Journal of Inorganic Materials ›› 2026, Vol. 41 ›› Issue (1): 96-104.DOI: 10.15541/jim20250077
• RESEARCH ARTICLE • Previous Articles Next Articles
JIANG Niyu1(
), SUN Haochen1, LIN Mingmei1, WANG Dingyuan2, LIU Laijun1(
)
Received:2025-02-22
Revised:2025-04-04
Published:2026-01-20
Online:2025-05-09
Contact:
LIU Laijun, professor. E-mail: ljliu2@163.comAbout author:JIANG Niyu (2004-), female, Master candidate. E-mail: nyjiang6271@163.com
Supported by:CLC Number:
JIANG Niyu, SUN Haochen, LIN Mingmei, WANG Dingyuan, LIU Laijun. Electrocaloric Effect of Lead Magnesium Niobate-lead Titanate (PMN-PT) Ceramics[J]. Journal of Inorganic Materials, 2026, 41(1): 96-104.
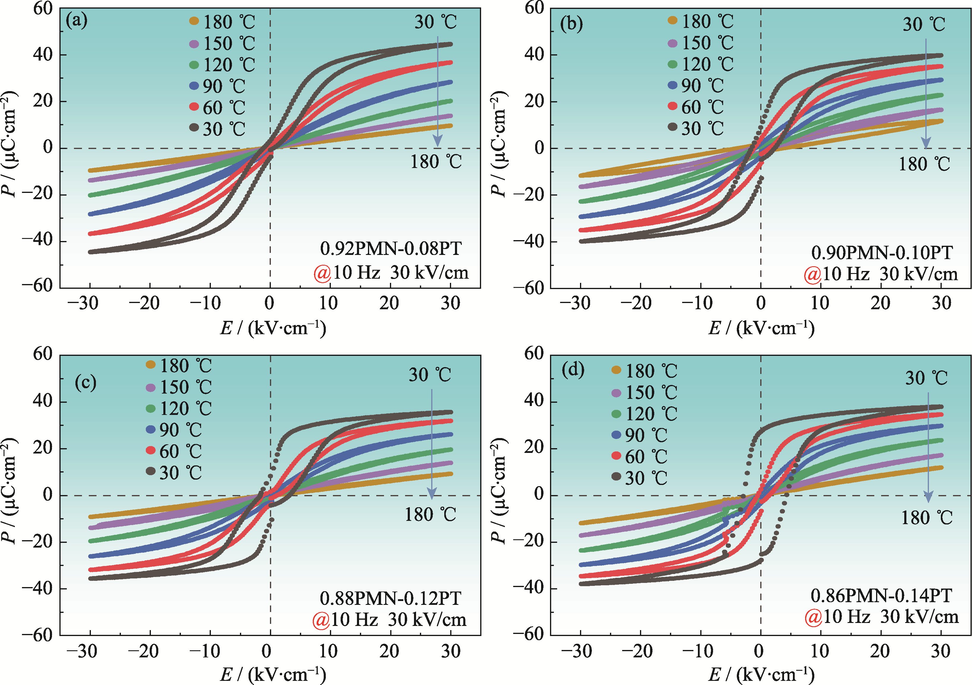
Fig. 6 Evolution of P-E loops in the range of 30-180 ℃ in an applied electric field of 30 kV/cm for (1-x)PMN-xPT ceramics (a) x=0.08; (b) x=0.10; (c) x=0.12; (d) x=0.14
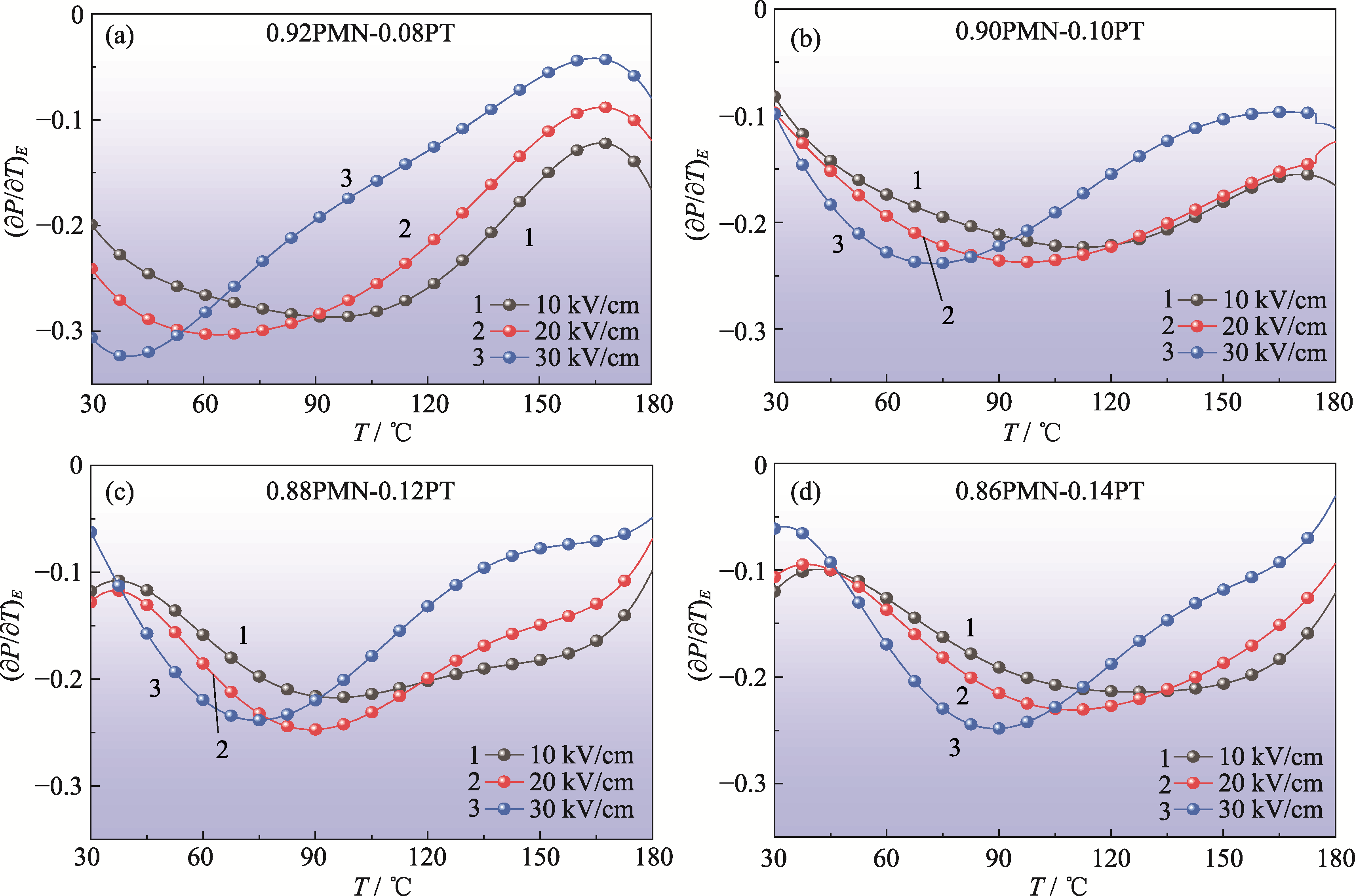
Fig. 7 Temperature dependence of pyroelectric coefficient (∂P/∂T)E in selected electric fields for (1-x)PMN-xPT ceramics (a) x=0.08; (b) x=0.10; (c) x=0.12; (d) x=0.14
