Journal of Inorganic Materials ›› 2026, Vol. 41 ›› Issue (4): 455-461.DOI: 10.15541/jim20250299
• RESEARCH ARTICLE • Previous Articles Next Articles
GONG Huan1(
), ZHANG Xu1,2, ZHANG Xiaofeng3, LI Bei1,2(
), LIU Kai1
Received:2025-07-17
Revised:2025-09-15
Published:2026-04-20
Online:2025-09-27
Contact:
LI Bei, associate professor. E-mail: libei@whut.edu.cnAbout author:GONG Huan (1997-), male, Master candidate. E-mail: 1252744637@qq.com
Supported by:CLC Number:
GONG Huan, ZHANG Xu, ZHANG Xiaofeng, LI Bei, LIU Kai. Machine Learning Potential Development and High-temperature Property Calculation for High-entropy Boride Ceramics[J]. Journal of Inorganic Materials, 2026, 41(4): 455-461.
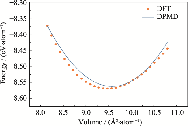
Fig. 1 (a) Schematic illustration of transformation relationship between hexagonal and orthorhombic unit cells; (b) Initial atomic configuration of (Hf0.2Zr0.2Ta0.2Ti0.2Nb0.2)B2
| Parameter | DPMD (~0 K) | DFT[ (~0 K) | Error (~0 K) | DPMD (300 K) | Exp. (300 K) | Error (300 K) |
|---|---|---|---|---|---|---|
| a/Å | 3.119 | 3.116 | 0.10% | 3.117 | 3.1062[ | 0.35% |
| c/Å | 3.386 | 3.391 | 0.15% | 3.399 | 3.3755[ | 0.70% |
| C11/GPa | 587.81 | 604 | 2.68% | 570.94 | - | - |
| C33/GPa | 420.37 | 449 | 6.38% | 409.82 | - | - |
| C44/GPa | 243.86 | 243 | 0.35% | 233.08 | - | - |
| C12/GPa | 83.70 | 87 | 3.79% | 83.08 | - | - |
| C13/GPa | 152.10 | 143 | 6.36% | 148.23 | - | - |
| E/GPa | 530.62 | 537.99 | 1.37% | 505.33 | 508.53[ | 0.63% |
| B/GPa | 262.93 | 265.93 | 1.13% | 255.81 | 259.86[ | 1.56% |
| G/GPa | 228.00 | 231.33 | 1.44% | 215.81 | 216.61[ | 0.37% |
Table 1 Comparative assessment of lattice constants and mechanical properties from DPMD simulations, DFT calculations and experimental data
| Parameter | DPMD (~0 K) | DFT[ (~0 K) | Error (~0 K) | DPMD (300 K) | Exp. (300 K) | Error (300 K) |
|---|---|---|---|---|---|---|
| a/Å | 3.119 | 3.116 | 0.10% | 3.117 | 3.1062[ | 0.35% |
| c/Å | 3.386 | 3.391 | 0.15% | 3.399 | 3.3755[ | 0.70% |
| C11/GPa | 587.81 | 604 | 2.68% | 570.94 | - | - |
| C33/GPa | 420.37 | 449 | 6.38% | 409.82 | - | - |
| C44/GPa | 243.86 | 243 | 0.35% | 233.08 | - | - |
| C12/GPa | 83.70 | 87 | 3.79% | 83.08 | - | - |
| C13/GPa | 152.10 | 143 | 6.36% | 148.23 | - | - |
| E/GPa | 530.62 | 537.99 | 1.37% | 505.33 | 508.53[ | 0.63% |
| B/GPa | 262.93 | 265.93 | 1.13% | 255.81 | 259.86[ | 1.56% |
| G/GPa | 228.00 | 231.33 | 1.44% | 215.81 | 216.61[ | 0.37% |
Fig. S1 Evolution of temperature, potential energy and atomic structure over time during the heating process in DP-1 force field under different random initial configuration tests
Fig. S2 Evolution of temperature, potential energy and atomic structure over time during the heating process in DP-2 force field under different random initial configuration tests
| [1] | 贾成科, 张鑫, 任先京, 等. 硼化物陶瓷基涂层制备技术的研究进展. 热喷涂技术, 2012, 4(1): 5. |
| [2] |
MONTEVERDE F, GUICCIARDI S, BELLOSI A. Advances in microstructure and mechanical properties of zirconium diboride based ceramics. Materials Science and Engineering: A, 2003, 346(1): 310.
DOI URL |
| [3] |
WU W W, ZHANG G J, KAN Y M, et al. Synthesis and microstructural features of ZrB2-SiC-based composites by reactive spark plasma sintering and reactive hot pressing. Scripta Materialia, 2007, 57(4): 317.
DOI URL |
| [4] |
ZOU J, ZHANG G J, KAN Y M, et al. Pressureless densification of Zrb2-SiC composites with vanadium carbide. Scripta Materialia, 2008, 59(3):309.
DOI URL |
| [5] |
YEH J W, CHEN S K, LIN S J, et al. Nanostructured high-entropy alloys with multiple principal elements: novel alloy design concepts and outcomes. Advanced Engineering Materials, 2004, 6(5): 299.
DOI URL |
| [6] |
MIRACLE D B, SENKOV O N. A critical review of high entropy alloys and related concepts. Acta Materialia, 2017, 122: 448.
DOI URL |
| [7] |
GEORGE E P, RAABE D, RITCHIE R O. High-entropy alloys. Nature Reviews Materials, 2019, 4(8): 515.
DOI |
| [8] |
WANG Y P, GAN G Y, WANG W, et al. First-principles study of mechanical and thermal properties of high-entropy diborides. Physica Status Solidi (B), 2018, 255(10): 1800011.
DOI URL |
| [9] |
ZHANG Y, CHEN G, SHI X, et al. Atomic simulations and experimental of the effect of transition metal on the high- temperature oxidation behavior of ZrB2. Corrosion Science, 2024, 236: 112218.
DOI URL |
| [10] | MENG X Y, ZHANG H X, MEZEI M, et al. Molecular docking: a powerful approach for structure-based drug discovery. Current Computer-Aided Drug Design, 2011, 7(2): 146. |
| [11] | ALDER B J, WAINWRIGHT T E. Studies in molecular dynamics. I. General method. Journal of Chemical Physics, 1959, 31(2): 459. |
| [12] | BEHLER J, PARRINELLO M. Generalized neural-network representation of potential-energy surfaces. Physical Review Letters, 2007; 98(14): 146401. |
| [13] |
DAI F Z, SUN Y J, WEN B, et al. Temperature dependent thermal and elastic properties of high entropy (Ti0.2Zr0.2Hf0.2Nb0.2Ta0.2)B2: molecular dynamics simulation by deep learning potential. Journal of Materials Science and Technology, 2021, 72: 8.
DOI URL |
| [14] |
ZHANG X, LI B, ZHOU J, et al. Deep-learning enabled atomic insights into the phase transitions and nanodomain topology of lead-free (K,Na)NbO3 ferroelectrics. Science China Materials, 2024, 67(9): 3029.
DOI |
| [15] |
VAN DE WALLE A, TIWARY P, DE JONG M, et al. Efficient stochastic generation of special quasirandom structures. Calphad, 2013, 42: 13.
DOI URL |
| [16] |
THOMPSON A P, AKTULGA H M, BERGER R, et al. LAMMPS - a flexible simulation tool for particle-based materials modeling at the atomic, meso, and continuum scales. Computer Physics Communications, 2022, 271: 108171.
DOI URL |
| [17] |
GU J, ZOU J, SUN S K, et al. Dense and pure high-entropy metal diboride ceramics sintered from self-synthesized powders via boro/carbothermal reduction approach. Science China Materials, 2019, 62(12): 1898.
DOI |
| [18] | LIU J, YANG Q, ZOU J, et al. Strong high-entropy diborides ceramics with oxide impurities at 1800 ℃. Science China Materials, 2023, 66(5): 1892. |
| [1] | LIU Guoang, WANG Hailong, FANG Cheng, HUANG Feilong, YANG Huan. Effect of B4C Content on Mechanical Properties and Oxidation Resistance of (Ti0.25Zr0.25Hf0.25Ta0.25)B2-B4C Ceramics [J]. Journal of Inorganic Materials, 2024, 39(6): 697-706. |
| [2] | ZHANG Xiuyu,CHEN Xiaofei,WANG Hao,GUO Xun,XUE Jianming. Molecular Dynamics Analysis of Chemical Disorders Induced by Irradiated Point Defects in 6H-SiC [J]. Journal of Inorganic Materials, 2020, 35(8): 889-894. |
| [3] | ZHAO Chaofeng, JIN Jiaren, HUO Yingzhong, SUN Lu, AI Yuejie. Adsorption of Phenolic Organic Pollutants on Graphene Oxide: Molecular Dynamics Study [J]. Journal of Inorganic Materials, 2020, 35(3): 277-283. |
| [4] | HAO Hai-Qing, YUAN Zhi-Tao, LI Li-Xia, ZHANG Chen. Mechanism of Faces Growth in Preparing Calcium Sulphate Whiskers Using Sodium Oleate [J]. Journal of Inorganic Materials, 2016, 31(11): 1184-1190. |
| [5] | SUN Ling-Ling, MA Ying, ZHOU Yi-Chun. Study on Pressure-induced Ferroelectric Phase Transition in Bi4Ti3O12 by Molecular Dynamics Simulation [J]. Journal of Inorganic Materials, 2011, 26(5): 491-494. |
| [6] | LIU Bai-Nian, MA Ying, ZHOU Yi-Chun. Molecular Dynamics Simulation of the Strain-polarization Coupling in BaTiO3 Ferroelectrics [J]. Journal of Inorganic Materials, 2010, 25(12): 1247-1251. |
| [7] | YE Ya-Jing,ZHANG Li-Tong,CHENG Lai-Fei,XU Yong-Dong. Diffusion Behavior in Amorphous Si-B-C System by Molecular Dynamics Simulation [J]. Journal of Inorganic Materials, 2006, 21(4): 843-848. |
| [8] | WU Yong-Quan,YOU Jing-Lin,JIANG Guo-Chang. Molecular Dynamics Study of the Structure of Calcium Aluminate Melts [J]. Journal of Inorganic Materials, 2003, 18(3): 619-626. |
| [9] | CHEN Fu-Yi,JIE Wan-Qi. MD Simulation of Structural Transition in Lennard-Jones Melts [J]. Journal of Inorganic Materials, 2002, 17(2): 259-264. |
| [10] | JIANG Yang,ZHAO Xiu-Jian,LIANG Kai-Ming. X-ray Diffraction and Molecular Dynamics Study of CdF2-BdF2-LiF Glass [J]. Journal of Inorganic Materials, 1998, 13(2): 138-144. |
| Viewed | ||||||
|
Full text |
|
|||||
|
Abstract |
|
|||||