Journal of Inorganic Materials ›› 2016, Vol. 31 ›› Issue (6): 641-646.DOI: 10.15541/jim20150562
• Orginal Article • Previous Articles Next Articles
JIANG Jun, YAO Bo-Long, GAO Xv-Rui, WANG Li-Kui, LI Hong-Ping, DENG Li-Duo
Received:2015-11-17
Revised:2015-12-30
Published:2016-06-20
Online:2016-05-19
About author:JIANG Jun. E-mail: jiangjun428@126.com
Supported by:CLC Number:
JIANG Jun, YAO Bo-Long, GAO Xv-Rui, WANG Li-Kui, LI Hong-Ping, DENG Li-Duo. Synthesis and Optical Properties of Copper Doped Y2Ba2O5 Pigments with High Near-infrared Reflectance[J]. Journal of Inorganic Materials, 2016, 31(6): 641-646.
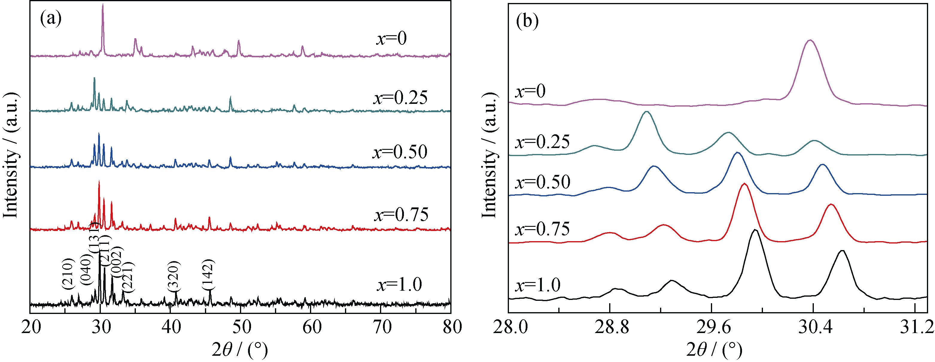
| Pigment composition Y2Ba(2-x)CuxO5 | Lattice parameter/nm | Crystallite size /nm | ||
|---|---|---|---|---|
| a | b | c | ||
| x=0 | 0.4377 1.2210 1.2201 1.2183 1.2176 | 0.4377 | 1.1852 | 62.1 61.0 59.8 56.5 54.7 |
| x=0.25 | 0.5602 | 0.7121 | ||
| x=0.50 | 0.5629 | 0.7124 | ||
| x=0.75 | 0.5642 | 0.7129 | ||
| x=1.0 | 0.5655 | 0.7130 | ||
Table 1 Lattice parameters and crystallite size of the Y2Ba(2-x)CuxO5(x=0-1.0) powder
| Pigment composition Y2Ba(2-x)CuxO5 | Lattice parameter/nm | Crystallite size /nm | ||
|---|---|---|---|---|
| a | b | c | ||
| x=0 | 0.4377 1.2210 1.2201 1.2183 1.2176 | 0.4377 | 1.1852 | 62.1 61.0 59.8 56.5 54.7 |
| x=0.25 | 0.5602 | 0.7121 | ||
| x=0.50 | 0.5629 | 0.7124 | ||
| x=0.75 | 0.5642 | 0.7129 | ||
| x=1.0 | 0.5655 | 0.7130 | ||
| Pigment Y2Ba(2-x)CuxO5 | Color coordinates | Band gap /eV | |||
|---|---|---|---|---|---|
| L* | a* | b* | C* | ||
| x=0 | 90.83 | -1.76 | 12.68 | 12.76 | 2.30 2.16 2.08 2.04 2.04 |
| x=0.25 | 58.13 | -13.83 | 11.37 | 17.90 | |
| x=0.50 | 56.40 | -17.09 | 10.29 | 19.95 | |
| x=0.75 | 54.03 | -18.67 | 11.53 | 21.94 | |
| x=1.0 | 51.86 | -21.61 | 4.50 | 22.07 | |
Table 2 Color coordinates and band gap of the Y2Ba(2-x)CuxO5(x=0-1.0) powder pigments
| Pigment Y2Ba(2-x)CuxO5 | Color coordinates | Band gap /eV | |||
|---|---|---|---|---|---|
| L* | a* | b* | C* | ||
| x=0 | 90.83 | -1.76 | 12.68 | 12.76 | 2.30 2.16 2.08 2.04 2.04 |
| x=0.25 | 58.13 | -13.83 | 11.37 | 17.90 | |
| x=0.50 | 56.40 | -17.09 | 10.29 | 19.95 | |
| x=0.75 | 54.03 | -18.67 | 11.53 | 21.94 | |
| x=1.0 | 51.86 | -21.61 | 4.50 | 22.07 | |
| Pigment Y2Ba(2-x)CuxO5 | x=0 | x=0.25 | x=0.50 | x=0.75 | x=1.0 |
|---|---|---|---|---|---|
| NIR reflectance/% | 85.87 | 70.53 | 68.80 | 67.32 | 56.38 |
| Solar reflectance, R*/% | 63.78 | 47.49 | 45.95 | 42.07 | 38.83 |
Table 3 Values of NIR reflectance and solar reflectance of Y2Ba(2-x)CuxO5(x=0-1.0) powder pigments
| Pigment Y2Ba(2-x)CuxO5 | x=0 | x=0.25 | x=0.50 | x=0.75 | x=1.0 |
|---|---|---|---|---|---|
| NIR reflectance/% | 85.87 | 70.53 | 68.80 | 67.32 | 56.38 |
| Solar reflectance, R*/% | 63.78 | 47.49 | 45.95 | 42.07 | 38.83 |
| [1] | VISHNU V S, REDDY M L.Near-infrared reflecting inorganic pigments based on molybdenum and praseodymium doped yttrium cerate: Synthesis, characterization and optical properties.Solar Energy Materials and Solar Cells, 2011, 95(9): 2685-2692. |
| [2] | JOSE S, REDDY M L.Lanthanum-strontium copper silicates as intense blue inorganic pigments with high near-infrared reflectance.Dyes and Pigments, 2013, 98(3): 540-546. |
| [3] | WANG D, SU D, ZHONG M.Chromatic and near-infrared reflective properties of Fe3+ doped KZnPO4.Solar Energy, 2014, 110: 1-6. |
| [4] | MASUI T, HONDA T, IMANAKA N.Novel and environmentally friendly (Bi, Ca, Zn) VO4 yellow pigments.Dyes and Pigments, 2013, 99(3): 636-641. |
| [5] | KE S, WANG Y, PAN Z.Synthesis of Nd2Si2O7 ceramic pigment with LiCl as a mineralizer and its color property.Dyes and Pigments, 2014, 108: 98-105. |
| [6] | GEORGE G, VISHNU V S, REDDY M L P. The synthesis, characterization and optical properties of silicon and praseodymium doped Y6MoO12 compounds: environmentally benign inorganic pigments with high NIR reflectance.Dyes and Pigments, 2011, 88(1): 109-115. |
| [7] | GEORGE G, KUMARI L S, VISHNU V S, et al.Synthesis and characterization of environmentally benign calcium-doped Pr2Mo2O9 pigments: applications in coloring of plastics.Journal of Solid State Chemistry, 2008, 181(3): 487-492. |
| [8] | VISHNU V S, GEORGE G, DIVYA V, et al.Synthesis and characterization of new environmentally benign tantalum-doped Ce0.8Zr0.2O2 yellow pigments: applications in coloring of plastics.Dyes and Pigments, 2009, 82(1): 53-57. |
| [9] | SREERAM K J, KUMERESAN S, RADHIKA S, et al.Use of mixed rare earth oxides as environmentally benign pigments.Dyes and Pigments, 2008, 76(1): 243-248. |
| [10] | RAJ A K V, RAO P P, SAMEERA S, et al. Pigments based on terbium-doped yttrium cerate with high NIR reflectance for cool roof and surface coating applications. Dyes and Pigments, 2015, 122: 116-125. |
| [11] | KRUAEHONG T.Electrical properties and crystal structure of Y123, Y358 and Y257/Y211 composite bulk superconductors.International Journal of Physical Sciences, 2014, 9(16): 360-367. |
| [12] | SHI Y, HASAN T, BABU N H, et al.Synthesis of YBa2Cu3O7-δ and Y2BaCuO5 nanocrystalline powders for YBCO superconductors using carbon nanotube templates.ACS Nano, 2012, 6(6): 5395-5403. |
| [13] | NAMBURI D K, SHI Y, PALMER K G, et al.An improved top seeded infiltration growth method for the fabrication of Y-Ba-Cu-O bulk superconductors.Journal of the European Ceramic Society, 2016, 36(3): 615-624. |
| [14] | GEORGE G.The structural and optical studies of titanium doped rare earth pigments and coloring applications.Dyes and Pigments, 2015, 112: 81-85. |
| [15] | RAJ A K V, RAO P P, SAMEERA S, et al. Pigments based on terbium-doped yttrium cerate with high NIR reflectance for cool roof and surface coating applications.Dyes and Pigments, 2015, 122: 116-125. |
| [16] | HAN A, YE M, ZHAO M, et al.Crystal structure, chromatic and near-infrared reflective properties of iron doped YMnO3 compounds as colored cool pigments.Dyes and Pigments, 2013, 99(3): 527-530. |
| [17] | VISINESCU D, PARASCHIV C, IANCULESCU A, et al.The environmentally benign synthesis of nano-sized CoxZn1-xAl2O4 blue pigments.Dyes and Pigments, 2010, 87(2): 125-131. |
| [18] | RADHIKA S, SREERAM K J, NAIR B U.Effective synthesis route for red-brown pigments based on Ce-Pr-Fe-O and their potential application for near infrared reflective surface coating.Journal of Chemical Sciences, 2014, 126(1): 65-73. |
| [19] | DILAWAR N, MEHROTRA S, VARANDANI D, et al.A Raman spectroscopic study of C-type rare earth sesquioxides.Materials Characterization, 2008, 59(4): 462-467. |
| [20] | ABRASHEV M V, TODOROV N D, GESHEV J.Raman spectra of R2O3 (R-rare earth) sesquioxides with C-type bixbyite crystal structure: a comparative study.Journal of Applied Physics, 2014, 116(10): 103508. |
| [21] | THONGKANLUANG T, KITTIAUCHAWAL T, LIMSUWAN P.Preparation and characterization of Cr2O3-TiO2-Al2O3-V2O5 green pigment.Ceramics International, 2011, 37(2): 543-548. |
| [1] | SHEN Bin, ZHANG Xu, XIONG Huai, LI Haiyuan, XIE Xinglong. Preparation and Optical Properties of Sol-Gel SiO2 Antireflective Films [J]. Journal of Inorganic Materials, 2024, 39(5): 525-530. |
| [2] | LI La, SHEN Guozhen. 2D MXenes Based Flexible Photodetectors: Progress and Prospects [J]. Journal of Inorganic Materials, 2024, 39(2): 186-194. |
| [3] | DAI Le, LIU Yang, GAO Xuan, WANG Shuhao, SONG Yating, TANG Mingmeng, DMITRY V Karpinsky, LIU Lisha, WANG Yaojin. Self-polarization Achieved by Compositionally Gradient Doping in BiFeO3 Thin Films [J]. Journal of Inorganic Materials, 2024, 39(1): 99-106. |
| [4] | ZHANG Shouchao, CHEN Hongyu, LIU Hongfei, YANG Yu, LI Xin, LIU Defeng. High Temperature Recovery of Neutron Irradiation-induced Swelling and Optical Property of 6H-SiC [J]. Journal of Inorganic Materials, 2023, 38(6): 678-686. |
