Journal of Inorganic Materials ›› 2016, Vol. 31 ›› Issue (7): 761-768.DOI: 10.15541/jim20150602
• Orginal Article • Previous Articles Next Articles
ZHANG Zhi-Gang, YAO Guang-Chun, LUO Hong-Jie, ZHANG Xiao, MA Jun-Fei, XU Jian-Rong
Received:2015-12-02
Revised:2016-01-19
Published:2016-07-20
Online:2016-06-22
Supported by:CLC Number:
ZHANG Zhi-Gang, YAO Guang-Chun, LUO Hong-Jie, ZHANG Xiao, MA Jun-Fei, XU Jian-Rong. Sintering Behavior and Properties of NiFe2O4 Ceramic Inert Anode Toughened by Adding NiFe2O4 Nanopowder[J]. Journal of Inorganic Materials, 2016, 31(7): 761-768.
| Main granule (500-355 μm) | Filler granule (105-74 μm) | Fine granule (<74 μm) | Nanopowder (30-65 nm) |
|---|---|---|---|
| 42wt% | 18wt% | 40wt% | 0 |
| 30wt% | 10wt% | ||
| 20wt% | 20wt% | ||
| 10wt% | 30wt% | ||
| 0 | 40wt% |
Table 1 Design of particle gradation
| Main granule (500-355 μm) | Filler granule (105-74 μm) | Fine granule (<74 μm) | Nanopowder (30-65 nm) |
|---|---|---|---|
| 42wt% | 18wt% | 40wt% | 0 |
| 30wt% | 10wt% | ||
| 20wt% | 20wt% | ||
| 10wt% | 30wt% | ||
| 0 | 40wt% |
| Nanopowder content/wt % | 0 | 10 | 20 | 30 | 40 |
|---|---|---|---|---|---|
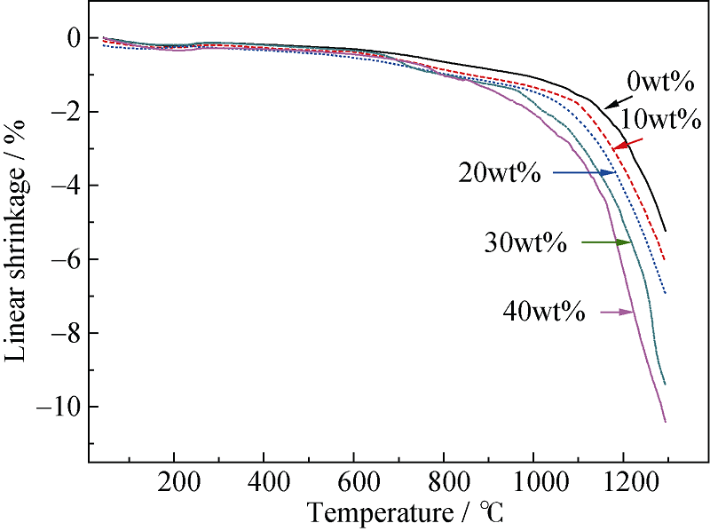
| Linear shrinkage/ % | -5.23 | -6.09 | -6.93 | -9.41 | -10.41 |
Table 2 Linear shrinkage of samples prepared by adding different amount of nanopowders at 1300℃
| Nanopowder content/wt % | 0 | 10 | 20 | 30 | 40 |
|---|---|---|---|---|---|
| Linear shrinkage/ % | -5.23 | -6.09 | -6.93 | -9.41 | -10.41 |
| T/℃ | 1150 | 1175 | 1200 | 1225 | 1250 | Average |
|---|---|---|---|---|---|---|
| -1/(m+1) | -0.352 | -0.338 | -0.362 | -0.373 | -0.365 | -0.358 |
| R | 0.991 | 0.994 | 0.985 | 0.987 | 0.992 | - |
Table 3 Values of slope and linear regression coefficient (R) of relationship between ln(△L/L0)T and lnC for samples without nanopowders under different temperatures
| T/℃ | 1150 | 1175 | 1200 | 1225 | 1250 | Average |
|---|---|---|---|---|---|---|
| -1/(m+1) | -0.352 | -0.338 | -0.362 | -0.373 | -0.365 | -0.358 |
| R | 0.991 | 0.994 | 0.985 | 0.987 | 0.992 | - |
| Heating rate/(K·min-1) | 5 | 10 | 20 | Average |
|---|---|---|---|---|
| a | -16731 | -17165 | -15889 | -16595 |
| R | 0.978 | 0.985 | 0.981 | - |
Table 4 Values of slope (a) and linear regression coefficient (R) of relationship between ln[(△L/L0)/T] and 1/T for samples without nanopowders under different heating rates
| Heating rate/(K·min-1) | 5 | 10 | 20 | Average |
|---|---|---|---|---|
| a | -16731 | -17165 | -15889 | -16595 |
| R | 0.978 | 0.985 | 0.981 | - |
| Nanopowder content /wt% | 0 | 10 | 20 | 30 | 40 |
|---|---|---|---|---|---|
| Exponent m | 1.793 | 1.648 | 1.564 | 1.486 | 1.453 |
| Apparent activation energy, Q/(kJ·mol-1) | 385.35 | 349.52 | 324.27 | 302.69 | 291.43 |
Table 5 Values of exponent and apparent activation energy for samples with various contents of NiFe2O4 nanopowders at the early-stage sintering
| Nanopowder content /wt% | 0 | 10 | 20 | 30 | 40 |
|---|---|---|---|---|---|
| Exponent m | 1.793 | 1.648 | 1.564 | 1.486 | 1.453 |
| Apparent activation energy, Q/(kJ·mol-1) | 385.35 | 349.52 | 324.27 | 302.69 | 291.43 |
| [1] | KVANDE H, HAUPIN W.Inert anodes for al smelters: energy balances and environmental impact.JOM, 2001, 53(5): 29-33. |
| [2] | EDWARDS L, RICHARDS N, KVANDE H.Inert anodes and other new al technologies-benefits, challenges, and impact on present technology.JOM, 2001, 53(5): 48-50. |
| [3] | OLSEN E, THONSTAD J.Nickel ferrite as inert anodes in aluminum electrolysis: Part I Material fabrication and preliminary testing.Journal of Applied Electrochemistry, 1999, 29(3): 293-299. |
| [4] | HE H B, WANG Y, LONG J J, et al.Corrosion of NiFe2O4- 10NiO-based cermet inert anodes for aluminium electrolysis.Transactions of Nonferrous Metals Society of China, 2013, 23(12): 3816-3821. |
| [5] | LI J, WANG Z G, LAI Y Q, et al.Effect of structural parameters on the thermal stress of a NiFe2O4-based cermet inert anode in aluminum electrolysis.Acta Metallurgica Sinica (English Letters), 2007, 20(2): 139-147. |
| [6] | LAI Y Q, HUANG L F, TIAN Z L, et al.Effect of CaO doping on corrosion resistance of Cu/(NiFe2O4-10NiO) cermet inert anode for aluminum electrolysis.Journal of Central South University of Technology, 2008, 15(6): 743-747. |
| [7] | DU J J, YAO G C, LIU Y H, et al.Influence of V2O5 as an effective dopant on the sintering behavior and magnetic properties of NiFe2O4 ferrite ceramics.Ceramics International, 2012, 38(2): 1707-1711. |
| [8] | MA J, BAO L, YAO G C, et al.Effect of MnO2 addition on properties of NiFe2O4-based cermets.Creamics International, 2011, 37(8): 3381-3387. |
| [9] | HE H B, ZHOU K C, LI Z Y, et al.Effect of BaO addition on electric conductivity of xCu/10NiO-NiFe2O4 cermets.Transactions of Nonferrous Metals Society of China, 2008, 18(5): 1134-1138. |
| [10] | GAN X P, LI Z Y, TAN Z Q, et al.Influence of Yb2O3 addition on microstructure and corrosion resistance of 10Cu/(10NiO-NiFe2O4) cermets.Transactions of Nonferrous Metals Society of China, 2009, 19(6): 1514-1519. |
| [11] | ZHANG Z G, LIU Y H, YAO G C, et al.Effect of Nanopowder Content on Properties of NiFe2O4 Matrix Inert Anode for Aluminum Electrolysis. TMS (The Minerals, Metals & Materials Society), Orlando, 2012: 1381-1384. |
| [12] | ZHANG Z G, LIU Y H, YAO G C, et al.Solid-state reaction synthesis of NiFe2O4 nanoparticles by optimizing the synthetic conditions.Physica E: Low-dimensional Systems and Nanostructures, 2012, 45: 122-129. |
| [13] | 席锦会. 两步烧结制备铝电解惰性阳极材料的研究. 沈阳: 东北大学博士学位论文, 2006. |
| [14] | PAMU D, LAKSHMI NARAYANA RAO G, JAMES RAJU K C. Enhanced microwave dielectric properties of (Zr0.8Sn0.2)TiO4 ceramics with the addition of its own nanoparticles.Journal of the American Ceramic Society, 2012, 95(1): 126-132. |
| [15] | BANNISTER M J.Shape sensitivity of initial sintering equations.Journal of the American Ceramic Society, 1968, 51(10): 548-553. |
| [16] | KESKI J R, CUTLER I B.Initial sintering of MnXO-Al2O3.Journal of the American Ceramic Society, 1968, 51(8): 440-444. |
| [17] | WOOLFREY J L, BANNISTER M J.Nonisothermal techniques for studying initial-stage sintering.Journal of the American Ceramic Society, 1972, 55(8): 390-394. |
| [18] | ZHANG T S, PETER H, HUANG H T, et al.Early-stage sintering mechanisms of Fe-doped CeO2.Journal of Materials Science, 2002, 37(5): 997-1003. |
| [19] | TAN H L, YANG W.Toughening mechanisms of nano-composite ceramics.Mechanics of Materials, 1998, 30(2): 111-123. |
| [20] | 龚江宏. 陶瓷材料断裂力学. 北京: 清华大学出版社, 2011: 132-228. |
| [21] | LI Q G, WU C, WANG Z.Mechanical properties and microstructures of Nano-Al2O3 particles reinforced Al2O3/AlN composite.Journal of Alloys and Compounds, 2015, 636: 20-23. |
| [22] | LIU B G, ZHANG L, ZHOU K C, et al.Electrical conductivity and molten salt corrosion behavior of spinel nickel ferrite.Solid State Sciences, 2011, 13(8): 1483-1487. |
| [23] | TIAN Z L, ZHANG T, WEI C J, et al.Effect of current density on corrosion of NiFe2O4 based cermet inert anode for aluminum electrolysis.The Chinese Journal of Nonferrous Metals, 2014, 24(9): 2360-2365. |
| [24] | NIGHTINGALE S A, LONGBOTTOM R J, MONAGHAN B J.Corrosion of nickel ferrite refractory by Na3AlF6-AlF3-CaF2-Al2O3 bath.Journal of the European Ceramic Society, 2013, 33(13/14): 2761-2765. |
| [1] | WANG Zhixiang, CHEN Ying, PANG Qingyang, LI Xin, WANG Genshui. Sintering Behaviour and Dielectric Properties of MnCO3-doped MgO-based Ceramics [J]. Journal of Inorganic Materials, 2025, 40(1): 97-103. |
| [2] | ZHANG Xinghong, WANG Yiming, CHENG Yuan, DONG Shun, HU Ping. Research Progress on Ultra-high Temperature Ceramic Composites [J]. Journal of Inorganic Materials, 2024, 39(6): 571-590. |
| [3] | SUN Chuan, HE Pengfei, HU Zhenfeng, WANG Rong, XING Yue, ZHANG Zhibin, LI Jinglong, WAN Chunlei, LIANG Xiubing. SiC-based Ceramic Materials Incorporating GNPs Array: Preparation and Mechanical Characterization [J]. Journal of Inorganic Materials, 2024, 39(3): 267-273. |
