Journal of Inorganic Materials ›› 2020, Vol. 35 ›› Issue (1): 93-98.DOI: 10.15541/jim20190088
Special Issue: MAX相和MXene材料; 二维材料; 2020年能源材料论文精选(二):超级电容器; MXene材料专辑(2020~2021); 【虚拟专辑】超级电容器(2020~2021)
Previous Articles Next Articles
MA Ya-Nan1,LIU Yu-Fei1,YU Chen-Xu1,ZHANG Chuan-Kun1,LUO Shi-Jun1(
),GAO Yi-Hua2,3(
)
Received:2019-02-28
Revised:2019-05-07
Published:2020-01-20
Online:2019-07-23
About author:MA Ya-Nan(1988-), female, PhD. E-mail:mayn@huat.edu.cn
Supported by:CLC Number:
MA Ya-Nan, LIU Yu-Fei, YU Chen-Xu, ZHANG Chuan-Kun, LUO Shi-Jun, GAO Yi-Hua. Monolayer Ti3C2Tx Nanosheets with Different Lateral Dimension: Preparation and Electrochemical Property[J]. Journal of Inorganic Materials, 2020, 35(1): 93-98.
Fig. 2 (a-b) TEM images of smaller and larger size Ti3C2Tx nanosheets with insets showing corresponding diffraction pattern, and (c) AFM image with its height profile of Ti3C2Tx
Fig. 3 (a-b) Diameter distribution of smaller and larger size Ti3C2Tx nanosheets; (c) XRD patterns of Ti3AlC2 and Ti3C2Tx nanosheets with black line indicating Ti3AlC2, red line indicating larger size Ti3C2Tx, and blue line indicating smaller size Ti3C2Tx; (d) I-V curves of smaller and larger size Ti3C2Tx with black line indicating larger size Ti3C2Tx and red one indicating smaller size Ti3C2Tx
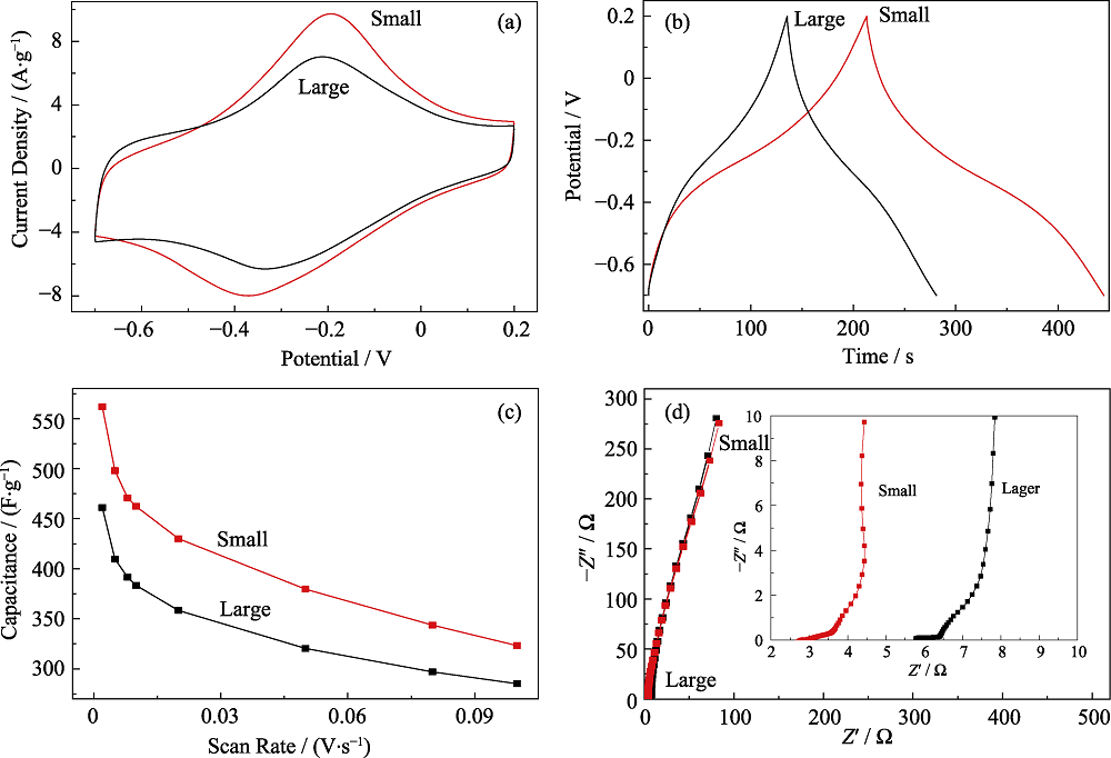
Fig. 4 (a) CV curves of smaller and larger size Ti3C2Tx at 20 mV/s; (b) GCD curves of smaller and larger size Ti3C2Tx at 1 A/g; (c) Specific capacity of smaller and larger size Ti3C2Tx at different scanning rates; (d) EIS (Nyquist plots) for smaller and larger size Ti3C2Tx from 5 mHz to 100 kHz
| [1] |
NOVOSELOV K S, GEIM A K, MOROZOV S V , et al.Electric field effect in atomically thin carbon films. Science, 2004,306(5696):666-669.
DOI URL PMID |
| [2] |
TAN C L, CAO X H, WU X J , et al.Recent advances in ultrathin two-dimensional nanomaterials. Chem. Rev., 2017,117(9):6225-6331.
DOI URL PMID |
| [3] |
BUTLER S Z, HOLLEN S M, CAO L Y , et al.Progress, challenges, and opportunities in two-dimensional materials beyond graphene. ACS Nano, 2013,7(4):2898-2926.
DOI URL PMID |
| [4] |
GEIM A K, NOVOSELOV K S . The rise of graphene. Nat. Mater., 2007,6(3):183-191.
DOI URL PMID |
| [5] |
NAGUIB M, MOCHALIN V N, BARSOUM M W , et al.25th anniversary article: MXenes: a new family of two-dimensional materials. Adv. Mater., 2014,26(7):992-1005.
DOI URL |
| [6] |
ZHAO M Q, REN C E, LING Z , et al.Flexible MXene/carbon nanotube composite paper with high volumetric capacitance. Adv. Mater., 2015,27(2):339-345.
DOI URL PMID |
| [7] |
BOOTA M, ANASORI B, VOIGT C , et al.Pseudocapacitive electrodes produced by oxidant-free polymerization of pyrrole between the layers of 2D titanium carbide (MXene). Adv. Mater., 2016,28(7):1517-1522.
DOI URL PMID |
| [8] |
NAGUIB M, HALIM J, LU J , et al.New two-dimensional niobium and vanadium carbides as promising materials for Li-ion batteries. J. Am. Chem. Soc., 2013,135(43):15966-15969.
DOI URL PMID |
| [9] |
WANG X, KAJIYAMA S, IINUMA H , et al.Pseudocapacitance of MXene nanosheets for high-power sodium-ion hybrid capacitors. Nat. Commun., 2015,6:6544.
DOI URL PMID |
| [10] |
ANASORI B, LUKATSKAYA M R, GOGOTSI Y . 2D metal carbides and nitrides (MXenes) for energy storage. Nat. Rev. Mater., 2017,2(2):16098.
DOI URL PMID |
| [11] |
ZENG Y F, XIN G X, ZHANG B W ,et al. One-step preparation and electrochemical performance of 3D reduced graphene oxide/ NiO as supercapacitor electrodes materials. J. Inorg. Mater. 2018,33(10):1070-1076.
DOI URL |
| [12] |
SHI H . Activated carbons and double layer capacitance. Electrochim. Acta, 1996,41(10):1633-1639.
DOI URL PMID |
| [13] |
QU D, SHI H . Studies of activated carbons used in double-layer capacitors. J. Power Sources, 1998,74(1):99-107.
DOI URL PMID |
| [14] |
SUBRAMANIAN V, ZHU H, VAJTAI R , et al.Hydrothermal synthesis and pseudocapacitance properties of MnO2 nanostructures. J. Phy. Chem. B, 2005,109(43):20207-20214.
