Journal of Inorganic Materials ›› 2016, Vol. 31 ›› Issue (2): 148-152.DOI: 10.15541/jim20150341
• Orginal Article • Previous Articles Next Articles
TONG Yan-Wei1, ZHANG Xue-Feng2, FANG Min-Xian2
Received:2015-07-20
Revised:2015-09-22
Published:2016-02-20
Online:2016-01-15
Supported by:CLC Number:
TONG Yan-Wei, ZHANG Xue-Feng, FANG Min-Xian. Structures and Electrochemical Properties of V2Ti0.5Cr0.5Ni1-xMox(x=0.02-0.08) Ni/MH Battery Anode Materials[J]. Journal of Inorganic Materials, 2016, 31(2): 148-152.
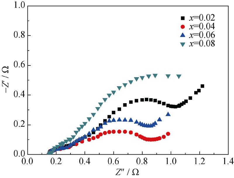
| Sample | (C20/Cmax)/% | I0/(mA·g-1) | D/(×1011, cm2·s-1) |
|---|---|---|---|
| x=0.02 | 80.4 | 54 | 5.0 |
| x=0.04 | 85.0 | 68 | 6.8 |
| x=0.06 | 81.5 | 60 | 5.9 |
| x=0.08 | 79.4 | 38 | 4.7 |
Table 1 Electrochemical parameters of V2Ti0.5Cr0.5Ni1-xMox (x=0.02-0.08) electrodes
| Sample | (C20/Cmax)/% | I0/(mA·g-1) | D/(×1011, cm2·s-1) |
|---|---|---|---|
| x=0.02 | 80.4 | 54 | 5.0 |
| x=0.04 | 85.0 | 68 | 6.8 |
| x=0.06 | 81.5 | 60 | 5.9 |
| x=0.08 | 79.4 | 38 | 4.7 |
| [1] | IWAKURA C, OHKAWA K, SENOH H, et al.A Co-free AB5-type hydrogen storage alloy for nickel-metal hydride batteries: LmNi4.0Al0.3Si0.1Fe0.6.Electrochem. Soc., 2002, 149(4): 462-465. |
| [2] | YOUNG K, WONG D F, NEI J, et al.Electrochemical properties of hypo-stoichiometric Y-doped AB2 metal hudride alloys at ultra- low temperature.Journal of Alloys& Compounds, 2015, 643(11): 17-27. |
| [3] | LV Y J, ZHANG B, WU Y.Effect of Ni content on microstructural evolution and hydrogen storage properties of Mg-xNi-3La (x=5, 10, 15, 20at%) alloys.Journal of Alloys & Compounds, 2015, 641(5): 176-180. |
| [4] | IWAKURA C, CHOI W K, MIYAUCHO R, et al.Electrochemical and structural characterization of Ti-V-Ni hydrogen storage alloy with BCC structure.Journal of the Electrochemical Society, 2000, 147: 2503-2506. |
| [5] | HANG Z M, XIAO X Z, LI S Q, et al.Influence of heat treatment on the microstructure and hydrogen storage property of Ti10V77Cr6Fe6Zr alloy.Journal of Alloys & Compounds, 2012, 529: 128-133. |
| [6] | WANG Y Z, ZHAO M S, CHEN X Y.Structure and electrochemical characteristics of Ti-V-based solid solution La-Mg-based alloy composite hydrogen storage material.Rare Metal Materials and Engineering, 2013, 42(1): 64-69. |
| [7] | INOUE H S, KOYAMA S S, HIGUCHI E J.Charge-discharge performance of Cr-substituted V-based hydrogen storage alloy negative electrodes for use in nickel-metal hydride batteries.Electrochimica Acta, 2012, 59: 23-31. |
| [8] | WANG Y, ZHAO M S.Electrochemical hydrogen storage characteristics of Ti0.1Zr0.15V0.35Cr0.1Ni0.3-10%LaNi3 composite and its synergetic effect.Transactions of Nonferrous Metals Society of China, 2012, 22: 2000-2006. |
| [9] | BENDERSKY L A, WANG K, LEVIN I, et al.Ti2.5Zr2.1Cr8.5MnxCo1.5Ni46.5-x AB2-type metal hydride alloys for electrochemical storage application: Part 1. Structural characteristics.Power Sources, 2012, 218: 474-486. |
