Journal of Inorganic Materials ›› 2026, Vol. 41 ›› Issue (1): 45-54.DOI: 10.15541/jim20250218

• RESEARCH ARTICLE • Previous Articles     Next Articles

High-temperature Oxidation Mechanism and Electromagnetic Wave Absorption Properties of Fe2AlB2

MA Xinchao1(), ZHI Qing1, LI Wei1, CHEN Mao1,2(), WANG Hailong1,2, ZHANG Rui1,2, ZHANG Fan3, FAN Bingbing1,2()   

  1. 1. School of Materials Science and Engineering, Zhengzhou University, Zhengzhou 450001, China
    2. Luoyang Industrial Technology Research Institute, Zhengzhou University, Luoyang 471100, China
    3. Henan Academy of Sciences, Zhengzhou 450046, China
  • Received:2025-05-20 Revised:2025-06-30 Published:2026-01-20 Online:2025-07-20
  • Contact: CHEN Mao, associate professor. E-mail: mchen@zzu.edu.cn;
    FAN Bingbing, professor. E-mail: fanbingbing@zzu.edu.cn
  • About author:MA Xinchao (2004-), male, undergraduate. E-mail: 2848489094@qq.com
  • Supported by:
    Excellent Youth Foundation of Henan Scientific Committee(242300421009);Key Research and Development Projects of Henan Province(251111232100)

Abstract:

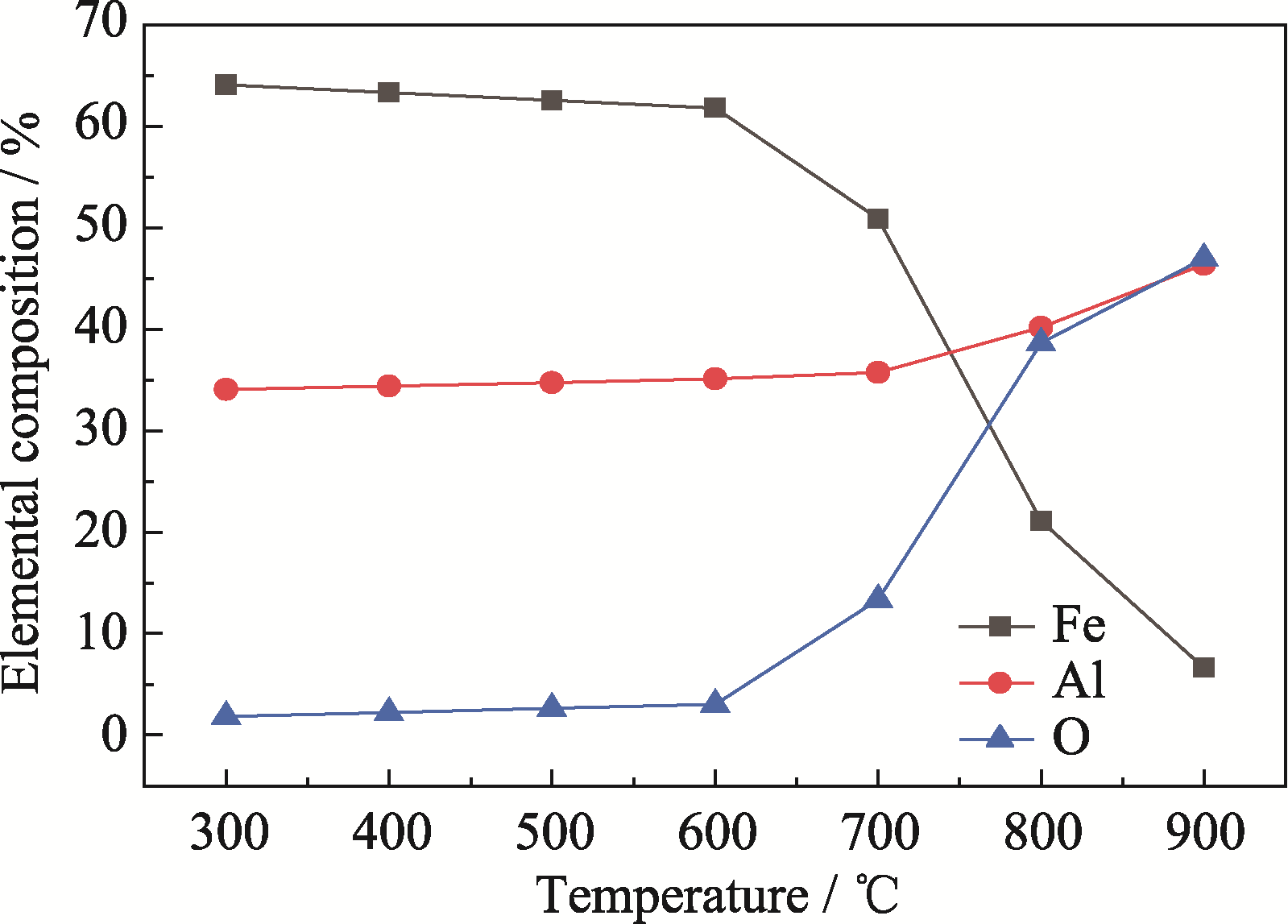
Traditional wave-absorbing materials often exhibit performance limitations at high temperatures, which makes it difficult to meet performance demands in extreme high-temperature environments. Fe2AlB2 has garnered significant attention in the field of high-temperature wave absorption due to its nano-layered structure and exceptional high-temperature stability. This study synthesized Fe2AlB2 powder through a wet ball milling process followed by sintering in an argon atmosphere. Investigation was conducted to elucidate the oxidation mechanisms and to assess the evolution of its wave-absorbing properties at elevated temperatures. Additionally, electromagnetic simulation software was utilized to model the radar cross-section associated with its absorption process under 7 GHz microwave irradiation. The results indicate that the onset oxidation temperature of Fe2AlB2 is 671 ℃. As the oxidation temperature increases, a dense Al2O3 protective film forms on its surface, significantly enhancing its oxidation resistance. Beyond 1000 ℃, this Al2O3 film fractures, leading to transformation of the primary phases into Fe2O3, Al4B2O9 and amorphous B2O3. Within the oxidation temperature range of 300-800 ℃, the wave absorption performance of the sample progressively improves with increasing oxidation temperature, exhibiting particularly outstanding dielectric loss capabilities around 10 GHz. At an oxidation temperature of 900 ℃, the sample achieves a reflection loss of -42.60 dB at a frequency of 11.28 GHz, with corresponding a thickness of 2.8 mm. The Al2O3 film significantly enhances dielectric loss efficiency by inducing interfacial polarization loss at the "oxide film-matrix" interface. This study elucidates that oxidation mechanisms of Fe2AlB2 at varying temperatures and examines consequent impacts on wave-absorbing properties, thereby providing a theoretical foundation for its application in high-temperature wave-absorbing environments.

Key words: Fe2AlB2, oxidation resistance, wave-absorbing property, high-temperature stability

CLC Number: