Journal of Inorganic Materials ›› 2025, Vol. 40 ›› Issue (11): 1261-1267.DOI: 10.15541/jim20250018
• RESEARCH ARTICLE • Previous Articles Next Articles
HU Qinghao1(
), LIU Xingchong1(
), PENG Yongshan1, HOU Mengjun1, HE Tanggui2, TANG Anmin2
Received:2025-01-13
Revised:2025-05-05
Published:2025-11-20
Online:2025-05-22
Contact:
LIU Xingchong, associate professor. E-mail: liuxingchong@126.comAbout author:HU Qinghao (1998-), female, Master candidate. E-mail: 2073147278@qq.com
Supported by:CLC Number:
HU Qinghao, LIU Xingchong, PENG Yongshan, HOU Mengjun, HE Tanggui, TANG Anmin. Effect of Acesulfame Potassium Modified SnO2 Electron Transport Layer on Performance of Perovskite Solar Cells[J]. Journal of Inorganic Materials, 2025, 40(11): 1261-1267.
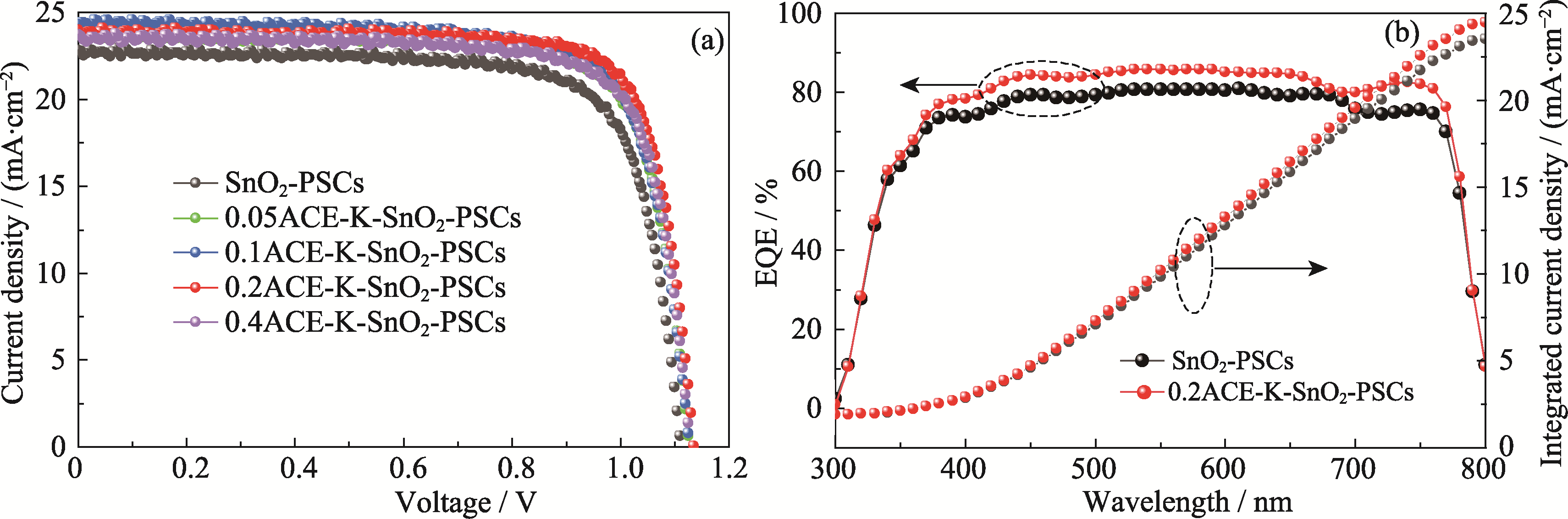
| x | VOC/V | JSC/(mA·cm-2) | PCE/% | FF/% |
|---|---|---|---|---|
| 0 | 1.112 | 22.85 | 19.27 | 75.90 |
| 0.05 | 1.127 | 23.84 | 20.68 | 77.00 |
| 0.1 | 1.128 | 24.32 | 20.87 | 76.10 |
| 0.2 | 1.135 | 23.97 | 21.60 | 79.30 |
| 0.4 | 1.129 | 23.71 | 20.72 | 77.40 |
Table 1 Photovoltaic parameters of champion xACE-K-SnO2-PSCs
| x | VOC/V | JSC/(mA·cm-2) | PCE/% | FF/% |
|---|---|---|---|---|
| 0 | 1.112 | 22.85 | 19.27 | 75.90 |
| 0.05 | 1.127 | 23.84 | 20.68 | 77.00 |
| 0.1 | 1.128 | 24.32 | 20.87 | 76.10 |
| 0.2 | 1.135 | 23.97 | 21.60 | 79.30 |
| 0.4 | 1.129 | 23.71 | 20.72 | 77.40 |
Fig. 8 (a) Current stability curves during 100 s, (b) long-term stability curves and (c) humidity stability curves of SnO2-PSCs and 0.2ACE-K-SnO2-PSCs
| Sample | Rs/Ω | Rct/Ω | Rrec/Ω | C1/(×10-9, F) | C2/(×10-8, F) |
|---|---|---|---|---|---|
| SnO2-PSCs | 23.3 | 53972 | 136090 | 5.0 | 8.52 |
| 0.2ACE-K-SnO2-PSCs | 17.79 | 38465 | 154690 | 3.96 | 6.7 |
Table S1 Fitting data for EIS curves
| Sample | Rs/Ω | Rct/Ω | Rrec/Ω | C1/(×10-9, F) | C2/(×10-8, F) |
|---|---|---|---|---|---|
| SnO2-PSCs | 23.3 | 53972 | 136090 | 5.0 | 8.52 |
| 0.2ACE-K-SnO2-PSCs | 17.79 | 38465 | 154690 | 3.96 | 6.7 |
| [1] |
JEONG J, KIM M, SEO J, et al. Pseudo-halide anion engineering for α-FAPbI3 perovskite solar cells. Nature, 2021, 592(7854): 381.
DOI |
| [2] |
LIU Z H, QIU L B, ONO L K, et al. A holistic approach to interface stabilization for efficient perovskite solar modules with over 2,000-hour operational stability. Nature Energy, 2020, 5(8): 596.
DOI |
| [3] |
BU T L, LI J, LI H Y, et al. Lead halide-templated crystallization of methylamine-free perovskite for efficient photovoltaic modules. Science, 2021, 372(6548): 1327.
DOI PMID |
| [4] |
KOJIMA A, TESHIMA K, SHIRAI Y, et al. Organometal halide perovskites as visible-light sensitizers for photovoltaic cells. Journal of the American Chemical Society, 2009, 131(17): 6050.
DOI PMID |
| [5] | NREL. Best research-cell efficiency chart. [2025-05-05]. https://www.nrel.gov/pv/cell-efficiency.html. |
| [6] |
ZHANG H L, JI X, YAO H Y, et al. Review on efficiency improvement effort of perovskite solar cell. Solar Energy, 2022, 233: 421.
DOI URL |
| [7] |
HAGHIGHI M, GHAZYANI N, MAHMOODPOUR S, et al. Low-temperature processing methods for tin oxide as electron transporting layer in scalable perovskite solar cells. Solar RRL, 2023, 7(10): 2201080.
DOI URL |
| [8] |
TROST S, BEHRENDT A, BECKER T, et al. Tin oxide (SnOx) as universal "light-soaking" free electron extraction material for organic solar cells. Advanced Energy Materials, 2015, 5(17): 1500277.
DOI URL |
| [9] |
ZHANG J J, FU J F, CHEN Q Y, et al. 3,5-Difluorophenylboronic acid-modified SnO2 as ETLs for perovskite solar cells: PCE>22.3%, T82>3000 h. Chemical Engineering Journal, 2022, 433: 133744.
DOI URL |
| [10] |
ALTINKAYA C, AYDIN E, UGUR E, et al. Tin oxide electron- selective layers for efficient, stable, and scalable perovskite solar cells. Advanced Materials, 2021, 33(15): 2005504.
DOI URL |
| [11] |
GODINHO K G, WALSH A, WATSON G W. Energetic and electronic structure analysis of intrinsic defects in SnO2. Journal of Physical Chemistry C, 2009, 113(1): 439.
DOI URL |
| [12] |
PARIDA B, JIN I S, JUNG J W. Dual passivation of SnO2 by tetramethylammonium chloride for high-performance CsPbI2Br- based inorganic perovskite solar cells. Chemistry of Materials, 2021, 33(15): 5850.
DOI URL |
| [13] | DONG H Y, WANG J L, LI X Y, et al. Modifying SnO2 with polyacrylamide to enhance the performance of perovskite solar cells. ACS Applied Materials & Interfaces, 2022, 14(29): 34143. |
| [14] |
XIA H R, LI X, ZHOU J Y, et al. Interfacial chemical bridge constructed by zwitterionic sulfamic acid for efficient and stable perovskite solar cells. ACS Applied Energy Materials, 2020, 3(4): 3186.
DOI URL |
| [15] | CHOI K, LEE J, KIM H I, et al. Thermally stable, planar hybrid perovskite solar cells with high efficiency. Energy & Environmental Science, 2018, 11(11): 3238. |
| [16] |
YANG D, YANG R X, WANG K, et al. High efficiency planar- type perovskite solar cells with negligible hysteresis using EDTA- complexed SnO2. Nature Communications, 2018, 9: 3239.
DOI |
| [17] |
FU P, HUANG L Q, YU W, et al. Efficiency improved for inverted polymer solar cells with electrostatically self-assembled BenMelm- Cl ionic liquid layer as cathode interface layer. Nano Energy, 2015, 13: 275.
DOI URL |
| [18] |
HUANG X K, HU Z Y, XU J, et al. Low-temperature processed SnO2 compact layer by incorporating TiO2 layer toward efficient planar heterojunction perovskite solar cells. Solar Energy Materials and Solar Cells, 2017, 164: 87.
DOI URL |
| [19] |
AN Z Q, CHEN S Y, LU T, et al. Interfacial modification via aniline molecules with multiple active sites for performance enhancement of n-i-p perovskite solar cells. Journal of Materials Chemistry C, 2023, 11(37): 12750.
DOI URL |
| [20] |
BI H, GUO Y, GUO M N, et al. Highly efficient and low hysteresis methylammonium-free perovskite solar cells based on multifunctional oteracil potassium interface modification. Chemical Engineering Journal, 2022, 439: 135671.
DOI URL |
| [21] |
BOB B, SONG T B, CHEN C C, et al. Nanoscale dispersions of gelled SnO2: material properties and device applications. Chemistry of Materials, 2013, 25(23): 4725.
DOI URL |
| [22] |
HUANG H, CUI P, CHEN Y, et al. 24.8%-efficient planar perovskite solar cells via ligand-engineered TiO2 deposition. Joule, 2022, 6(9): 2186.
DOI URL |
| [23] |
PENG X, LU H L, ZHUANG J, et al. Enhanced performance of perovskite solar cells using DNA-doped mesoporous-TiO2 as electron transporting layer. Solar Energy, 2020, 206: 855.
DOI URL |
| [24] |
YOU S, ZENG H P, KU Z L, et al. Multifunctional polymer-regulated SnO2 nanocrystals enhance interface contact for efficient and stable planar perovskite solar cells. Advanced Materials, 2020, 32(43): 2003990.
DOI URL |
| [25] |
QIU Z W, GONG H B, ZHENG G H J, et al. Enhanced physical properties of pulsed laser deposited NiO films via annealing and lithium doping for improving perovskite solar cell efficiency. Journal of Materials Chemistry C, 2017, 5(28): 7084.
DOI URL |
| [26] |
ZHAO S H, QIN M C, WANG H, et al. Cascade type-II 2D/3D perovskite heterojunctions for enhanced stability and photovoltaic efficiency. Solar RRL, 2020, 4(10): 2000282.
DOI URL |
| [27] | MA Z, ZHOU W Y, HUANG D J, et al. Nicotinamide as additive for microcrystalline and defect passivated perovskite solar cells with 21.7% efficiency. ACS Applied Materials & Interfaces, 2020, 12(47): 52500. |
| [28] |
LIU W, LIU N J, JI S L, et al. Perfection of perovskite grain boundary passivation by rhodium incorporation for efficient and stable solar cells. Nano-Micro Letters, 2020, 12(1): 119.
DOI PMID |
| [29] |
YANG Z R, XIE J S, ARIVAZHAGAN V, et al. Efficient and highly light stable planar perovskite solar cells with graphene quantum dots doped PCBM electron transport layer. Nano Energy, 2017, 40: 345.