DOI URL PMID |
| [15] |
BRYAN A M, SANTINO L M, LU Y , et al.Conducting polymers for pseudocapacitive energy storage. Chem. Mater., 2016,28(17):5989-5998.
DOI URL PMID |
| [16] |
XIA Y, MATHIS T S, ZHAO M Q , et al.Thickness-independent capacitance of vertically aligned liquid-crystalline MXenes. Nature,2018 , 557(7705):409.
DOI URL PMID |
| [17] |
LUKATSKAYA M R, KOTA S, LIN Z , et al.Ultra-high-rate pseudocapacitive energy storage in two-dimensional transition metal carbides. Nat. Energy, 2017,2(8):17105.
DOI URL |
| [18] |
NAGUIB M, KURTOGLU M, PRESSER V , et al.Two-dimensional nanocrystals produced by exfoliation of Ti3AlC2. Adv. Mater., 2011,23(37):4248-4253.
DOI URL PMID |
| [19] |
GHIDIU M, LUKATSKAYA M R, ZHAO M Q , et al.Conductive two-dimensional titanium carbide 'clay' with high volumetric capacitance. Nature, 2014,516:7529.
DOI URL PMID |
| [20] |
URBANKOWSKI P, ANASORI B, MAKARYAN T , et al.Synthesis of two-dimensional titanium nitride Ti4N3(MXene). Nanoscale, 2016,8(22):11385-11391.
DOI URL PMID |
| [21] |
XU C, WANG L B, LIU Z B ,et al. Large-area high-quality 2D ultrathin Mo2C superconducting crystals. Nat. Mater., 2015,14(11):1135.
DOI URL PMID |
| [22] |
HOPE M A, FORSE A C, GRIFFITH K J , et al.NMR reveals the surface functionalisation of Ti3C2 MXene. Phys. Chem. Chem. Phys., 2016,18(7):5099-5102.
DOI URL PMID |
| [23] |
SRIVASTAVA P, MISHRA A, MIZUSEKI H , et al.Mechanistic insight into the chemical exfoliation and functionalization of Ti3C2 MXene. ACS Appl. Mater. Interfaces, 2016, 8(36):24256-24264.
DOI URL PMID |
| [24] |
PENG Y Y, AKUZUM B, KURRA N , et al.All-MXene (2D titanium carbide) solid-state microsupercapacitors for on-chip energy storage. Energy Environ. Sci., 2016,9(9):2847-2854.
DOI URL |
| [25] |
GHASSEMI H, HARLOW W, MASHTALIR O ,et al.In situ environmental transmission electron microscopy study of oxidation of two-dimensional Ti3C2 and formation of carbon-supported TiO2. J. Mater. Chem. A, 2014,2(35):14339-14343.
DOI URL |
| [26] |
STOLLER M D, PARK S, ZHU Y , et al.Graphene-based ultracapacitors. Nano Lett., 2008,8(10):3498-3502.
DOI URL PMID |
| [27] |
WANG S, LIU N, TAO J , et al.Inkjet printing of conductive patterns and supercapacitors using a multi-walled carbon nanotube/Ag nanoparticle based ink. J. Mater. Chem. A, 2015,3(5):2407-2413.
DOI URL |
| [28] |
WANG H, LU Z, QIAN D , et al.Single-crystal α-MnO2 nanorods: synthesis and electrochemical properties. Nanotechnology, 2007,18(11):115616.
