Journal of Inorganic Materials ›› 2026, Vol. 41 ›› Issue (3): 289-294.DOI: 10.15541/jim20250173
• RESEARCH ARTICLE • Previous Articles Next Articles
HUANG Yinghe1,2(
), HUANG Renxing1, SHI Yuxing1, LEI Yijie2, YU Tao1, WANG Cheng2, GU Jun1(
)
Received:2025-04-24
Revised:2025-08-10
Published:2025-08-26
Online:2025-08-26
Contact:
GU Jun, professor. E-mail: junguca@nju.edu.cnAbout author:HUANG Yinghe (1996-), male, PhD candidate. E-mail: 602023220030@smail.nju.edu.cn
Supported by:1. Enhancing the Durability of Pt Catalysts in the Oxygen Reduction Reaction by Confinement Effect of Mesoporous Carbon.mp4(2360KB)
CLC Number:
HUANG Yinghe, HUANG Renxing, SHI Yuxing, LEI Yijie, YU Tao, WANG Cheng, GU Jun. Enhancing Durability of Pt Catalysts in the Oxygen Reduction Reaction by Confinement Effect of Mesoporous Carbon[J]. Journal of Inorganic Materials, 2026, 41(3): 289-294.
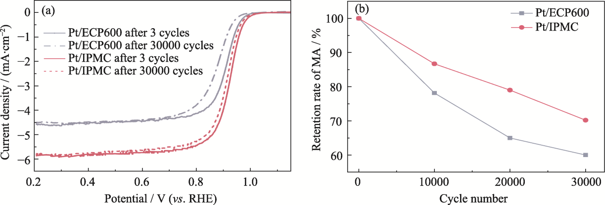
| Sample | MA after 3 cycles/(mA∙mg-1) | MA after 10000 cycles/(mA∙mg-1) | MA after 20000 cycles/(mA∙mg-1) | MA after 30000 cycles/(mA∙mg-1) | MA retention rate/% |
|---|---|---|---|---|---|
| Pt/ECP600 | 144 | 113 | 93.6 | 86.0 | 60.0 |
| Pt/IPMC | 269 | 233 | 213 | 189 | 70.2 |
Table S1 Changes in MA during durability test of Pt/IPMC and commercial Pt/ECP600
| Sample | MA after 3 cycles/(mA∙mg-1) | MA after 10000 cycles/(mA∙mg-1) | MA after 20000 cycles/(mA∙mg-1) | MA after 30000 cycles/(mA∙mg-1) | MA retention rate/% |
|---|---|---|---|---|---|
| Pt/ECP600 | 144 | 113 | 93.6 | 86.0 | 60.0 |
| Pt/IPMC | 269 | 233 | 213 | 189 | 70.2 |
| Sample | SA after 3 cycles/(µA∙cm-2) | SA after 10000 cycles/(µA∙cm-2) | SA after 20000 cycles/(µA∙cm-2) | SA after 30000 cycles/(µA∙cm-2) | SA retention rate/% |
|---|---|---|---|---|---|
| Pt/ECP600 | 145 | 134 | 125 | 128 | 88.3 |
| Pt/IPMC | 296 | 271 | 295 | 273 | 92.2 |
Table S2 Changes in SA during durability test of Pt/IPMC and commercial Pt/ECP600
| Sample | SA after 3 cycles/(µA∙cm-2) | SA after 10000 cycles/(µA∙cm-2) | SA after 20000 cycles/(µA∙cm-2) | SA after 30000 cycles/(µA∙cm-2) | SA retention rate/% |
|---|---|---|---|---|---|
| Pt/ECP600 | 145 | 134 | 125 | 128 | 88.3 |
| Pt/IPMC | 296 | 271 | 295 | 273 | 92.2 |
| Sample | ECSA after 3 cycles/(m2∙g-1) | ECSA after 10000 cycles/(m2∙g-1) | ECSA after 20000 cycles/(m2∙g-1) | ECSA after 30000 cycles/(m2∙g-1) | ECSA retention rate/% |
|---|---|---|---|---|---|
| Pt/ECP600 | 99 | 84 | 75 | 67 | 67.67 |
| Pt/IPMC | 91 | 86 | 72 | 69 | 75.82 |
Table S3 Changes in ECSA during durability test of Pt/IPMC and commercial Pt/ECP600
| Sample | ECSA after 3 cycles/(m2∙g-1) | ECSA after 10000 cycles/(m2∙g-1) | ECSA after 20000 cycles/(m2∙g-1) | ECSA after 30000 cycles/(m2∙g-1) | ECSA retention rate/% |
|---|---|---|---|---|---|
| Pt/ECP600 | 99 | 84 | 75 | 67 | 67.67 |
| Pt/IPMC | 91 | 86 | 72 | 69 | 75.82 |
| Sample | ECSA/(m2∙g-1, initial) | ECSA retention rate | Pt particle size change/nm | Testing environment |
|---|---|---|---|---|