| [10] | NEI J, YOUNG K, SALLEY S O, et al.Effects of annealing on Zr8Ni19X2(X=Ni, Mg, Al, Sc, V, Mn, Co, Sn, La and Hf): structural characteristics.Journal of Alloys & Compounds, 2012, 516: 144-152. |
| [11] | NEI J, YOUNG K, SALLEY S O, et al.Effects of annealing on Zr8Ni19X2 (X=Ni, Mg, Al, Sc, V, Mn, Co, Sn, La, and Hf): hydrogen storage and electrochemical properties. Int. J. Hydrogen Energy, 2012, 37: 8418-8427. |
| [12] | YU X B, WU Z, XIA B J, et al.The activation mechanism of Ti-V-based hydrogen storage alloys.Journal of Alloys & Compounds, 2004, 375: 221-223. |
| [13] | LI P, HOU Z H, YANG T, et al.Structure and electrochemicl hydrogen storage characteristics of the as-cast and anneled La0.8-xSmxMg0.2Ni3.15Co0.2Al0.1Si0.05(x=0-0.4) alloys.Journal of Rare Earth, 2012, 30(7): 696-704. |
| [14] | LEE H J, YANG D C, PARK C J, et al.Effects of surface modifications of the LmNi3.9Co0.6Mn0.3Al0.2 alloy in a KOH/NaBH4 solution upon its electrode characteristics within a Ni-MH secondary battery.Int. J. Hydrogen Energy, 2009, 34: 481-486. |
| [15] | LI S C, ZHOU M S, WANG L M, et al.Structures and electrochemical characteristics of Ti0.26Zr0.07V0.24Mn0.1Ni0.33Mox (x=0-0.1) hydrogen storage alloys.Materials science and Engineering B, 2008, 150: 168-174. |
| [16] | YEH M T, BEIBUTIAN V M, HSU S E. Effect of Mo additive on hydrogen absorption of rare-earth based hydrogen storage alloy. Journal of Alloys & Compounds, 1999, 293-295: 721-723. |
| [17] | KURIYAMA N, TSUKAHARA M, TAKAHASHI K, et al.Deterioration behavior of a multi-phase V-based solid solution alloy electrode.Journal of Alloys and Compounds, 2003, 356: 738-741. |
| [18] | NOTTEN P H L, HOKKELING P. Double-phase hydride forming compounds: a new class of highly electrocatalytic materials.Electrochem. Soc., 1991, 138(7): 1877-1885. |
| [19] | LIU W Q, YOSHITERU K, LIANG F, et al.A composite based on Fe substituted TiVNi alloy: synthesis, structure and electrochemical hydrogen storage property.Intermetallics, 2013, 34: 18-22. |
| [1] | XIAO Wenyan, FU Yan, YANG Shubin, ZHU Jie, CHENG Zhaoyang, WEN Xiaoxu, TANG Jiafan, YU Liang, ZHANG Qian. Seawater Electrolysis Performance of Self-supported Amorphous Ce-FeHPi/NF Electrode [J]. Journal of Inorganic Materials, 2024, 39(12): 1348-1356. |
| [2] | HU Mengfei, HUANG Liping, LI He, ZHANG Guojun, WU Houzheng. Research Progress on Hard Carbon Anode for Li/Na-ion Batteries [J]. Journal of Inorganic Materials, 2024, 39(1): 32-44. |
| [3] | JIANG Yiyi, SHEN Min, SONG Banxia, LI Nan, DING Xianghuan, GUO Leyi, MA Guoqiang. Effect of Dual-functional Electrolyte Additive on High Temperature and High Voltage Performance of Li-ion Battery [J]. Journal of Inorganic Materials, 2022, 37(7): 710-716. |
| [4] | WANG Yutong, ZHANG Feifan, XU Naicai, WANG Chunxia, CUI Lishan, HUANG Guoyong. Research Progress of LiTi2(PO4)3 Anode for Aqueous Lithium-ion Batteries [J]. Journal of Inorganic Materials, 2022, 37(5): 481-492. |
| [5] | WANG Jing, XU Shoudong, LU Zhonghua, ZHAO Zhuangzhuang, CHEN Liang, ZHANG Ding, GUO Chunli. Hollow-structured CoSe2/C Anode Materials: Preparation and Sodium Storage Properties for Sodium-ion Batteries [J]. Journal of Inorganic Materials, 2022, 37(12): 1344-1350. |
| [6] | LI Kunru, HU Xinghui, ZHANG Zhengfu, GUO Yuzhong, HUANG Ruian. Three-dimensional Porous Biogenic Si/C Composite for High Performance Lithium-ion Battery Anode Derived from Equisetum Fluviatile [J]. Journal of Inorganic Materials, 2021, 36(9): 929-935. |
| [7] | ZENG Fanxin, LIU Chuang, CAO Yuliang. Sodium Storage Behavior of Nanoporous Sb/MCNT Anode Material with High Cycle Stability by Dealloying Route [J]. Journal of Inorganic Materials, 2021, 36(11): 1137-1144. |
| [8] | ZHANG Yaping,LEI Yuxuan,DING Wenming,YU Lianqing,ZHU Shuaifei. Preparation and Photoelectrochemical Property of the Dual-ferroelectric Composited Material [J]. Journal of Inorganic Materials, 2020, 35(9): 987-992. |
| [9] | ZHAN Jing,XU Changfan,LONG Yiyu,LI Qihou. Bi2Mn4O10: Preparation by Polyacrylamide Gel Method and Electrochemical Performance [J]. Journal of Inorganic Materials, 2020, 35(7): 827-833. |
| [10] | XIA Tian, MENG Xie, LUO Ting, ZHAN Zhongliang. La 3+-substituted Sr2Fe1.5Ni0.1Mo0.4O6-δ as Anodes for Solid Oxide Fuel Cells [J]. Journal of Inorganic Materials, 2020, 35(5): 617-622. |
| [11] | ZHENG Kun, LUO Yongchun, DENG Anqiang, YANG Yang, ZHANG Haiming. Microstructure and Electrochemical Property of A2B7-type La0.3Y0.7Ni3.4-xMnxAl0.1 Hydrogen Storage Alloys [J]. Journal of Inorganic Materials, 2020, 35(5): 549-555. |
| [12] | ZHU Zeyang,WEI Jishi,HUANG Jianhang,DONG Xiangyang,ZHANG Peng,XIONG Huanming. Preparation of ZnO Nanorods with Lattice Vacancies and Their Application in Ni-Zn Battery [J]. Journal of Inorganic Materials, 2020, 35(4): 423-430. |
| [13] | ZHENG Shiyou, DONG Fei, PANG Yuepeng, HAN Pan, YANG Junhe. Research Progress on Nanostructured Metal Oxides as Anode Materials for Li-ion Battery [J]. Journal of Inorganic Materials, 2020, 35(12): 1295-1306. |
| [14] | GUO Si-Lin, KANG Shuai, LU Wen-Qiang. Ge Nanoparticles in MXene Sheets: One-step Synthesis and Highly Improved Electrochemical Property in Lithium-ion Batteries [J]. Journal of Inorganic Materials, 2020, 35(1): 105-111. |
| [15] | ZHANG Ya-Ping, DING Wen-Ming, ZHU Hai-Feng, HUANG Cheng-Xing, YU Lian-Qing, WANG Yong-Qiang, LI Zhe, XU Fei. Photoelectrochemical Properties of MoSe2 Modified TiO2 Nanotube Arrays [J]. Journal of Inorganic Materials, 2019, 34(8): 797-802. |
| Viewed | ||||||
|
Full text |
|
|||||
|
Abstract |
|
|||||