DOI URL PMID |
| [1] | YANG Endong, LI Baole, ZHANG Ke, TAN Lu, LOU Yongbing. ZnCo2O4-ZnO@C@CoS Core-shell Composite: Preparation and Application in Supercapacitors [J]. Journal of Inorganic Materials, 2024, 39(5): 485-493. |
| [2] | CHAO Shaofei, XUE Yanhui, WU Qiong, WU Fufa, MUHAMMAD Sufyan Javed, ZHANG Wei. Efficient Potassium Storage through Ti-O-H-O Electron Fast Track of MXene Heterojunction [J]. Journal of Inorganic Materials, 2024, 39(11): 1212-1220. |
| [3] | DING Ling, JIANG Rui, TANG Zilong, YANG Yunqiong. MXene: Nanoengineering and Application as Electrode Materials for Supercapacitors [J]. Journal of Inorganic Materials, 2023, 38(6): 619-633. |
| [4] | SUN Peng, ZHANG Shaoning, BI Hui, DONG Wujie, HUANG Fuqiang. Tuning Nitrogen Species and Content in Carbon Materials through Constructing Variable Structures for Supercapacitors [J]. Journal of Inorganic Materials, 2021, 36(7): 766-772. |
| [5] | LIU Fangfang, CHUAN Xiuyun, YANG Yang, LI Aijun. Influence of N/S Co-doping on Electrochemical Property of Brucite Template Carbon Nanotubes [J]. Journal of Inorganic Materials, 2021, 36(7): 711-717. |
| [6] | WU Xiaowei, LI Jiayan. Texturing Technology on Multicrystalline Silicon Wafer by Metal-catalyzed Chemical Etching: a Review [J]. Journal of Inorganic Materials, 2021, 36(6): 570-578. |
| [7] | CHEN Lichi, WANG Yaogong, WANG Wenjiang, MA Xiaoqin, YANG Jingyuan, ZHANG Xiaoning. Preparation of Silicon Nanowires and Porous Silicon Composite Structure by Electrocatalytic Metal Assisted Chemical Etching [J]. Journal of Inorganic Materials, 2021, 36(6): 608-614. |
| [8] | WANG Yiliang, AI Yunlong, YANG Shuwei, LIANG Bingliang, ZHENG Zhenhuan, OUYANG Sheng, HE Wen, CHEN Weihua, LIU Changhong, ZHANG Jianjun, LIU Zhiyong. Facile Synthesis and Supercapacitor Performance of M3O4(M=FeCoCrMnMg) High Entropy Oxide Powders [J]. Journal of Inorganic Materials, 2021, 36(4): 425-430. |
| [9] | XI Wen, LI Haibo. Preparation of TiO2/Ti3C2Tx Composite for Hybrid Capacitive Deionization [J]. Journal of Inorganic Materials, 2021, 36(3): 283-291. |
| [10] | LI Zehui,TAN Meijuan,ZHENG Yuanhao,LUO Yuyang,JING Qiushi,JIANG Jingkun,LI Mingjie. Application of Conductive Metal Organic Frameworks in Supercapacitors [J]. Journal of Inorganic Materials, 2020, 35(7): 769-780. |
| [11] | SHAN Wei,FU Zhengqian,ZHANG Faqiang,MA Mingsheng,LIU Zhifu,LI Yongxiang. SnS2 Nanoplates: Synthesis and NO2 Sensing Property [J]. Journal of Inorganic Materials, 2020, 35(4): 497-504. |
| [12] | CHEN Jun,MA Pei-Hua,ZHANG Cheng,Laurent RUHLMANN,LYU Yao-Kang. Preparation and Electrochemical Property of New Multifunctional Inorganic/Organic Composite Film [J]. Journal of Inorganic Materials, 2020, 35(2): 217-223. |
| [13] | FEI Mingjie, ZHANG Renping, ZHU Guisheng, YU Zhaozhe, YAN Dongliang. Preparation and Pseudocapacitive Properties of Phosphate Ion-doped MnFe2O4 [J]. Journal of Inorganic Materials, 2020, 35(10): 1137-1141. |
| [14] | DING Zhuofeng, YANG Yongqiang, LI Zaijun. Synthesis and Supercapacitor Performance of Histidine-functionalized Carbon Dots/Graphene Aerogel [J]. Journal of Inorganic Materials, 2020, 35(10): 1130-1136. |
| [15] | SONG Huan, WANG Lin, WANG Hong-Qing, SHI Wei-Qun. Adsorption of Eu(III) on Alkalized Ti3C2Tx MXene Studied by Batch Experiment and Its Mechanism Investigation [J]. Journal of Inorganic Materials, 2020, 35(1): 65-72. |
| Viewed | ||||||
|
Full text |
|
|||||
|
Abstract |
|
|||||