| Pt/ECP600 | 99 | 67.67% (after 30000 cycles) | 2.62→3.41 | 0.1 mol·L-1 HClO4, 0.6-0.1 V, 100 mV·s-1 |
| Pt/IPMC | 91 | 75.82% (after 30000 cycles) | 2.60→3.06 | |
| Pt/C[S2] | 58 | ~47.5% (after 6000 cycles) | - | 0.1 mol·L-1 HClO4, 0.6-1.0 V, 50 mV·s-1 |
| Pt/HCSs[S2] | 63 | ~58.6% (after 6000 cycles) | - | |
| Pt/Vulcan[S3] | - | (after 3600 cycles) | ~3.48→~4.00 | 0.1 mol·L-1 HClO4, 0.4-1.4 V, 1 V·s-1 |
| Pt@HGS[S3] | - | ~3.80→~3.75 | ||
| Pt/VC[S4] | 69 | 54% (after 2000 cycles) | - | 0.5 mol·L-1 H2SO4, 0-1.1 V, 20 mV·s-1 |
| Pt@CS[S4] | 81 | 21% (after 2000 cycles) | - |
Table S4 Comparison of durability of mesoporous carbon catalysts in this study and literatures
| Sample | ECSA/(m2∙g-1, initial) | ECSA retention rate | Pt particle size change/nm | Testing environment |
|---|---|---|---|---|
| Pt/ECP600 | 99 | 67.67% (after 30000 cycles) | 2.62→3.41 | 0.1 mol·L-1 HClO4, 0.6-0.1 V, 100 mV·s-1 |
| Pt/IPMC | 91 | 75.82% (after 30000 cycles) | 2.60→3.06 | |
| Pt/C[S2] | 58 | ~47.5% (after 6000 cycles) | - | 0.1 mol·L-1 HClO4, 0.6-1.0 V, 50 mV·s-1 |
| Pt/HCSs[S2] | 63 | ~58.6% (after 6000 cycles) | - | |
| Pt/Vulcan[S3] | - | (after 3600 cycles) | ~3.48→~4.00 | 0.1 mol·L-1 HClO4, 0.4-1.4 V, 1 V·s-1 |
| Pt@HGS[S3] | - | ~3.80→~3.75 | ||
| Pt/VC[S4] | 69 | 54% (after 2000 cycles) | - | 0.5 mol·L-1 H2SO4, 0-1.1 V, 20 mV·s-1 |
| Pt@CS[S4] | 81 | 21% (after 2000 cycles) | - |
| [1] | STAMBOULI A B. Fuel cells: the expectations for an environmental-friendly and sustainable source of energy. Renewable & Sustainable Energy Reviews, 2011, 15: 4507. |
| [2] | LI J R, LIU M X, LIU X, et al. The recent progress of oxygen reduction electrocatalysts used at fuel cell level. Small Methods, 2024, 8: 2301249. |
| [3] | ZHAO W H, XU G T, DONG W Y, et al. Progress and perspective for in situ studies of oxygen reduction reaction in proton exchange membrane fuel cells. Advanced Science, 2023, 10: 2300550. |
| [4] | LE T D, AHEMAD M J, KIM D S, et al. Synergistic effect of Pt-Ni dual single-atoms and alloy nanoparticles as a high-efficiency electrocatalyst to minimize Pt utilization at cathode in polymer electrolyte membrane fuel cells. Journal of Colloid and Interface Science, 2023, 634: 930. |
| [5] | FISSEHA G, YU Y N, LU S J, et al. A novel core-shell nanostructure of Ti-Au nanocrystal with PtNi alloy skin: enhancing the durability for oxygen reduction reaction. Chinese Journal of Catalysis, 2024, 56: 81 |
| [6] | SHU Q H, ZHANG J, HU B, et al. Rational design of a high-durability pt-based ORR catalyst supported on Mn/N codoped carbon sheets for PEMFCs. Energy & Fuels, 2022, 36: 1707. |
| [7] | MOGHADAMESFAHANI R A, VANKOVA S K, EASTON E B, et al. A hybrid Pt/NbO/CNTs catalyst with high activity and durability for oxygen reduction reaction in PEMFC. Renewable Energy, 2020, 154: 913. |
| [8] | LI M, LIU F, PEI S, et al. Synthesis of platinum nanocrystals dispersed on nitrogen-doped hierarchically porous carbon with enhanced oxygen reduction reaction activity and durability. Nanomaterials, 2023, 13(3): 444. |
| [9] | CHEN L G, ZHAO W, REN Y C, et al. Study on attenuation mechanism and durability improvement of platinum-carbon catalysts for proton exchange membrane fuel cells. Journal of the Electrochemical Society, 2024, 171: 094509. |
| [10] | SONG Z X, WANG B Q, CHENG N C, et al. Atomic layer deposited tantalum oxide to anchor Pt/C for a highly stable catalyst in PEMFCs. Journal of Materials Chemistry A, 2017, 5: 9760. |
| [11] | BOGAR M, YAKOVLEV Y, SANDBECK D J S, et al. Interplay among dealloying, ostwald ripening, and coalescence in PtXNi100-X bimetallic alloys under fuel-cell-related conditions. ACS Catalysis, 2021, 11: 11360. |
| [12] | LI S B, YIN P, XU C, et al. Entropy-driven Ostwald ripening reversal promotes the formation of low-platinum intermetallic fuel cell catalysts. Small, 2024, 20: 2401134. |
| [13] | DONG Y H, ZHANG D, LI D G, et al. Control of Ostwald ripening. Science China-Materials, 2023, 66: 1249. |
| [14] | LI X F, SU F Y, XIE L J, et al. Carbon corrosion induced by surface defects accelerates degradation of platinum/graphene catalysts in oxygen reduction reaction. Small, 2024, 20: 2310940. |
| [15] | GARCIA-CARDONA J L, SIRES I, MAZZUCATO M, et al. On the viability of chitosan-derived mesoporous carbons as supports for PtCu electrocatalysts in PEMFC. Electrochimica Acta, 2023, 442: 141911. |
| [16] | JAVED H, PANI S, ANTONY J, et al. Synthesis of mesoporous carbon spheres via a soft-template route for catalyst supports in PEMFC cathodes. Soft Matter, 2021, 17: 7743. |
| [17] | SHAHGALDI S, HAMELIN J. Improved carbon nanostructures as a novel catalyst support in the cathode side of PEMFC: a critical review. Carbon, 2015, 94: 705. |
| [18] | CAO L J, ZHU H W, LI Y D, et al. Anchored and confined Pt nanoparticles in radial mesoporous hollow carbon spheres enhancing oxygen reduction reaction stability. New Journal of Chemistry, 2023, 47: 10866. |
| [19] | GALEANO C, MEIER J C, PEINECKE V, et al. Toward highly stable electrocatalysts via nanoparticle pore confinement. Journal of the American Chemical Society, 2012, 134: 20457. |
| [20] | MASHINDI V, MENTE P, PHAAHLAMOHLAKA T N, et al. Platinum nanocatalysts supported on defective hollow carbon spheres: oxygen reduction reaction durability studies. Frontiers in Chemistry, 2022, 10: 839867. |
| [21] | YARLAGADDA V, CARPENTER M K, MOYLAN T E, et al. Boosting fuel cell performance with accessible carbon mesopores. ACS Energy Letters, 2018, 3: 618. |
| [22] | PENG L, PENG H, HUNG C T, et al. Programmable synthesis of radially gradient-structured mesoporous carbon nanospheres with tunable core-shell architectures. Chem, 2021, 7: 1020. |
| [23] | LIU H, CUI W H, SHEN Y F, et al. Hierarchical carbon with microporous core and mesoporous shell for efficient oxygen reduction application. Microporous and Mesoporous Materials, 2024, 368: 113011. |
| [24] | QIAO Z, HWANG S, LI X, et al. 3D porous graphitic nanocarbon for enhancing the performance and durability of Pt catalysts: a balance between graphitization and hierarchical porosity. Energy & Environmental Science, 2019, 12: 2830. |
| [25] | WANG S J, NIU M, ZHENG J, et al. Hollow porous CoP-carbon nanocages for hydrogen evolution reactions. ACS Applied Nano Materials, 2024, 7: 12821. |
| [26] | XIE M, CHU T K, WANG X L, et al. Effect of mesoporous carbon on oxygen reduction reaction activity as cathode catalyst support for proton exchange membrane fuel cell. International Journal of Hydrogen Energy, 2022, 47: 28074. |
| [27] | HUANG L, WEI M, QI R J, et al. An integrated platinum-nanocarbon electrocatalyst for efficient oxygen reduction. Nature Communications, 2022, 13: 6703. |
| [28] | HUANG Y H, GU J, HU Y D, et al. Preparation of mesoporous carbon with adjustable diameter and pore size. Diamond and Related Materials, 2022, 130: 109515. |
| [29] | FERRO G, ROIRON C, WANG H S, et al. Designer electrocatalysts for the oxygen reduction reaction with controlled platinum nanoparticle locality. Advanced Energy Materials, 2024, 15(25): 2403165. |
| [30] | JEONG Y, CUI M C, CHOI J, et al. Development of modified mesoporous carbon (CMK-3) for improved adsorption of bisphenol-A. Chemosphere, 2020, 238: 124559. |
| [31] | ZOU J, FAN C Y, JIANG Y, et al. A preliminary study on assessing the Brunauer-Emmett-Teller analysis for disordered carbonaceous materials. Microporous and Mesoporous Materials, 2021, 327: 111411. |
| [32] | ABBASLOU R M, VOSOUGHI V, DALAI A K. Comparison of nitrogen adsorption and transmission electron microscopy analyses for structural characterization of carbon nanotubes. Applied Surface Science, 2017, 419: 817. |
| [33] | GARSANY Y, BATURINA O A, SWIDER L K E, et al. Experimental methods for quantifying the activity of platinum electrocatalysts for the oxygen reduction reaction. Analytical Chemistry, 2010, 82: 6321. |
| [34] | ZHU S J, HUANG Y H, YU T, et al. Enhance the durability of the oxygen reduction reaction catalyst through the synergy of improved graphitization and nitrogen doping of carbon carrier. International Journal of Hydrogen Energy, 2024, 51: 956. |
| [35] | ZHANG C, FENG Z X, LEI Y J, et al. Batch synthesis of high activity and durability carbon supported platinum catalysts for oxygen reduction reaction using a new facile continuous microwave pipeline technology. Journal of Colloid and Interface Science, 2022, 628: 174. |
| [1] | YANG Daihui, SUN Tian, TIAN Hexin, SHI Xiaofei, MA Dongwei. Iron-nitrogen-codoped Mesoporous Carbon: Facile Synthesis and Catalytic Performance of Oxygen Reduction Reaction [J]. Journal of Inorganic Materials, 2023, 38(11): 1309-1315. |
| [2] | WANG Lielin, XIE Hua, XIE Yuqi, HU Pingtao, YIN Wen, REN Xinyue, DING Yun. Structural Evolution and Chemical Durability of Thorium-incorporated Nd2Zr2O7 Pyrochlore at A and B Sites [J]. Journal of Inorganic Materials, 2022, 37(10): 1073-1078. |