Fig. 8 Temperature dependence of ΔT in the electric field range of 10-30 kV/cm for (1-x)PMN-xPT ceramics (a) x=0.08; (b) x=0.10; (c) x=0.12; (d) x=0.14
Fig. 9 Electrocaloric properties of 0.88PMN-0.12PT ceramics in an applied electric field of 50 kV/cm (a) Evolution of P-E loops from 30 ℃ to 180 ℃; (b) Temperature dependence of pyroelectric coefficient (∂P⁄∂T)E; (c) Temperature dependence of ΔT
| [1] |
MISCHENKO A, ZHANG Q, SCOTT J F, et al. Giant electrocaloric effect in thin-film PbZr0.95Ti0.05O3. Science, 2006, 311(5765): 1270.
DOI URL |
| [2] |
LU S G, LI D D, LIN X W, et al. Influence of electric field on the phenomenological coefficient and electrocaloric strength in ferroelectrics. Acta Physica Sinica, 2020, 69(12): 127701.
DOI URL |
| [3] |
GSCHNEIDNER K A, PECHARSKY V K, TSOKOL A O.Recent developments in magnetocaloric materials. Reports on Progress in Physics, 2005, 68(6): 1479.
DOI URL |
| [4] |
SCOTT J F. Applications of modern ferroelectrics. Science, 2007, 315(5814): 954.
PMID |
| [5] |
TANG H, NIU X, YANG Z P, et al. Giant electrocaloric effect enhancement due to the polarization flip and influence of Mn4+ doping on the dielectric, ferroelectric properties in 0.7BiFeO3- 0.3BaTiO3 ceramics. Acta Physica Sinica, 2022, 71(14): 147701.
DOI URL |
| [6] |
MAÑOSA L, PLANES A, ACET M. Advanced materials for solid-state refrigeration. Journal of Materials Chemistry A, 2013, 1(16): 4925.
DOI URL |
| [7] |
BARMAN A, KAR-NARAYAN S, MUKHERJEE D. Caloric effects in perovskite oxides. Advanced Materials Interfaces, 2019, 6(15): 1900291.
DOI URL |
| [8] |
CHEN J Y, LEI L P, FANG G. Elastocaloric cooling of shape memory alloys: a review. Materials Today Communications, 2021, 28: 102706.
DOI URL |
| [9] | ZHANG C, CEN F J, XIAO W R, et al. Electrocaloric effect of ferroelectric ceramic and its application. Journal of the Chinese Ceramic Society, 2022, 50(3): 642. |
| [10] |
HU H L, ZHANG F, LUO S B, et al. Electrocaloric effect in relaxor ferroelectric polymer nanocomposites for solid-state cooling. Journal of Materials Chemistry A, 2020, 8(33): 16814.
DOI URL |
| [11] |
MOYA X, KAR-NARAYAN S, MATHUR N D. Caloric materials near ferroic phase transitions. Nature Materials, 2014, 13(5): 439.
DOI PMID |
| [12] |
GRÜNEBOHM A, MA Y B, MARATHE M, et al. Origins of the inverse electrocaloric effect. Energy Technology, 2018, 6(8): 1491.
DOI PMID |
| [13] |
HU Q Y, TIAN Y, ZHU Q S, et al. Achieve ultrahigh energy storage performance in BaTiO3-Bi(Mg1/2Ti1/2)O3 relaxor ferroelectric ceramics via nano-scale polarization mismatch and reconstruction. Nano Energy, 2020, 67: 104264.
DOI URL |
| [14] | VALASEK J. Piezo-electric and allied phenomena in rochelle salt. Rochelle Salt, 1921, 17(4): 475. |
| [15] |
ZHANG L L, HUANG Y N. Theory of relaxor-ferroelectricity. Scientific Reports, 2020, 10: 5060.
DOI |
| [16] |
MOYA X, STERN-TAULATS E, CROSSLEY S, et al. Giant electrocaloric strength in single-crystal BaTiO3. Advanced Materials, 2013, 25(9): 1360.
DOI URL |
| [17] |
ZHANG Y, ZHANG J, ZHANG N, et al. Hierarchical compositional ordering in lead-based perovskite relaxors. Physical Review B, 2023, 107(5): 054101.
DOI URL |
| [18] | JAFFE B, COOK W R, JAFFE H. Piezoelectric ceramics. New York and London: Academic Press, 1971: ix+317. |
| [19] |
CHOI S W, SHROUT R T R, JANG S J, et al. Dielectric and pyroelectric properties in the Pb(Mg1/3Nb2/3)O3-PbTiO3 system. Ferroelectrics, 1989, 100: 29.
DOI URL |
| [20] |
WU H H, COHEN R E. Electric-field-induced phase transition and electrocaloric effect in PMN-PT. Physical Review B, 2017, 96(5): 054116.
DOI URL |
| [21] |
VRABELJ M, URŠIČ H, KUTNJAK Z, et al. Large electrocaloric effect in grain-size-engineered 0.9Pb(Mg1/3Nb2/3)O3-0.1PbTiO3. Journal of the European Ceramic Society, 2016, 36(1): 75.
DOI URL |
| [22] |
BRADEŠKO A, VRABELJ M, FULANOVIĆ L, et al. Implications of acceptor doping in the polarization and electrocaloric response of 0.9Pb(Mg1/3Nb2/3)O3-0.1PbTiO3 relaxor ferroelectric ceramics. Journal of Materials Chemistry C, 2021, 9(9): 3204.
DOI URL |
| [23] |
SUN E W, CAO W W. Relaxor-based ferroelectric single crystals: growth, domain engineering, characterization and applications. Progress in Materials Science, 2014, 65: 124.
PMID |
| [24] |
HO J C, LIU K S, LIN I N. Study of ferroelectricity in the PMN-PT system near the morphotropic phase boundary. Journal of Materials Science, 1993, 28(16): 4497.
DOI URL |
| [25] |
SUH D H, LEE D H, KIM N K. Phase developments and dielectric/ferroelectric responses in the PMN-PT system. Journal of the European Ceramic Society, 2002, 22(2): 219.
DOI URL |
| [26] |
SHVARTSMAN V V, LUPASCU D C. Lead-free relaxor ferroelectrics. Journal of the American Ceramic Society, 2012, 95(1): 1.
DOI URL |
| [27] |
VIEHLAND D, JANG S J, CROSS L E, et al. Deviation from Curie-Weiss behavior in relaxor ferroelectrics. Physical Review B, 1992, 46(13): 8003.
PMID |
| [28] |
BOKOV A A, YE Z G. Phenomenological description of dielectric permittivity peak in relaxor ferroelectrics. Solid State Communications, 2000, 116(2): 105.
DOI URL |
| [29] |
MACKEVICIUTE R, GRIGALAITIS R, BANYS J, et al. Electrical properties of PMN-33PT thin film at MPB. Ferroelectrics, 2017, 512(1): 1.
DOI URL |
| [30] |
HAN F X, QIN Y L, ZHANG Y C, et al. Domain configuration and domain switching in Dy-doped 0.72PMN-0.28PT piezoceramics with high d33 coefficient. Ceramics International, 2022, 48(16): 23061.
DOI URL |
| [31] |
LIU G, YU W Z, WANG Y, et al. Electrocaloric effect of (Ba1-xSrx)(HfxTi1-x)O3 lead-free ferroelectric ceramics with phase structure regulation. Ceramics International, 2023, 49(22): 34387.
DOI URL |
| [32] |
SMIRNOVA E, SOTNIKOVA G, SOTNIKOV A, et al. Peculiarities of the electrocaloric effect in relaxors. Journal of Materiomics, 2023, 9(1): 223.
DOI URL |
| [33] |
LI J J, YIN R W, LI J T, et al. Correlation between multi-factor phase diagrams and complex electrocaloric behaviors in PNZST antiferroelectric ceramic system. Journal of Advanced Ceramics, 2023, 12(3): 463.
DOI URL |
| [34] | CHENG L Q, YAN Y K, LI X T, et al. Electrocaloric performance of multilayer ceramic chips: effect of geometric structure induced internal stress. ACS Applied Materials & Interfaces, 2021, 13(32): 38508. |
| [35] |
GE P Z, JIAN X D, LIN X G, et al. Composition dependence of giant electrocaloric effect in PbxSr1-xTiO3 ceramics for energy- related applications. Journal of Materiomics, 2019, 5(1): 118.
DOI URL |
| [36] | KRUPSKA-KLIMCZAK M, FATHABAD S M, KAJEWSKI D, et al. Dielectric, piezoelectric, ferroelectric, and electrocaloric properties of Ba, Sr-doped PZT. Ceramics International, 2025, 54(14): 19649. |
| [37] |
MENSUR-ALKOY E, OKATAN M B, AYDIN E, et al. Effect of texture on the electrical and electrocaloric properties of 0.90Pb(Mg1/3Nb2/3)O3-0.10PbTiO3 relaxor ceramics. Journal of Applied Physics, 2020, 128(8): 084102.
DOI URL |
| [38] |
URŠIČ H, PRAH U, ROJAC T, et al. High radiation tolerance of electrocaloric (1-x)Pb(Mg1/3Nb2/3)O3-xPbTiO3. Journal of the European Ceramic Society, 2022, 42(13): 5575.
DOI URL |
| [39] |
SARKAR A, ŠADL M, JAZBEC A, et al. Influence of neutron and gamma irradiation on the electrocaloric properties of Mn-doped 0.9Pb(Mg1/3Nb2/3)O3-0.1PbTiO3 ceramics. Journal of Physics: Energy, 2023, 5(4): 045006.
DOI |
| [40] |
CHENG L Q, MA Z H, LU J T, et al. Grain-orientation-engineered PMN-10PT ceramics for electrocaloric applications. Journal of the American Ceramic Society, 2022, 106(2): 1194.
DOI URL |
| [41] |
LI J H, LIN J X, LI F, et al. Temperature-insensitive large electrocaloric effect near room temperature in La3+-doped lead magnesium niobate-lead titanate ceramics. Ceramics International, 2020, 46(6): 8391.
DOI URL |
| [1] | DONG Chenyu, ZHENG Weijie, MA Yifan, ZHENG Chunyan, WEN Zheng. Characterizations by Piezoresponse Force Microscopy on Relaxor Properties of Pb(Mg,Nb)O3-PbTiO3 Ultra-thin Films [J]. Journal of Inorganic Materials, 2025, 40(6): 675-682. |
| [2] | LIU Song, ZHANG Faqiang, LUO Jin, LIU Zhifu. 0.9BaTiO3-0.1Bi(Mg1/2Ti1/2)O3 Ferroelectric Thin Films: Preparation and Energy Storage [J]. Journal of Inorganic Materials, 2024, 39(3): 291-298. |
| [3] | WU Ming, XIAO Yanan, LI Huaqiang, LIU Yongbin, GAO Jinghui, ZHONG Lisheng, LOU Xiaojie. Negative Electrocaloric Effects in Antiferroelectric Materials: a Review [J]. Journal of Inorganic Materials, 2022, 37(4): 376-386. |
| [4] | YU Ying, DU Hongliang, YANG Zetian, JIN Li, QU Shaobo. Electrocaloric Effect of Lead-free Bulk Ceramics: Current Status and Challenges [J]. Journal of Inorganic Materials, 2020, 35(6): 633-646. |
| [5] | HAN Liu-Yang, GUO Shao-Bo, YAN Shi-Guang, RÉMIENS Denis, WANG Gen-Shui, DONG Xian-Lin. Electrocaloric Effect in Pb0.3CaxSr0.7-xTiO3 Ceramics Near Room Temperature [J]. Journal of Inorganic Materials, 2019, 34(9): 1011-1014. |
| [6] | LIU Ying, LONG Xi-Fa. Growth and Characterization of a New Lead Lutetium Niobate with Lead Titanate Ferroelectric Crystal [J]. Journal of Inorganic Materials, 2014, 29(1): 47-51. |
| [7] | LU Sheng-Guo, TANG Xin-Gui, WU Shang-Hua, ZHANG Qi-Ming. Large Electrocaloric Effect in Ferroelectric Materials [J]. Journal of Inorganic Materials, 2014, 29(1): 6-12. |
| [8] | XU Qin, DING Shi-Hua, SONG Tian-Xiu, PENG Yong, WU Xiao-Liang. Study of Dielectric Relaxation Behavior of Co-doped BCZT Ceramics [J]. Journal of Inorganic Materials, 2013, 28(4): 441-446. |
| [9] | CUI Bin,TIAN Chang-Sheng,SHI Qi-Zhen. 0.80Pb(Mg1/3Nb2/3)O3-0.20PbTiO3 Ceramics Prepared by Semichemical Method [J]. Journal of Inorganic Materials, 2004, 19(6): 1313-1321. |
| [10] | XU Jia-Yue,TONG Jian,SHI Min-Li,LU Bao-Liang,ZHANG Ai-Qiong,FAN Shi-Ji. Growth and Electric Properties of Relaxor Ferroelectric Single Crystal PZNT93/7 [J]. Journal of Inorganic Materials, 2003, 18(2): 264-268. |
| [11] | LI Dong-Lin,WANG Ping-Chu,LUO Hao-Su,YIN Zhi-Wen. Optical Micoscope Study of 90° Ferroelectric Domain in 67 Pb(Mg1/3Nb2/3) O3-33PbTiO3 Solid Solution Single Crystal [J]. Journal of Inorganic Materials, 2000, 15(4): 678-684. |
| [12] | XU Gui--Sheng,LUO Hao-Su,XU Hai-Qing,QI Zhen-Yi,YIN Zhi-Wen. Domain Configuration Changing with Composition and Structure in PMNT Single Crystals [J]. Journal of Inorganic Materials, 2000, 15(2): 221-228. |
| [13] | WU Jian-Xin,ZHUANG Zhi-Qiang. Dielectric and Piezoelectric Characteristics at Dynamic and DC Bias State for PBLZT Relaxor Ferroelectric Ceramic [J]. Journal of Inorganic Materials, 2000, 15(1): 97-102. |
| [14] | LI Xin-Yuan,FENG Chu-De,LI Cheng-En,ZHUANG Zhi-Cheng. Effect of Heat Treatment on B site Ordering of Lead Magnesium Niobate Ferroelectric Ceramics [J]. Journal of Inorganic Materials, 1999, 14(4): 699-704. |
| [15] |
XIA Feng,YAO Xi.
退火处理对铅基弛豫型铁电体介电、压电性能的影响 [J]. Journal of Inorganic Materials, 1999, 14(1): 180-184. |
| Viewed | ||||||
|
Full text |
|
|||||
|
Abstract |
|
|||||