| [5] | JIA Yuna, CAO Xu, JIAO Xiuling, CHEN Dairong. Preparation of Alumina Ceramic Continuous Fibers with Inorganic Acidic Aluminum Sol as Precursor [J]. Journal of Inorganic Materials, 2023, 38(11): 1257-1264. |
| [6] | MAN Xin, WU Nan, ZHANG Mu, HE Hongliang, SUN Xudong, LI Xiaodong. Lu2O3-MgO Nano-powder: Synthesis and Fabrication of Composite Infrared Transparent Ceramics [J]. Journal of Inorganic Materials, 2021, 36(12): 1263-1269. |
| [7] | YANG Conggang, MI Le, FENG Aihu, YU Yang, SUN Dazhi, YU Yun. Synthesis and Performance of KH-560 Modified SiO2 Insulation Coating [J]. Journal of Inorganic Materials, 2021, 36(12): 1343-1348. |
| [8] | ZHU Ben-Bi,ZHANG Wang,ZHANG Zhi-Jian,ZHANG Jian-Zhong,IMRAN Zada,ZHANG Di. Photothermal Enhanced Photocatalytic Properties of Titanium Dioxide (B)/Glass Fiber Cloth [J]. Journal of Inorganic Materials, 2019, 34(9): 961-966. |
| [9] | Shao-Dan ZHANG, Wei-Wei BAO, Hai-Ping MA. Near-infrared Reflective Pigments Based on Cu 2+ and Tb 3+ Codoped BaZrO3: Preparation and Performance [J]. Journal of Inorganic Materials, 2019, 34(6): 599-604. |
| [10] |
LIU Qian, ZHOU Zhen-Zhen.
Progress in Activated-synthesis of Si-based Oxynitrides Materials at Low Temperatures [J]. Journal of Inorganic Materials, 2018, 33(2): 129-137. |
| [11] | WEI Jing, LI Han-Chao, KE Pei-Ling, WANG Ai-Ying. Characterization of Tetrahedral Amorphous Carbon Film with Various Thickness by High Through-put Method [J]. Journal of Inorganic Materials, 2018, 33(11): 1173-1178. |
| [12] | ZHAO Hui-Yue, WANG Xiao-Dong, FENG Jian-Bin, LIU Yuan, HUANG Ji-Chen, SHEN Jun. Environmental Stable SiO2 Antireflective Coating Modified via NH3/HTMS Vapor Phase Treatment [J]. Journal of Inorganic Materials, 2018, 33(11): 1219-1224. |
| [13] | XU Jia-Yue, LIANG Xiao-Xiao, JIN Min, ZENG Hai-Bo, KIMURA Hideo, HU Hao-Yang, SHAO He-Zhu, SHEN Hui, TIAN Tian, LI Hai-Xia. Growth and Characterization of All-inorganic Perovskite CsPbBr3 Crystal by a Traveling Zone Melting Method [J]. Journal of Inorganic Materials, 2018, 33(11): 1253-1258. |
| [14] | HE Fei, LI Ya, LUO Jin, FANG Min-Han, HE Xiao-Dong. Development of SiO2/C and SiC/C Composites Featuring Aerogel Structures [J]. Journal of Inorganic Materials, 2017, 32(5): 449-458. |
| [15] | LU Shu-Juan, WANG Chang, ZHAO Bo-Wen, WANG Hao, LIU Jing-Bing, YAN Hui. Electrochromic Properties of PEG-modified Tungsten Oxide Thin Films [J]. Journal of Inorganic Materials, 2017, 32(2): 185-190. |
| Viewed | ||||||
|
Full text |
|
|||||
|
Abstract |
|
|||||