| [3] | FAN Jun, JIANG Xue, JIAO Yi, CHEN Yusheng, WANG Jianli, CHEN Yaoqiang. Effect of Different Alkali-assisted Deposition Precipitation Methods on the Durability of Three-way Catalysts [J]. Journal of Inorganic Materials, 2021, 36(6): 659-664. |
| [4] | WANG Tianyue, WANG Mengying, HUANG Qingjiao, YANG Jiaming, WANG Shunhua, DIAO Xungang. Preparation of Lithium Titanate Thin Film for Electrochromic Smart Window by Sol-Gel Spin Coating Method [J]. Journal of Inorganic Materials, 2021, 36(5): 471-478. |
| [5] | TANG Jiawei, WANG Yongbang, MA Cheng, YANG Haixiao, WANG Jitong, QIAO Wenming, LING Licheng. Methylnaphthalene Pitch-based Ordered Mesoporous Carbon: Synthesis and Electrochemical Properties [J]. Journal of Inorganic Materials, 2021, 36(10): 1031-1038. |
| [6] | Ya-Ping SUN, Hong-Long WANG, Jian CHU, Xu WANG, She-Qi PAN, Ming ZHANG. Leaching Behavior and Mechanism of Ceramic Waste Forms [J]. Journal of Inorganic Materials, 2019, 34(5): 461-468. |
| [7] | GAO Xiu-Li, WANG Dan-Dan, LI Shuo, XING Wei, YAN Zi-Feng. Hydroquinone-modified Mesoporous Carbon Nanospheres with Excellent Capacitive Performance [J]. Journal of Inorganic Materials, 2018, 33(1): 48-52. |
| [8] | DONG Liang, WANG Yan-Hui, ZANG Jian-Bing. Recent Progress in Diamond-based Electrocatalysts for Fuel Cells [J]. Journal of Inorganic Materials, 2017, 32(7): 673-680. |
| [9] | LIU Ke, WANG Ji-Tong, LONG Dong-Hui, LING Li-Cheng. Scalable Preparation and Microwave Absorption of Lightweight Fe3O4/Mesoporous Carbon Microsphere Composites [J]. Journal of Inorganic Materials, 2017, 32(10): 1023-1028. |
| [10] | ZHANG Chuan, WANG Ji-Tong, LI Xu, LONG Dong-Hui, QIAO Wen-Ming, LING Li-Cheng. Facile Preparation, Structural Control and Spheroidization of Mesoporous Carbons Using Hydrolyzed Water Glass as a Template [J]. Journal of Inorganic Materials, 2015, 30(8): 848-854. |
| [11] | ZHOU Shu-Hui, CHUAN Xiu-Yun. Synthesis of Mesoporous Carbon Using Halloyiste As Template [J]. Journal of Inorganic Materials, 2014, 29(6): 584-588. |
| [12] | SUN Yong-Jiang, WANG Li, JIANG Xue-Hui, CHEN Ke-Zheng. Preparation and Characterization of ZnO Hollow Micro-spheres with Excellent Property of Blue Emission [J]. Journal of Inorganic Materials, 2013, 28(2): 184-188. |
| [13] | HONG Tao, WANG Yao, XIA Chang-Rong. Nano-structure Effect on Solid State Fuel Cells Cathode Durability [J]. Journal of Inorganic Materials, 2013, 28(11): 1187-1194. |
| [14] | CHEN Long, LIU Jing-Dong, ZHANG Shi-Qun. Preparation of Mesoporous Carbon/Sulfur Composite Loaded with ZnS and Its Property for Lithium-sulfur Batteries [J]. Journal of Inorganic Materials, 2013, 28(10): 1127-1131. |
| [15] | XU Shun-Jian, LUO Yu-Feng, LI Shui-Gen, ZHONG Wei, HUANG Ming-Dao. Optimization of Dye-sensitized Solar Cells Consisting of Low-temperature Fabricated Mesoporous Carbon Counter Electrode [J]. Journal of Inorganic Materials, 2012, 27(1): 83-88. |
| Viewed | ||||||
|
Full text |
|
|||||
|
Abstract |
|
|||||