DOI URL |
| [1] | SUN Jing, LI Xiang, MAO Xiaojian, ZHANG Jian, WANG Shiwei. Effect of Lauric Acid Modifier on the Hydrolysis Resistance of Aluminum Nitride Powders [J]. Journal of Inorganic Materials, 2025, 40(7): 826-832. |
| [2] | CHEN Yi, QIU Haipeng, CHEN Mingwei, XU Hao, CUI Heng. SiC/SiC Composite: Matrix Boron Modification and Mechanical Properties [J]. Journal of Inorganic Materials, 2025, 40(5): 504-510. |
| [3] | MU Shuang, MA Qin, ZHANG Yu, SHEN Xu, YANG Jinshan, DONG Shaoming. Oxidation Behavior of Yb2Si2O7 Modified SiC/SiC Mini-composites [J]. Journal of Inorganic Materials, 2025, 40(3): 323-328. |
| [4] | LI Yongfeng, GU Yuping, SHI Guangzhao, HU Jiulin, LEI Meng, PENG Hui, ZENG Yuping, LI Chilin. Interface Regulation of Electrochemical Potential in NASICON-type Ceramic Solid-state Batteries [J]. Journal of Inorganic Materials, 2025, 40(11): 1201-1211. |
| [5] | XIAO Zichen, HE Shihao, QIU Chengyuan, DENG Pan, ZHANG Wei, DAI Weideren, GOU Yanzhuo, LI Jinhua, YOU Jun, WANG Xianbao, LIN Liangyou. Nanofiber-modified Electron Transport Layer for Perovskite Solar Cells [J]. Journal of Inorganic Materials, 2024, 39(7): 828-834. |
| [6] | CAI Heqing, HAN Lu, YANG Songsong, XUE Xinyu, ZHANG Kou, SUN Zhicheng, LIU Ruping, HU Kun, WEI Yan. Fe3O4-DMSA-PEI Magnetic Nanoparticles with Small Particle Size: Preparation and Gene Loading [J]. Journal of Inorganic Materials, 2024, 39(5): 517-524. |
| [7] | ZHANG Hui, XU Zhipeng, ZHU Congtan, GUO Xueyi, YANG Ying. Progress on Large-area Organic-inorganic Hybrid Perovskite Films and Its Photovoltaic Application [J]. Journal of Inorganic Materials, 2024, 39(5): 457-466. |
| [8] | CHEN Tian, LUO Yuan, ZHU Liu, GUO Xueyi, YANG Ying. Organic-inorganic Co-addition to Improve Mechanical Bending and Environmental Stability of Flexible Perovskite Solar Cells [J]. Journal of Inorganic Materials, 2024, 39(5): 477-484. |
| [9] | YU Man, GAO Rongyao, QIN Yujun, AI Xicheng. Influence of Upconversion Luminescent Nanoparticles on Hysteresis Effect and Ion Migration Kinetics in Perovskite Solar Cells [J]. Journal of Inorganic Materials, 2024, 39(4): 359-366. |
| [10] | LIU Suolan, LUAN Fuyuan, WU Zihua, SHOU Chunhui, XIE Huaqing, YANG Songwang. In-situ Growth of Conformal SnO2 Layers for Efficient Perovskite Solar Cells [J]. Journal of Inorganic Materials, 2024, 39(12): 1397-1403. |
| [11] | ZHOU Zezhu, LIANG Zihui, LI Jing, WU Congcong. Preparation of MAPbI3 Perovskite Solar Cells/Module via Volatile Solvents [J]. Journal of Inorganic Materials, 2024, 39(11): 1197-1204. |
| [12] | LI Qianyuan, LI Jiwei, ZHANG Yuhan, LIU Yankang, MENG Yang, CHU Yu, ZHU Yijia, XU Nuoyan, ZHU Liang, ZHANG Chuanxiang, TAO Haijun. Enhanced Photovoltaic Performance of Perovskite Solar Cells by PbTiO3 Modification and Polarization Treatment [J]. Journal of Inorganic Materials, 2024, 39(11): 1205-1211. |
| [13] | ZHOU Yunkai, DIAO Yaqi, WANG Minglei, ZHANG Yanhui, WANG Limin. First-principles Calculation Study of the Oxidation Resistance of PANI Modified Ti3C2(OH)2 [J]. Journal of Inorganic Materials, 2024, 39(10): 1151-1158. |
| [14] | HAN Xu, YAO Hengda, LYU Mei, LU Hongbo, ZHU Jun. Application of Single-molecule Liquid Crystal Additives in CH(NH2)2PbI3 Perovskite Solar Cells [J]. Journal of Inorganic Materials, 2023, 38(9): 1097-1102. |
| [15] | FANG Wanli, SHEN Lili, LI Haiyan, CHEN Xinyu, CHEN Zongqi, SHOU Chunhui, ZHAO Bin, YANG Songwang. Effect of Film Formation Processes of NiOx Mesoporous Layer on Performance of Perovskite Solar Cells with Carbon Electrodes [J]. Journal of Inorganic Materials, 2023, 38(9): 1103-1109. |
| Viewed | ||||||
|
Full text |
|
|||||
|
Abstract |
|
|||||