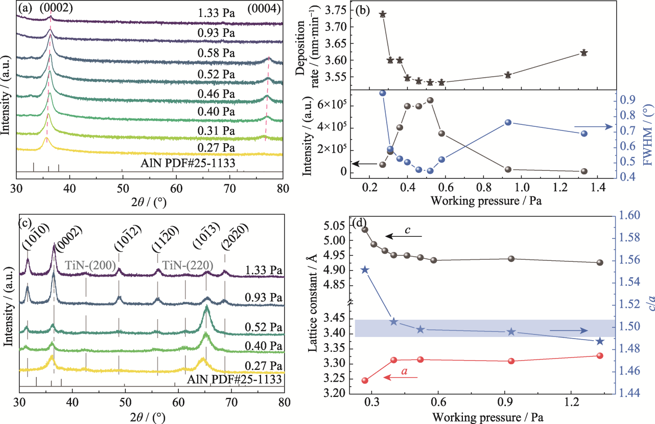
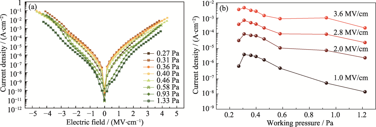
Since ferroelectric properties of Al1-xScxN thin films were experimentally confirmed in 2019, wurtzite-structured ferroelectric materials have received worldwide attention. However, the strong dependence of their ferroelectric performance on deposition parameters still remains a significant challenge, limiting their reliable integration into practical device applications. This study aims to systematically investigate the influence of sputtering working pressure on microstructural evolution and resultant ferroelectric properties of Al1-xScxN thin films. The primary goal is to identify the optimal pressure window that yields superior ferroelectric performance and to understand the underlying structure-property relationships. Al0.71Sc0.29N thin films were deposited on silicon substrates using reactive magnetron sputtering in a pure nitrogen atmosphere, and experienced the working pressure varied from 0.27 Pa to 1.33 Pa. The correlation between crystal structure, surface morphology, and ferroelectric properties of the thin film was analyzed. The results showed that the working pressure significantly affected crystallization quality of Al0.71Sc0.29N thin films, among which prepared under 0.52 Pa had the best crystallization quality and excellent ferroelectric properties. As the working pressure increased, the pyramid-like structures began to appear on surface of the film and gradually increased, while the static leakage current also gradually decreased. This work conclusively demonstrates that sputtering working pressure is one of the decisive factors in tuning microstructure and ferroelectricity of Al1-xScxN films. The correlation between working pressure-induced morphological changes and leakage current suppression offers valuable insights for engineering high-performance wurtzite ferroelectric devices.

Key words: AlScN film, working pressure, micro structure, ferroelectric property

CLC Number: