Journal of Inorganic Materials ›› 2025, Vol. 40 ›› Issue (12): 1425-1432.DOI: 10.15541/jim20250041
• RESEARCH LETTER • Previous Articles Next Articles
ZHENG Yuanshun1(
), YU Jian2(
), YE Xianfeng1, LIANG Dong1, ZHU Wanting1, NIE Xiaolei1, WEI Ping1, ZHAO Wenyu1(
), ZHANG Qingjie1
Received:2025-02-02
Revised:2025-04-13
Published:2025-12-20
Online:2025-04-27
Contact:
YU Jian, associate professor. E-mail: yujian@jju.edu;About author:ZHENG Yuanshun (1999-), male, Master candidate. E-mail: yszheng@whut.edu.cn
Supported by:CLC Number:
ZHENG Yuanshun, YU Jian, YE Xianfeng, LIANG Dong, ZHU Wanting, NIE Xiaolei, WEI Ping, ZHAO Wenyu, ZHANG Qingjie. Boosting the Thermoelectric Performance of Full-Heusler Fe2VAl Alloy via Substituting Al Site with V[J]. Journal of Inorganic Materials, 2025, 40(12): 1425-1432.
Fig. 1 Crystal structure and phase composition obtained from XRD analysis (a) L21, B2, and A2 type crystal structures of Fe2VAl; (b) Powder XRD patterns of all Fe2V1+xAl1-x materials; (c) Changes of the diffraction peak of (220) plane with the doping amount increasing; (d) XRD Rietveld refinement result of V15; (e) Lattice parameter of all Fe2V1+xAl1-x materials obtained through Rietveld refinement
Fig. 2 Backscattered electron images and EDS mappings of selected Fe2V1+xAl1-x alloys (a-c) Backscattered electron images of (a) V00, (b) V12, and (c) V18; (d-f) EDS elemental mappings of V18
| Nom. Comp. | EDS Comp. | n/(×1020, cm-3) | μ/(cm2·V-1·s-1) | Nom. Comp. | EDS Comp. | n/(×1020, cm-3) | μ/(cm2·V-1·s-1) |
|---|---|---|---|---|---|---|---|
| Fe2VAl | Fe2V1.02Al | 3.5 | 11.5 | Fe2V1.12Al0.88 | Fe2V1.14Al0.87 | -29.6 | 5.9 |
| Fe2V1.03Al0.97 | Fe2V1.05Al0.95 | -10.0 | 10.1 | Fe2V1.15Al0.85 | Fe2V1.16Al0.82 | -57.8 | 4.7 |
| Fe2V1.06Al0.94 | Fe2V1.07Al0.91 | -13.7 | 13.4 | Fe2V1.18Al0.82 | Fe2V1.19Al0.81 | -59.5 | 4.2 |
| Fe2V1.09Al0.91 | Fe2V1.11Al0.90 | -35.5 | 3.8 | Fe2V1.21Al0.79 | Fe2V1.24Al0.77 | -86.0 | 2.7 |
Table 1 Nominal compositions, EDS-measured compositions, carrier concentrations, and carrier mobilities of Fe2V1+xAl1-x alloys at 300 K
| Nom. Comp. | EDS Comp. | n/(×1020, cm-3) | μ/(cm2·V-1·s-1) | Nom. Comp. | EDS Comp. | n/(×1020, cm-3) | μ/(cm2·V-1·s-1) |
|---|---|---|---|---|---|---|---|
| Fe2VAl | Fe2V1.02Al | 3.5 | 11.5 | Fe2V1.12Al0.88 | Fe2V1.14Al0.87 | -29.6 | 5.9 |
| Fe2V1.03Al0.97 | Fe2V1.05Al0.95 | -10.0 | 10.1 | Fe2V1.15Al0.85 | Fe2V1.16Al0.82 | -57.8 | 4.7 |
| Fe2V1.06Al0.94 | Fe2V1.07Al0.91 | -13.7 | 13.4 | Fe2V1.18Al0.82 | Fe2V1.19Al0.81 | -59.5 | 4.2 |
| Fe2V1.09Al0.91 | Fe2V1.11Al0.90 | -35.5 | 3.8 | Fe2V1.21Al0.79 | Fe2V1.24Al0.77 | -86.0 | 2.7 |
Fig. 3 Band structure and total density of states (TDOS) diagrams of the Fe2V1+xAl1-x alloys (a-c) Energy band structure diagrams for (a) V00, (b) V06 and (c) V15; (d) Corresponding TDOS diagram showing the rigid band shift of the Fermi level caused by doping
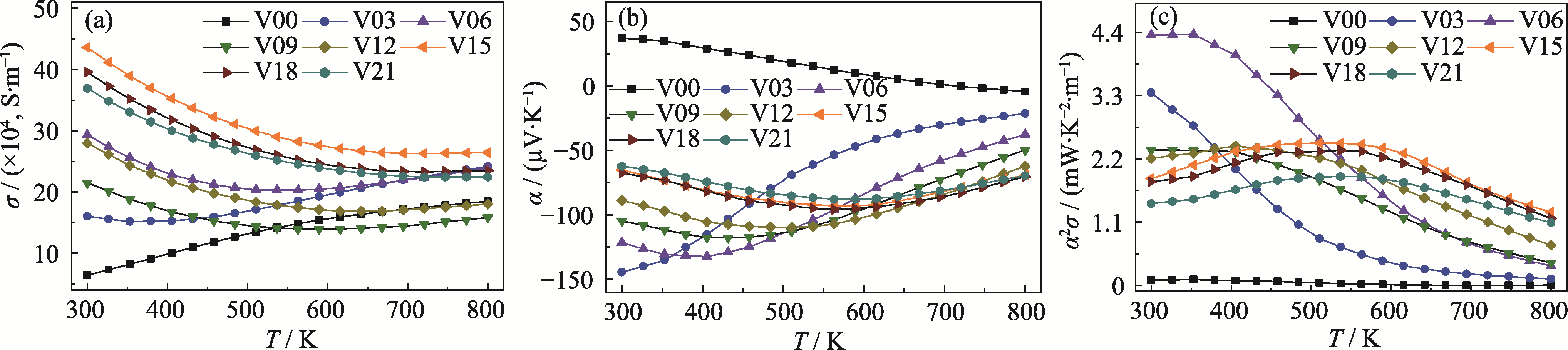
Fig. 4 Temperature dependence of (a) electrical conductivity, (b) Seebeck coefficient, and (c) power factor for all Fe2V1+xAl1-x materials in the temperature range of 300-800 K
Fig. 5 Temperature dependence of (a) thermal conductivity, (b) electronic thermal conductivity, (c) lattice thermal conductivity, and (d) zT for all Fe2V1+xAl1-x alloys in the temperature range of 300-800 K
| [1] |
YANG G S, SANG L A, ZHANG C, et al. The role of spin in thermoelectricity. Nature Reviews Physics, 2023, 5(8): 466.
DOI |
| [2] | KIM H S, LIU W S, REN Z F. The bridge between the materials and devices of thermoelectric power generators. Energy & Environmental Science, 2017, 10(1): 69. |
| [3] |
PEI Y, SHI X, LALONDE A, et al. Convergence of electronic bands for high performance bulk thermoelectrics. Nature, 2011, 473(7345): 66.
DOI |
| [4] |
HEREMANS J P, JOVOVIC V, TOBERER E S, et al. Enhancement of thermoelectric efficiency in PbTe by distortion of the electronic density of states. Science, 2008, 321(5888): 554.
DOI PMID |
| [5] |
LABORATORY M, LIMITED D I, MIYUKIGAOKA. Improvement of the efficiency of thermoelectric energy conversion by utilizing potential barriers. Japanese Journal of Applied Physics, 1997, 36(1): 170.
DOI |
| [6] |
ZHAO L D, LO S H, ZHANG Y, et al. Ultralow thermal conductivity and high thermoelectric figure of merit in SnSe crystals. Nature, 2014, 508(7496): 373.
DOI |
| [7] |
LAN Y C, MINNICH A J, CHEN G, et al. Enhancement of thermoelectric figure-of-merit by a bulk nanostructuring approach. Advanced Functional Materials, 2010, 20(3): 357.
DOI URL |
| [8] |
MAHAN G D, SOFO J O. The best thermoelectric. Proceedings of the National Academy of Sciences of the United States of America, 1996, 93(15): 7436.
PMID |
| [9] | TAVARES S S, YANG K S, MEYERS M A. Heusler alloys: past, properties, new alloys, and prospects. Progress in Materials Science, 2023, 137: 101017. |
| [10] |
GRAF T, FELSER C, PARKIN S S P. Simple rules for the understanding of Heusler compounds. Progress in Solid State Chemistry, 2011, 39(1): 1.
DOI URL |
| [11] |
VAN DER REST C, DUPONT V, ERAUW J P, et al. On the reactive sintering of Heusler Fe2VAl-based thermoelectric compounds. Intermetallics, 2020, 125: 106890.
DOI URL |
| [12] |
HARI S R, SRINIVAS V, LI C R, et al. Thermoelectric properties of rare-earth doped Fe2VAl Heusler alloys. Journal of Physics- Condensed Matter, 2020, 32(35): 355706.
DOI URL |
| [13] |
KAWAHARADA Y, KUROSAKI K. Thermophysical properties of Fe2VAl. Journal of Alloys and Compounds, 2003, 352(1/2): 48.
DOI URL |
| [14] |
SHAMIM S K, DEVI P, SINGH S, et al. Thermoelectric properties of Fe2VAl in the temperature range 300-800 K: a combined experimental and theoretical study. Physica B-Condensed Matter, 2024, 673: 415496.
DOI URL |
| [15] |
HINTERLEITNER B, KNAPP I, PONEDER M, et al. Thermoelectric performance of a metastable thin-film Heusler alloy. Nature, 2019, 576(7785): 85.
DOI |
| [16] |
GARMROUDI F, PARZER M, RISS A, et al. Solubility limit and annealing effects on the microstructure & thermoelectric properties of Fe2V1-xTaxAl1-ySiy Heusler compounds. Acta Materialia, 2021, 212: 116867.
DOI URL |
| [17] | FUKUTA K, TSUCHIYA K, MIYAZAKI H, et al. Improving thermoelectric performance of Fe2VAl-based Heusler compounds via high-pressure torsion. Applied Physics A: Materials Science & Processing, 2022, 128(3): 184. |
| [18] |
ALLENO E. Review of the thermoelectric properties in nanostructured Fe2VAl. Metals, 2018, 8(11): 864.
DOI URL |
| [19] |
ALLENO E, DIACK-RASSELIO A, NOUTACK M S T. Optimization of the thermoelectric properties in self-substituted Fe2VAl. Physical Review Materials, 2023, 7(7): 075403.
DOI URL |
| [20] |
MIYAZAKI H, TANAKA S, IDE N, et al. Thermoelectric properties of Heusler-type off-stoichiometric Fe2V1+xAl1-x alloys. Materials Research Express, 2014, 1(1): 015901.
DOI URL |
| [21] |
DIACK-RASSELIO A, ROULEAU O, COULOMB L, et al. Influence of self-substitution on the thermoelectric Fe2VAl Heusler alloy. Journal of Alloys and Compounds, 2022, 920: 166037.
DOI URL |
| [22] |
GARMROUDI F, PARZER M, RISS A, et al. Anderson transition in stoichiometric Fe2VAl: high thermoelectric performance from impurity bands. Nature Communications, 2022, 13: 3599.
DOI |
| [23] |
CUI X, FENG Z, JIN Y. AutoFP: a GUI for highly automated Rietveld refinement using an expert system algorithm based on FullProf. Journal of Applied Crystallography, 2015, 48(5): 1581.
DOI URL |
| [24] |
PERDEW J P, RUZSINSZKY A, CSONKA G I, et al. Exchange and correlation in open systems of fluctuating electron number. Physical Review A, 2007, 76(4): 040501.
DOI URL |
| [25] | SHAM L J, KOHN W. One-particle properties of an inhomogeneous interacting electron gas. Physical Review B, 1966, 145(2): 561. |
| [26] |
MAIER S, DENIS S, ADAM S, et al. Order-disorder transitions in the Fe2VAl Heusler alloy. Acta Materialia, 2016, 121: 126.
DOI URL |
| [27] |
HINTERLEITNER B, GARMROUDI F, REUMANN N, et al. The electronic pseudo band gap states and electronic transport of the full-Heusler compound Fe2VAl. Journal of Materials Chemistry C, 2021, 9(6): 2073.
DOI URL |
| [28] |
OKAMURA H, KAWAHARA J, NANBA T, et al. Pseudogap formation in the intermetallic compounds (Fe1-xVx)3Al. Physical Review Letters, 2000, 84(16): 3674.
PMID |
| [29] |
NISHINO Y, KATO M, ASANO S, et al. Semiconductor-like behavior of electrical resistivity in Heusler-type Fe2VAl compound. Physical Review Letters, 1997, 79(10): 1909.
DOI URL |
| [30] |
KNAPP I, BUDINSKA B, MILOSAVLJEVIC D, et al. Impurity band effects on transport and thermoelectric properties of Fe2-xNixVAl. Physical Review B, 2017, 96(4): 045204.
DOI URL |
| [31] |
GARMROUDI F, RUSS A, PARZER M, et al. Boosting the thermoelectric performance of Fe2VAl-type Heusler compounds by band engineering. Physical Review B, 2021, 103(8): 085202.
DOI URL |
| [32] | SHIN W H, ROH J W, RYU B, et al. Enhancing thermoelectric performances of bismuth antimony telluride via synergistic combination of multiscale structuring and band alignment by FeTe2 Incorporation. ACS Applied Materials & Interfaces, 2018, 10(4): 3689. |
| [33] |
KIM H S, GIBBS Z M, TANG Y L. Characterization of Lorenz number with Seebeck coefficient measurement. APL Materials, 2015, 3(4): 041506.
DOI URL |
| [34] |
YE X F, YU J, KE S Q, et al. Excellent thermoelectric performance of Fe2NbAl alloy induced by strong crystal anharmonicity and high band degeneracy. npj Quantum Materials, 2024, 9(1): 60.
DOI |
| [1] | YUAN Wang, HU Jianbao, ZHOU Liang, KAN Yanmei, ZHANG Xiangyu, DONG Shaoming. Effect of Argon Atmosphere Heat Treatment on Mechanical Properties and Microstructural Evolution of Shicolon-II SiC Fibers [J]. Journal of Inorganic Materials, 2026, 41(1): 119-128. |
| [2] | HAN Weiwei, HUANG Dong, LI Tingsong, LI Jiang. Sm:LuAG/Nd:LuAG Composite Laser Ceramics with Cladding Structure: Fabrication and Properties [J]. Journal of Inorganic Materials, 2026, 41(1): 113-118. |
| [3] | WU Huaxin, ZHANG Qihao, YAN Haixue, WANG Lianjun, JIANG Wan. Optimization of Thermoelectric Transport Properties in Nanocomposite MgAgSb-based Alloys [J]. Journal of Inorganic Materials, 2025, 40(9): 997-1004. |
