Journal of Inorganic Materials ›› 2013, Vol. 28 ›› Issue (5): 491-496.DOI: 10.3724/SP.J.1077.2013.12385

• Orginal Article • Previous Articles     Next Articles

XU Ya-Xin, XIONG Jie, XIA Yu-Dong, ZHANG Fei, XUE Yan, TAO Bo-Wan   

  1. (State Key Lab of Electronic Thin Films and Integrated Devices, University of Electronic Science and Technology of China, Chengdu 610054, China)
  • Received:2012-06-17 Revised:2012-08-24 Published:2013-05-10 Online:2013-04-22
  • About author:XU Ya-Xin. E-mail: xuyaxin1000@126.com

Abstract:

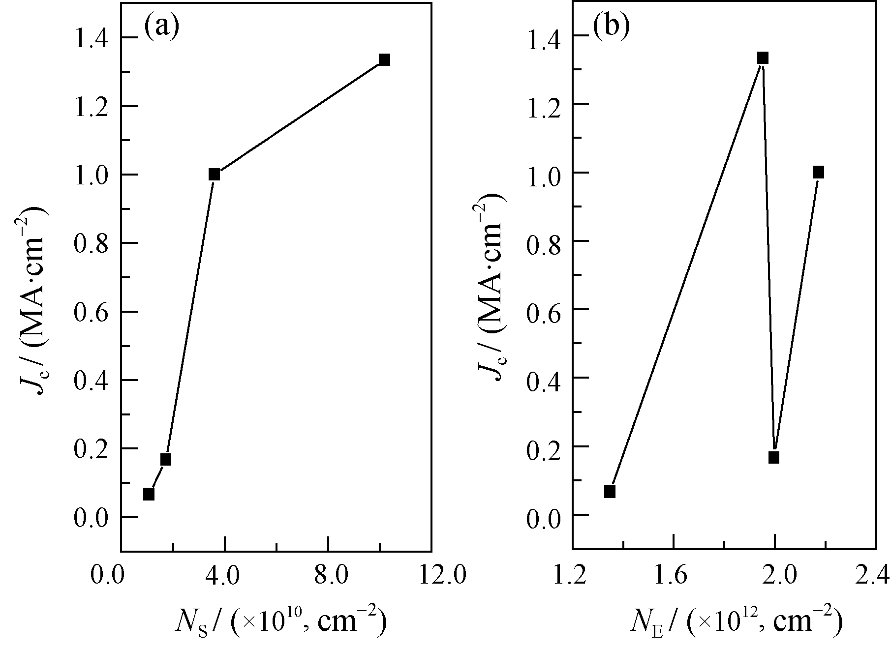
Epitaxial YBa2Cu3O7-δ(YBCO) thin films were grown on Y2O3/YSZ/CeO2 (YYC) buffered Ni-5at%W substrates by direct-current sputtering, and induced by substrate temperature. X-ray diffraction (XRD) results showed that the substrate temperature strongly influenced the epitaxial growth of YBCO films: the a-axis preferential grains grew at lower substrate temperature, and strictly c-axis epitaxial YBCO films were achieved at higher substrate temperature. The amount of a-axis YBCO component evaluated from the ratio of XRD χ-scan integrated intensity of the a-axis and c-axis for the YBCO (102) plane decreased as the substrate temperature increased. Since the development of the a-axis component can result in high angle grain boundaries, which can degrade the Ic passing through the a-b plane, the microstructure and the critical current density of YBCO thin films were improved as substrate temperature increasing. While the microstructure and the critical current density of YBCO thin films were deteriorated above 780℃ for the baseband oxidation and the interface reaction between the YBCO and the buffer layer. The dislocation density in the YBCO thin films was measured and calculated. The relationship between the dislocation density and critical current density (Jc) was systematically investigated, Jc was much more sensitive to the screw dislocation than to the edge dislocation, which was attributed to the spiral growth mechanism of YBCO thin films.

Key words: YBa2Cu3O7-&#x003b4, (YBCO), substrate temperature, crystal orientation, dislocation density

CLC Number: