Journal of Inorganic Materials ›› 2025, Vol. 40 ›› Issue (11): 1300-1308.DOI: 10.15541/jim20240532
LIU Panpan1(
), YAO Peng1, LIU Xuzi1, QU Li2, ZENG Lu1, SONG Zhaohua1, JIAO Yi1(
), WANG Jianli1,2, CHEN Yaoqiang1,2
Received:2024-12-23
Revised:2025-04-19
Published:2025-11-20
Online:2025-05-09
Contact:
JIAO Yi, associate professor. E-mail: jiaoyiscu@163.comAbout author:LIU Panpan (2000-), male, Master candidate. E-mail: liupanpan@stu.scu.edu.cn
Supported by:CLC Number:
LIU Panpan, YAO Peng, LIU Xuzi, QU Li, ZENG Lu, SONG Zhaohua, JIAO Yi, WANG Jianli, CHEN Yaoqiang. MnOx/CeO2-ZrO2 Composite Oxides: Construction and Application in Soot Oxidation[J]. Journal of Inorganic Materials, 2025, 40(11): 1300-1308.
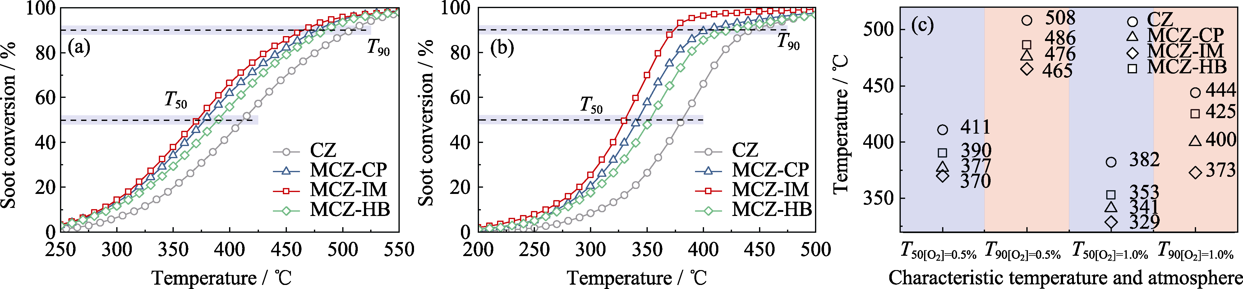
Fig. 1 Soot conversion, T50, and T90 of the catalysts under different oxygen concentrations with reaction conditions of flow rate at 500 mL/min and N2 balance (a, b) Soot conversion under (a) 0.5% and (b) 1.0% O2; (c) T50 and T90 under different oxygen concentrations
| Sample | Surface areaa /(m2•g-1) | Pore volumea /(mL•g-1) | Mean pore diametera /nm | Crystallinityb /% | Grain sizec /nm |
|---|---|---|---|---|---|
| CZ | 110.3 | 0.26 | 9.40 | 52.1 | 7.2 |
| MCZ-CP | 145.9 | 0.34 | 9.64 | 40.2 | 5.1 |
| MCZ-IM | 79.2 | 0.22 | 11.30 | 45.6 | 7.4 |
| MCZ-HB | 81.3 | 0.22 | 10.80 | 44.8 | 7.6 |
Table 1 Textural and structural properties of the prepared catalysts
| Sample | Surface areaa /(m2•g-1) | Pore volumea /(mL•g-1) | Mean pore diametera /nm | Crystallinityb /% | Grain sizec /nm |
|---|---|---|---|---|---|
| CZ | 110.3 | 0.26 | 9.40 | 52.1 | 7.2 |
| MCZ-CP | 145.9 | 0.34 | 9.64 | 40.2 | 5.1 |
| MCZ-IM | 79.2 | 0.22 | 11.30 | 45.6 | 7.4 |
| MCZ-HB | 81.3 | 0.22 | 10.80 | 44.8 | 7.6 |
| Sample | Mass fraction/% | |||
|---|---|---|---|---|
| O | Mn | Zr | Ce | |
| MCZ-CP | 24.38 | 2.98 | 22.44 | 50.20 |
| MCZ-IM | 24.13 | 7.54 | 23.14 | 45.18 |
| MCZ-HB | 21.52 | 1.03 | 24.58 | 52.87 |
Table 2 Surface elements composition of the catalysts
| Sample | Mass fraction/% | |||
|---|---|---|---|---|
| O | Mn | Zr | Ce | |
| MCZ-CP | 24.38 | 2.98 | 22.44 | 50.20 |
| MCZ-IM | 24.13 | 7.54 | 23.14 | 45.18 |
| MCZ-HB | 21.52 | 1.03 | 24.58 | 52.87 |
Fig. 6 Surface oxygen vacancies and active oxygen species of the samples (a) Raman spectra; (b-d) Ce3d (b), Mn2p (c), and O1s (d) XPS spectra; (e) DRIFTS spectra of O2 adsorption collected at 300 ℃; (f) Low-temperature EPR. Colorful figures are available on website
| Catalyst | Ce3+/Ce | Ce4+/Ce | Mn4+/Mn | (O22-+O2-)/OT | O2-/OT |
|---|---|---|---|---|---|
| CZ | 0.21 | 0.79 | — | 0.28 | 0.09 |
| MCZ-CP | 0.14 | 0.86 | 0.36 | 0.35 | 0.11 |
| MCZ-IM | 0.15 | 0.85 | 0.39 | 0.34 | 0.17 |
| MCZ-HB | 0.17 | 0.83 | 0.32 | 0.31 | 0.06 |
Table 3 Surface compositions and charge states of Ce, Mn and O species derived from XPS analysis
| Catalyst | Ce3+/Ce | Ce4+/Ce | Mn4+/Mn | (O22-+O2-)/OT | O2-/OT |
|---|---|---|---|---|---|
| CZ | 0.21 | 0.79 | — | 0.28 | 0.09 |
| MCZ-CP | 0.14 | 0.86 | 0.36 | 0.35 | 0.11 |
| MCZ-IM | 0.15 | 0.85 | 0.39 | 0.34 | 0.17 |
| MCZ-HB | 0.17 | 0.83 | 0.32 | 0.31 | 0.06 |
Fig. S1 Generated COx concentration of soot oxidation over the catalysts Reaction conditions: flow rate at 500 mL/min and N2 balance; [O2]: (a) 0.5% and (b) 1.0%
| Catalyst | Method | Reaction condition (gas and flow rate) | Heating rate/ (℃•min-1) | Catalyst and soot mass ratio | Contact mode | T50/Tmax/ ℃ | Ref. |
|---|---|---|---|---|---|---|---|
| MCZ-IM | Incipient wetness impregnation | 1% O2 | 5 | 10 : 1 | Tight | 329 | This work |
| 0.5% O2 (500 mL/min) | 370 | ||||||
| M10-CZ | Co-precipitation | 0.5% O2 (500 mL/min) | 5 | 10 : 1 | Loose | 520 | [S1] |
| Mn2O3 | Flame spray pyrolysis | 1% O2 + 2% H2O (500 mL/min) | 3.3 | 15 : 1 | Tight | 321 | [S4] |
| 10LM-CZ | Co-precipitation and citric acid complexation impregnation | 1% O2 (100 mL/min) | 5 | 10 : 1 | Tight | 362 | [S5] |
| 0.57Mn-CeO2 | Nitrate aerosol pyrolysis | 10% O2 (100 mL/min) | 10 | 4 : 1 | Tight | 355 | [S6] |
| 5 Mn-CP | Solution combustion synthesis | Air (100 mL/min) | 10 | 10 : 1 | Tight | 365 | [S7] |
| CM5 | EDTA-Citrate | Air (100 mL/min) | 10 | 10 : 1 | Tight | 360 | [S8] |
| Ce0.5Mn0.5O2 | Sol-gel | 12% O2 (100 mL/min) | 15 | 4 : 1 | Tight | 383 | [S9] |
| CMO_st | Solvothermal | - | 10 | 19 : 1 | Tight | 442 | [S10] |
| CM | Co-precipitation | Air (100 mL/min) | 10 | 4 : 1 | Tight | 396 | [S11] |
| CMC | Co-precipitation | Air (100 mL/min) | - | 4 : 1 | Tight | 363 | [S12] |
| Ce0.9Mn0.1 | Solid-phase grinding | 10% O2 (50 mL/min) | 10 | 10 : 1 | Tight | 389 | [S13] |
| Mn-Fib Ce | Plasma-assisted deposition | 18% O2 + 0.1%NO (20 mL/min) | 5 | 20 : 1 | Tight | 384 | [S14] |
Table S1 Comparison of catalytic activity with other studies
| Catalyst | Method | Reaction condition (gas and flow rate) | Heating rate/ (℃•min-1) | Catalyst and soot mass ratio | Contact mode | T50/Tmax/ ℃ | Ref. |
|---|---|---|---|---|---|---|---|
| MCZ-IM | Incipient wetness impregnation | 1% O2 | 5 | 10 : 1 | Tight | 329 | This work |
| 0.5% O2 (500 mL/min) | 370 | ||||||
| M10-CZ | Co-precipitation | 0.5% O2 (500 mL/min) | 5 | 10 : 1 | Loose | 520 | [S1] |
| Mn2O3 | Flame spray pyrolysis | 1% O2 + 2% H2O (500 mL/min) | 3.3 | 15 : 1 | Tight | 321 | [S4] |
| 10LM-CZ | Co-precipitation and citric acid complexation impregnation | 1% O2 (100 mL/min) | 5 | 10 : 1 | Tight | 362 | [S5] |
| 0.57Mn-CeO2 | Nitrate aerosol pyrolysis | 10% O2 (100 mL/min) | 10 | 4 : 1 | Tight | 355 | [S6] |
| 5 Mn-CP | Solution combustion synthesis | Air (100 mL/min) | 10 | 10 : 1 | Tight | 365 | [S7] |
| CM5 | EDTA-Citrate | Air (100 mL/min) | 10 | 10 : 1 | Tight | 360 | [S8] |
| Ce0.5Mn0.5O2 | Sol-gel | 12% O2 (100 mL/min) | 15 | 4 : 1 | Tight | 383 | [S9] |
| CMO_st | Solvothermal | - | 10 | 19 : 1 | Tight | 442 | [S10] |
| CM | Co-precipitation | Air (100 mL/min) | 10 | 4 : 1 | Tight | 396 | [S11] |
| CMC | Co-precipitation | Air (100 mL/min) | - | 4 : 1 | Tight | 363 | [S12] |
| Ce0.9Mn0.1 | Solid-phase grinding | 10% O2 (50 mL/min) | 10 | 10 : 1 | Tight | 389 | [S13] |
| Mn-Fib Ce | Plasma-assisted deposition | 18% O2 + 0.1%NO (20 mL/min) | 5 | 20 : 1 | Tight | 384 | [S14] |
| Sample | Element | Atomic fraction/% | Mass fraction/% | ||||||
|---|---|---|---|---|---|---|---|---|---|
| Area 1 | Area 2 | Area 3 | Average | Area 1 | Area 2 | Area 3 | Average | ||
| MCZ-CP | O | 62.48 | 66.22 | 69.82 | 66.17 | 21.55 | 24.14 | 27.45 | 24.38 |
| Mn | 2.49 | 2.85 | 2.92 | 2.75 | 2.52 | 3.06 | 3.37 | 2.98 | |
| Zr | 15.70 | 11.73 | 10.37 | 12.60 | 26.47 | 20.91 | 19.94 | 22.44 | |
| Ce | 19.33 | 19.20 | 16.89 | 18.47 | 49.45 | 51.90 | 49.24 | 50.20 | |
| MCZ-IM | O | 60.16 | 63.95 | 68.43 | 64.18 | 21.21 | 24.43 | 26.76 | 24.13 |
| Mn | 6.91 | 8.73 | 4.92 | 6.86 | 7.16 | 9.81 | 5.66 | 7.54 | |
| Zr | 16.25 | 12.07 | 9.86 | 12.73 | 28.02 | 22.54 | 18.86 | 23.14 | |
| Ce | 16.68 | 15.25 | 16.80 | 16.24 | 43.61 | 43.22 | 48.72 | 45.18 | |
| MCZ-HB | O | 61.05 | 65.04 | 63.64 | 63.24 | 20.63 | 22.36 | 21.58 | 21.52 |
| Mn | 0.89 | 0.91 | 1.30 | 1.03 | 0.88 | 0.92 | 1.30 | 1.03 | |
| Zr | 19.84 | 11.62 | 12.91 | 14.79 | 32.79 | 19.54 | 21.41 | 24.58 | |
| Ce | 18.23 | 22.43 | 22.15 | 20.94 | 45.70 | 57.19 | 55.71 | 52.87 | |
Table S2 Surface elements composition of the prepared catalysts
| Sample | Element | Atomic fraction/% | Mass fraction/% | ||||||
|---|---|---|---|---|---|---|---|---|---|
| Area 1 | Area 2 | Area 3 | Average | Area 1 | Area 2 | Area 3 | Average | ||
| MCZ-CP | O | 62.48 | 66.22 | 69.82 | 66.17 | 21.55 | 24.14 | 27.45 | 24.38 |
| Mn | 2.49 | 2.85 | 2.92 | 2.75 | 2.52 | 3.06 | 3.37 | 2.98 | |
| Zr | 15.70 | 11.73 | 10.37 | 12.60 | 26.47 | 20.91 | 19.94 | 22.44 | |
| Ce | 19.33 | 19.20 | 16.89 | 18.47 | 49.45 | 51.90 | 49.24 | 50.20 | |
| MCZ-IM | O | 60.16 | 63.95 | 68.43 | 64.18 | 21.21 | 24.43 | 26.76 | 24.13 |
| Mn | 6.91 | 8.73 | 4.92 | 6.86 | 7.16 | 9.81 | 5.66 | 7.54 | |
| Zr | 16.25 | 12.07 | 9.86 | 12.73 | 28.02 | 22.54 | 18.86 | 23.14 | |
| Ce | 16.68 | 15.25 | 16.80 | 16.24 | 43.61 | 43.22 | 48.72 | 45.18 | |
| MCZ-HB | O | 61.05 | 65.04 | 63.64 | 63.24 | 20.63 | 22.36 | 21.58 | 21.52 |
| Mn | 0.89 | 0.91 | 1.30 | 1.03 | 0.88 | 0.92 | 1.30 | 1.03 | |
| Zr | 19.84 | 11.62 | 12.91 | 14.79 | 32.79 | 19.54 | 21.41 | 24.58 | |
| Ce | 18.23 | 22.43 | 22.15 | 20.94 | 45.70 | 57.19 | 55.71 | 52.87 | |
| [1] | LIU S, FANG Z, WU X. CeO2-based materials for gasoline soot combustion: reaction mechanism and catalyst design. Journal of the Chinese Society of Rare Earths, 2022, 40(3): 351. |
| [2] |
LIU S, WU X D, TANG J, et al. An exploration of soot oxidation over CeO2-ZrO2 nanocubes: do more surface oxygen vacancies benefit the reaction? Catalysis Today, 2017, 281: 454.
DOI URL |
| [3] |
MATARRESE R. Catalytic materials for gasoline particulate filters soot oxidation. Catalysts, 2021, 11(8): 890.
DOI URL |
| [4] |
ZHAO M J, DENG J L, LIU J, et al. Roles of surface-active oxygen species on 3DOM cobalt-based spinel catalysts MxCo3-xO4 (M=Zn and Ni) for NOx-assisted soot oxidation. ACS Catalysis, 2019, 9(8): 7548.
DOI URL |
| [5] |
WANG X, JIN B F, FENG R X, et al. A robust core-shell silver soot oxidation catalyst driven by Co3O4: effect of tandem oxygen delivery and Co3O4-CeO2 synergy. Applied Catalysis B: Environmental, 2019, 250: 132.
DOI URL |
| [6] |
LI Y F, QIN T, WEI Y C, et al. A single site ruthenium catalyst for robust soot oxidation without platinum or palladium. Nature Communications, 2023, 14: 7149.
DOI PMID |
| [7] |
YU D, WANG L Y, ZHANG C L, et al. Alkali metals and cerium-modified La-co-based perovskite catalysts: facile synthesis, excellent catalytic performance, and reaction mechanisms for soot combustion. ACS Catalysis, 2022, 12(24): 15056.
DOI URL |
| [8] |
LIU S R, LUO S T, WU X D, et al. Application of silica-alumina as hydrothermally stable supports for Pt catalysts for acid-assisted soot oxidation. Rare Metals, 2023, 42(5): 1614.
DOI |
| [9] |
YU X H, REN Y, YU D, et al. Hierarchical porous K-OMS-2/ 3DOM-m Ti0.7Si0.3O2 catalysts for soot combustion: easy preparation, high catalytic activity, and good resistance to H2O and SO2. ACS Catalysis, 2021, 11(9): 5554.
DOI URL |
| [10] |
ZHU C X, DU S C, WANG S B, et al. PGM-free metal oxide nanoarray forests for water-promoted low-temperature soot oxidation. Applied Catalysis B: Environmental, 2024, 341: 123336.
DOI URL |
| [11] |
JIN B F, ZHAO B H, LIU S, et al. SmMn2O5 catalysts modified with silver for soot oxidation: dispersion of silver and distortion of mullite. Applied Catalysis B: Environmental, 2020, 273: 119058.
DOI URL |
| [12] |
LIU J X, YANG Z, ZHAI Y J, et al. High performance of PrMnO3 perovskite catalysts for low-temperature soot oxidation. Separation and Purification Technology, 2025, 354: 129227.
DOI URL |
| [13] |
YANG W N, WANG S M, LI K Z, et al. Highly selective α-Mn2O3 catalyst for cGPF soot oxidation: surface activated oxygen enhancement via selective dissolution. Chemical Engineering Journal, 2019, 364: 448.
DOI URL |
| [14] |
ZHAO Z, MA J, LI M, et al. Model Ag/CeO2 catalysts for soot combustion: roles of silver species and catalyst stability. Chemical Engineering Journal, 2022, 430: 132802.
DOI URL |
| [15] |
AWAD O I, MA X, KAMIL M, et al. Particulate emissions from gasoline direct injection engines: a review of how current emission regulations are being met by automobile manufacturers. Science of the Total Environment, 2020, 718: 137302.
DOI URL |
| [16] |
WANG X C, CHEN W H, HUANG Y H, et al. Advances in soot particles from gasoline direct injection engines: a focus on physical and chemical characterisation. Chemosphere, 2023, 311: 137181.
DOI URL |
| [17] |
KONTSES A, TRIANTAFYLLOPOULOS G, NTZIACHRISTOS L, et al. Particle number (PN) emissions from gasoline, diesel, LPG, CNG and hybrid-electric light-duty vehicles under real-world driving conditions. Atmospheric Environment, 2020, 222: 117126.
DOI URL |
| [18] |
NOSSOVA L, CARAVAGGIO G. Effect of dopants on soot oxidation over doped Ag/ZrO2 catalysts for catalyzed gasoline particulate filter. Catalysis Communications, 2023, 182: 106744.
DOI URL |
| [19] |
HERNÁNDEZ W Y, LOPEZ-GONZALEZ D, NTAIS S, et al. Silver-modified manganite and ferrite perovskites for catalyzed gasoline particulate filters. Applied Catalysis B: Environmental, 2018, 226: 202.
DOI URL |
| [20] |
YAO P, HUANG Y, JIAO Y, et al. Soot oxidation over Pt-loaded CeO2-ZrO2 catalysts under gasoline exhaust conditions: soot-catalyst contact efficiency and Pt chemical state. Fuel, 2023, 334: 126782.
DOI URL |
| [21] |
KUBO H, OHSHIMA Y, KATO S, et al. The effect of supported metal Species on soot oxidation over PGM/CeO2-ZrO2. Bulletin of the Chemical Society of Japan, 2024, 97(10): uoae092.
DOI URL |
| [22] |
LUO J B, ZHU X B, ZHONG Z W, et al. Enhanced catalytic soot oxidation over co-based metal oxides: effects of transition metal doping. Molecules, 2023, 29(1): 41.
DOI URL |
| [23] |
ZHANG P, MEI X L, ZHAO X C, et al. Boosting catalytic purification of soot particles over double perovskite-type La2-xKxNiCoO6 catalysts with an ordered macroporous structure. Environmental Science & Technology, 2021, 55(16): 11245.
DOI URL |
| [24] |
XIONG J X, ZHANG B J, LIANG Z F, et al. Highly reactive peroxide species promoted soot oxidation over an ordered macroporous Ce0.8Zr0.2O2 integrated catalyzed diesel particulate filter. Environmental Science & Technology, 2024, 58(18): 8096.
DOI URL |
| [25] |
HE J S, YAO P, QIU J, et al. Enhancement effect of oxygen mobility over Ce0.5Zr0.5O2 catalysts doped by multivalent metal oxides for soot combustion. Fuel, 2021, 286: 119359.
DOI URL |
| [26] |
DENG J, LI S S, XIONG L, et al. Preparation of nanostructured CeO2-ZrO2-based materials with stabilized surface area and their catalysis in soot oxidation. Applied Surface Science, 2020, 505: 144301.
DOI URL |
| [27] |
WANG L M, ZHAO N R, YIN X Y, et al. Highlights on the key roles of interfaces between CeO2-based oxide and perovskite (LaMnO3/LaFeO3) in creating active oxygen species for soot oxidation. Fuel, 2024, 356: 129444.
DOI URL |
| [28] |
ZHENG C L, MAO D J, XU Z Y, et al. Strong Ru-CeO2 interaction boosts catalytic activity and stability of Ru supported on CeO2 nanocube for soot oxidation. Journal of Catalysis, 2022, 411: 122.
DOI URL |
| [29] |
XIONG L, YAO P, LIU S, et al. Soot oxidation over CeO2-ZrO2 based catalysts: the influence of external surface and low- temperature reducibility. Molecular Catalysis, 2019, 467: 16.
DOI URL |
| [30] |
MISHRA U K, CHANDEL V S, SINGH O P, et al. Synthesis of CeO2 and Zr-doped CeO2 (Ce1-xZrxO2) catalyst by green synthesis for soot oxidation activity. Arabian Journal for Science and Engineering, 2023, 48(1): 771.
DOI |
| [31] |
LIU S, WU X D, WENG D, et al. Ceria-based catalysts for soot oxidation: a review. Journal of Rare Earths, 2015, 33(6): 567.
DOI URL |
| [32] |
LI Y F, QIN T, XIONG J, et al. Mn-modified near-surface atomic structure of CeO2 nanorods for promoting catalytic oxidation of auto-exhaust carbon particles. Chemical Engineering Science, 2023, 282: 119309.
DOI URL |
| [33] |
ZHAO H, ZHOU X X, WANG M, et al. Highly active MnOx-CeO2 catalyst for diesel soot combustion. RSC Advances, 2017, 7(6): 3233.
DOI URL |
| [34] |
ALINEZHADCHAMAZKETI A, KHODADADI A A, MORTAZAVI Y, et al. Catalytic evaluation of promoted CeO2-ZrO2 by transition, alkali, and alkaline-earth metal oxides for diesel soot oxidation. Journal of Environmental Sciences, 2013, 25(12): 2498.
DOI URL |
| [35] | XING L L, YANG Y X, CAO C M, et al. Decorating CeO2 nanoparticles on Mn2O3 nanosheets to improve catalytic soot combustion. ACS Sustainable Chemistry & Engineering, 2018, 6(12): 16544. |
| [36] |
YANG Y, FANG J, MENG Z W, et al. Catalytic activity and influence factors of Mn-Ce mixed oxides by hydrothermal method on diesel soot combustion. Molecular Catalysis, 2022, 524: 112334.
DOI URL |
| [37] |
SUN Y, FANG S Y, XU J C, et al. Unveiling the surface chemical reactions during multi-phase catalytic oxidation of soot on nanoengineering/interfacing/doping-prepared Mn-CeO2 catalysts using TG-MS and operando DRIFTS-MS. Langmuir, 2023, 39(44): 15773.
DOI URL |
| [38] |
ZHAO H, LI H C, PAN Z F, et al. Design of CeMnCu ternary mixed oxides as soot combustion catalysts based on optimized Ce/Mn and Mn/Cu ratios in binary mixed oxides. Applied Catalysis B: Environmental, 2020, 268: 118422.
DOI URL |
| [39] |
LI S S, DENG J, WANG J L, et al. Effects of thermal treatment conditions on redox properties of ceria-zirconia materials. Journal of Rare Earths, 2023, 41(12): 1969.
DOI URL |
| [40] |
YAO P, HE J S, JIANG X, et al. Factors determining gasoline soot abatement over CeO2-ZrO2-MnOx catalysts under low oxygen concentration condition. Journal of the Energy Institute, 2020, 93(2): 774.
DOI URL |
| [41] |
ZHANG H L, WANG J L, ZHANG Y H, et al. A study on H2-TPR of Pt/Ce0.27Zr0.73O2 and Pt/Ce0.27Zr0.70La0.03Ox for soot oxidation. Applied Surface Science, 2016, 377: 48.
DOI URL |
| [42] | WANG S N, WANG J L, HUA W B, et al. Designed synthesis of Zr-based ceria-zirconia-neodymia composite with high thermal stability and its enhanced catalytic performance for Rh-only three- way catalyst. Catalysis Science & Technology, 2016, 6(20): 7437. |
| [43] |
HE H, LIN X T, LI S J, et al. The key surface species and oxygen vacancies in MnOx(0.4)-CeO2 toward repeated soot oxidation. Applied Catalysis B: Environmental, 2018, 223: 134.
DOI URL |
| [44] |
WANG H L, LUO S T, ZHANG M S, et al. Roles of oxygen vacancy and Ox- in oxidation reactions over CeO2 and Ag/CeO2 nanorod model catalysts. Journal of Catalysis, 2018, 368: 365.
DOI URL |
| [45] |
XIONG J, WU Q Q, MEI X L, et al. Fabrication of spinel-type PdxCo3-xO4 binary active sites on 3D ordered meso-macroporous Ce-Zr-O2 with enhanced activity for catalytic soot oxidation. ACS Catalysis, 2018, 8(9): 7915.
DOI URL |
| [46] |
KHATUN R, PAL R S, SHOEB M A, et al. Generation of active oxygen species by CO2 dissociation over defect-rich Ni-Pt/CeO2 catalyst for boosting methane activation in low-temperature dry reforming: experimental and theoretical study. Applied Catalysis B: Environmental, 2024, 340: 123243.
DOI URL |
| [47] |
LIN X T, LI S J, HE H, et al. Evolution of oxygen vacancies in MnOx-CeO2 mixed oxides for soot oxidation. Applied Catalysis B: Environmental, 2018, 223: 91.
DOI URL |
| [48] |
ZHANG Z R, KANG R N, YI X K, et al. Migration roles of different oxygen species over Cu/CeO2 for propane and soot combustion. Separation and Purification Technology, 2024, 349: 127820.
DOI URL |
| [49] |
XU J W, ZHANG Y, XU X L, et al. Constructing La2B2O7 (B = Ti, Zr, Ce) compounds with three typical crystalline phases for the oxidative coupling of methane: the effect of phase structures, superoxide anions, and alkalinity on the reactivity. ACS Catalysis, 2019, 9(5): 4030.
DOI URL |
| [50] |
SUBBOTINA I R, BARSUKOV D V. Direct evidence of the key role of UV-formed peroxide species in photocatalytic gas-solid oxidation in air on anatase TiO2 particles. Physical Chemistry Chemical Physics, 2020, 22(4): 2200.
DOI URL |
| [51] | ZHANG M Y, DUAN X L, GAO Y, et al. Tuning oxygen vacancies in oxides by configurational entropy. ACS Applied Materials & Interfaces, 2023, 15(39): 45774. |
| [52] | MAO H F, XU M L, LI S J, et al. Accelerating surface lattice oxygen activation of Pt/TiO2-x by modulating the interface electron interaction for efficient photocatalytic toluene oxidation. ACS ES&T Engineering, 2023, 3(11): 1851. |
| [53] |
LOU D M, SONG G F, XU K W, et al. The oxidation performance of a carbon soot catalyst based on the Pt-Pd synergy effect. Energies, 2024, 17(7): 1737.
DOI URL |
| [1] | LIU Jiangping, GUAN Xin, TANG Zhenjie, ZHU Wenjie, LUO Yongming. Research Progress on Catalytic Oxidation of Nitrogen-containing Volatile Organic Compounds [J]. Journal of Inorganic Materials, 2025, 40(9): 933-943. |
| [2] | GUO Ziyu, ZHU Yunzhou, WANG Li, CHEN Jian, LI Hong, HUANG Zhengren. Effect of Zn2+ Catalyst on Microporous Structure of Porous Carbon Prepared from Phenolic Resin/Ethylene Glycol [J]. Journal of Inorganic Materials, 2025, 40(5): 466-472. |
| [3] | LI Jianjun, CHEN Fangming, ZHANG Lili, WANG Lei, ZHANG Liting, CHEN Huiwen, XUE Changguo, XU Liangji. Peroxymonosulfate Activation by CoFe2O4/MgAl-LDH Catalyst for the Boosted Degradation of Antibiotic [J]. Journal of Inorganic Materials, 2025, 40(4): 440-448. |
| [4] | XIN Zhenyu, GUO Ruihua, WUREN Tuoya, WANG Yan, AN Shengli, ZHANG Guofang, GUAN Lili. Pt-Fe/GO Nanocatalysts: Preparation and Electrocatalytic Performance on Ethanol Oxidation [J]. Journal of Inorganic Materials, 2025, 40(4): 379-387. |
| [5] | SUN Shujuan, ZHENG Nannan, PAN Haokun, MA Meng, CHEN Jun, HUANG Xiubing. Research Progress on Preparation Methods of Single-atom Catalysts [J]. Journal of Inorganic Materials, 2025, 40(2): 113-127. |
| [6] | LIU Huilai, LI Zhihao, KONG Defeng, CHEN Xing. Preparation of FePc/MXene Composite Cathode and Electro-Fenton Degradation of Sulfadimethoxine [J]. Journal of Inorganic Materials, 2025, 40(1): 61-69. |
| [7] | LI Na, CAO Ruixiao, WEI Jin, ZHOU Han, XIAO Hongmei. Performance and Influencing Factors of Iron-based Catalyst for Ortho to Para Hydrogen Conversion [J]. Journal of Inorganic Materials, 2025, 40(1): 47-52. |
| [8] | LIAN Minli, SU Jiaxin, HUANG Hongyang, JI Yuyin, DENG Haifan, ZHANG Tong, CHEN Chongqi, LI Dalin. Supported Ni Catalysts from Ni-Mg-Al Hydrotalcite-like Compounds:Preparation and Catalytic Performance for Ammonia Decomposition [J]. Journal of Inorganic Materials, 2025, 40(1): 53-60. |
| [9] | LIU Lei, GUO Ruihua, WANG Li, WANG Yan, ZHANG Guofang, GUAN Lili. Oxygen Reduction Reaction on Pt3Co High-index Facets by Density Functional Theory [J]. Journal of Inorganic Materials, 2025, 40(1): 39-46. |
| [10] | JIN Yuxiang, SONG Erhong, ZHU Yongfu. First-principles Investigation of Single 3d Transition Metals Doping Graphene Vacancies for CO2 Electroreduction [J]. Journal of Inorganic Materials, 2024, 39(7): 845-852. |
| [11] | YE Zibin, ZOU Gaochang, WU Qiwen, YAN Xiaomin, ZHOU Mingyang, LIU Jiang. Preparation and Performances of Tubular Cone-shaped Anode-supported Segmented-in-series Direct Carbon Solid Oxide Fuel Cell [J]. Journal of Inorganic Materials, 2024, 39(7): 819-827. |
| [12] | ZHANG Wenyu, GUO Ruihua, YUE Quanxin, HUANG Yarong, ZHANG Guofang, GUAN Lili. High-entropy Phosphide Bifunctional Catalyst: Preparation and Performance of Efficient Water Splitting [J]. Journal of Inorganic Materials, 2024, 39(11): 1265-1274. |
| [13] | XIE Tian, SONG Erhong. Effect of Elastic Strains on Adsorption Energies of C, H and O on Transition Metal Oxides [J]. Journal of Inorganic Materials, 2024, 39(11): 1292-1300. |
| [14] | HE Qian, TANG Wanlan, HAN Bingkun, WEI Jiayuan, LÜ Wenxuan, TANG Zhaomin. pH Responsive Copper-Doped Mesoporous Silica Nanocatalyst for Enhanced Chemo-Chemodynamic Tumor Therapy [J]. Journal of Inorganic Materials, 2024, 39(1): 90-98. |
| [15] | WANG Lei, LI Jianjun, NING Jun, HU Tianyu, WANG Hongyang, ZHANG Zhanqun, WU Linxin. Enhanced Degradation of Methyl Orange with CoFe2O4@Zeolite Catalyst as Peroxymonosulfate Activator: Performance and Mechanism [J]. Journal of Inorganic Materials, 2023, 38(4): 469-476. |
| Viewed | ||||||
|
Full text |
|
|||||
|
Abstract |
|
|||||