| [4] | CAO Dan,ZHOU Mingyang,LIU Zhijun,YAN Xiaomin,LIU Jiang. Fabrication and Characterization of Anode-supported Solid Oxide Fuel Cell Based on Proton Conductor Electrolyte [J]. Journal of Inorganic Materials, 2020, 35(9): 1047-1052. |
| [5] | HU Hao, JIANG Xiang-Ping, CHEN Chao, NIE Xin, HUANG Xiao-Kun, SU Chun-Yang. Influence of Ce 3+ Substitution on the Structure and Electrical Characteristics of Bismuth-layer Na0.5Bi8.5Ti7O27 Ceramics [J]. Journal of Inorganic Materials, 2019, 34(9): 997-1003. |
| [6] | ZHU Dong-Bin, SONG Yan-Jun, LIANG Jin-Sheng, ZHANG Xiao-Xu, CHU Rui-Qing, WU Min-Qiang. Progress of Toughness in Dental Zirconia Ceramics [J]. Journal of Inorganic Materials, 2018, 33(4): 363-372. |
| [7] | LIU Yong-Ying, QIU Peng-Fei, CHEN Hong-Yi, CHEN Rui, SHI Xun, CHEN Li-Dong. Measuring Ionic Conductivity in Mixed Electron-ionic Conductors Based on the Ion-blocking Method [J]. Journal of Inorganic Materials, 2017, 32(12): 1337-1344. |
| [8] | GAO Xin, LIU Xiang-Xuan, ZHU Zuo-Ming, XIE Zheng, SHE Zhao-Bin. Photoelectrochemical and Photocatalytic Properties of NiFe2O4/TiO2 Nanorod Arrays [J]. Journal of Inorganic Materials, 2016, 31(9): 935-942. |
| [9] | LI Yao-Hui, WANG Jin-Zhen, HUANG You-Rong. Characterization and Toughening Mechanism of Crystallization of Canasite Glass-ceramics [J]. Journal of Inorganic Materials, 2015, 30(9): 977-983. |
| [10] | LIN Qing-Qing, DONG Shao-Ming, HE Ping, ZHOU Hai-Jun, HU Jian-Bao. Microstructure and Property of TiB2 Reinforced Reaction-bonded B4C Composites [J]. Journal of Inorganic Materials, 2015, 30(6): 667-672. |
| [11] | YANG Zhi-Gang, YU Jian-Bo, LI Chuan-Jun, XUAN Wei-Dong, ZHANG Zhen-Qiang, DENG Kang, REN Zhong-Ming. Preparing Porous Si-based Ceramic Core Using Thermosetting Silicon Resin Injection Method [J]. Journal of Inorganic Materials, 2015, 30(2): 147-152. |
| [12] | XUE Wei-Jiang, XIE Zhi-Peng. Research Progress on the Transformation, Fracture Mechanism and Properties of Structural Ceramics at Cryogenic Temperatures [J]. Journal of Inorganic Materials, 2014, 29(4): 337-344. |
| [13] | WANG Kun, YU Qing-Bo, QIN Qin, LI Jiu-Chong, WANG Zhi-Mei. Kinetics Analysis of Cu-Zr Oxygen Carrier for Chemical Looping Oxygen Production [J]. Journal of Inorganic Materials, 2014, 29(3): 301-308. |
| [14] | LI Wei-Xin, BAI Ming-Min, LU Ying, RAO Ping-Gen. Preparation and Properties of Al2O3/Steel-epoxy Laminated Composites [J]. Journal of Inorganic Materials, 2013, 28(4): 453-459. |
| [15] | ZHAO Yan, SUN Kang-Ning, LIU Peng. Low-temperature Sintering and Mechanical Properties of Lithium Nibate Toughening Carbon Nano-tubes/Hydroxyapatite Biocomposites [J]. Journal of Inorganic Materials, 2011, 26(8): 863-868. |
| Viewed | ||||||
|
Full text |
|
|||||
|
Abstract |
|
|||||