| [4] | ZHONG Weimin, ZHAO Ke, WANG Kewei, LIU Dianguang, LIU Jinling, AN Linan. Effect of Oscillatory Pressure Amplitude on Microstructures and Wear Resistance of Tungsten Carbide [J]. Journal of Inorganic Materials, 2025, 40(9): 964-970. |
| [5] | MU Haojie, ZHANG Yuanjiang, YU Bin, FU Xiumei, ZHOU Shibin, LI Xiaodong. Preparation and Properties of ZrO2 Doped Y2O3-MgO Nanocomposite Ceramics [J]. Journal of Inorganic Materials, 2025, 40(3): 281-289. |
| [6] | FAN Wugang, CAO Xiong, ZHOU Xiang, LI Ling, ZHAO Guannan, ZHANG Zhaoquan. Anticorrosion Performance of 8YSZ Ceramics in Simulated Aqueous Environment of Pressurized Water Reactor [J]. Journal of Inorganic Materials, 2024, 39(7): 803-809. |
| [7] | CHEN Qian, SU Haijun, JIANG Hao, SHEN Zhonglin, YU Minghui, ZHANG Zhuo. Progress of Ultra-high Temperature Oxide Ceramics: Laser Additive Manufacturing and Microstructure Evolution [J]. Journal of Inorganic Materials, 2024, 39(7): 741-753. |
| [8] | JIANG Lingyi, PANG Shengyang, YANG Chao, ZHANG Yue, HU Chenglong, TANG Sufang. Preparation and Oxidation Behaviors of C/SiC-BN Composites [J]. Journal of Inorganic Materials, 2024, 39(7): 779-786. |
| [9] | ZHENG Yawen, ZHANG Cuiping, ZHANG Ruijie, XIA Qian, RU Hongqiang. Fabrication of Boron Carbide Ceramic Composites by Boronic Acid Carbothermal Reduction and Silicon Infiltration Reaction Sintering [J]. Journal of Inorganic Materials, 2024, 39(6): 707-714. |
| [10] | XUE Yifan, LI Weijie, ZHANG Zhongwei, PANG Xu, LIU Yu. Process Control of PyC Interphases Microstructure and Uniformity in Carbon Fiber Cloth [J]. Journal of Inorganic Materials, 2024, 39(4): 399-408. |
| [11] | SUN Chuan, HE Pengfei, HU Zhenfeng, WANG Rong, XING Yue, ZHANG Zhibin, LI Jinglong, WAN Chunlei, LIANG Xiubing. SiC-based Ceramic Materials Incorporating GNPs Array: Preparation and Mechanical Characterization [J]. Journal of Inorganic Materials, 2024, 39(3): 267-273. |
| [12] | ZHENG Jiaqian, LU Xiao, LU Yajie, WANG Yingjun, WANG Zhen, LU Jianxi. Functional Bioadaptability in Medical Bioceramics: Biological Mechanism and Application [J]. Journal of Inorganic Materials, 2024, 39(1): 1-16. |
| [13] | WANG Bo, YU Jian, LI Cuncheng, NIE Xiaolei, ZHU Wanting, WEI Ping, ZHAO Wenyu, ZHANG Qingjie. Service Stability of Gd/Bi0.5Sb1.5Te3 Thermo-electro-magnetic Gradient Composites [J]. Journal of Inorganic Materials, 2023, 38(6): 663-670. |
| [14] | HE Danqi, WEI Mingxu, LIU Ruizhi, TANG Zhixin, ZHAI Pengcheng, ZHAO Wenyu. Heavy-Fermion YbAl3 Materials: One-step Synthesis and Enhanced Thermoelectric Performance [J]. Journal of Inorganic Materials, 2023, 38(5): 577-582. |
| [15] | WU Shuang, GOU Yanzi, WANG Yongshou, SONG Quzhi, ZHANG Qingyu, WANG Yingde. Effect of Heat Treatment on Composition, Microstructure and Mechanical Property of Domestic KD-SA SiC Fibers [J]. Journal of Inorganic Materials, 2023, 38(5): 569-576. |
| Viewed | ||||||
|
Full text |
|
|||||
|
Abstract |
|
|||||