无机材料学报 ›› 2019, Vol. 34 ›› Issue (2): 137-144.DOI: 10.15541/jim20180233 CSTR: 32189.14.10.15541/jim20180233
所属专题: 光伏材料
杨英1,2,3,潘德群1,2,3,张政1,2,3,陈甜1,2,3,韩晓敏1,张力松1,郭学益1,2,3
收稿日期:2018-05-17
修回日期:2018-09-20
出版日期:2019-02-20
网络出版日期:2019-01-24
作者简介:杨英(1980-),女,副教授.E-mail: muyicaoyang@csu.edu.cn
基金资助:YANG Ying1, 2, 3, PAN De-Qun1, 2, 3, ZHANG Zheng1, 2, 3, CHEN Tian1, 2, 3, HAN Xiao-Min1, ZHANG Li-Song1, GUO Xue-Yi1, 2, 3
Received:2018-05-17
Revised:2018-09-20
Published:2019-02-20
Online:2019-01-24
About author:YANG Ying. E-mail: muyicaoyang@csu.edu.cn
Supported by:摘要:
采用水相共沉积法制备Ag2Se量子点(QDs), 并与染料共敏化制备固态染料敏化太阳能电池(DSSCs)。考察了Ag2Se量子点不同敏化方式(TiO2/N719/QDs, TiO2/QDs/N719)及敏化时间(0~5 h)对DSSCs性能的影响。通过透射电子显微镜(TEM)和紫外-可见光谱图(UV-Vis)对Ag2Se量子点结构及光学性质进行了表征; 采用光调制光电流/电压谱(IMPS/VS)以及交流阻抗谱(EIS)对器件中载流子传输过程进行了研究。TiO2/QDs/N719的电池器件比TiO2/ N719/QDs具有更高的单色光量子转化效率(IPCE)及光电转化效率, 这是由于TiO2/QDs/N719可以吸附更多的量子点和染料。随着Ag2Se量子点敏化时间的延长, 光电转化效率先提高后降低, 最高达到3.97%。Ag2Se量子点在器件中起到了阻挡层作用, 可以促进电子传输, 抑制电子-空穴复合。而随着量子点敏化时间超过2 h, 电子陷入陷阱的几率增加, 导致器件的光伏性能下降。
中图分类号:
杨英,潘德群,张政,陈甜,韩晓敏,张力松,郭学益. Ag2Se量子点共敏化固态染料敏化太阳能电池光电性能研究[J]. 无机材料学报, 2019, 34(2): 137-144.
YANG Ying, PAN De-Qun, ZHANG Zheng, CHEN Tian, HAN Xiao-Min, ZHANG Li-Song, GUO Xue-Yi. Photovoltaic Performance of Ag2Se Quantum Dots Co-sensitized Solid-state Dye-sensitized Solar Cells[J]. Journal of Inorganic Materials, 2019, 34(2): 137-144.
图1 Ag2Se量子点的(a)透射电镜照片, (b)粒径分布直方图, (c)高分辨透射电镜照片和(d)放大高分辨透射电镜照片
Fig. 1 (a)Transmission electron microscope (TEM) image, (b) size distribution histogram, (c) HRTEM image, and (d) zoom-in HRTEM image of the Ag2Se quantum dots
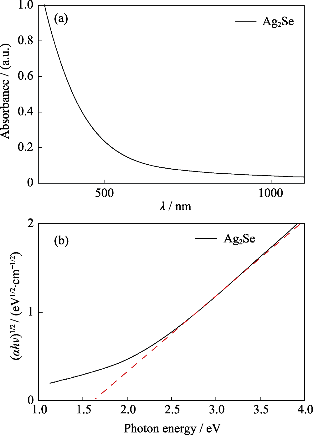
图2 (a) Ag2Se量子点乙醇溶液的紫外-可见光谱图; (b)相应的Tauc图谱
Fig. 2 (a) Absorption spectrum and (b) corresponding Tauc plot of the Ag2Se quantum dots in ethanol solution
图3 (a)不同敏化方式光阳极的紫外-可见吸收光谱分析, 插图为光阳极照片; (b)不同敏化方式DSSCs的J-V曲线
Fig. 3 (a) UV-Vis spectra of photoanodes with different Ag2Se QDs sensitization methods with inset showing photographs of photoandes, and (b) J-V curve of DSSCs with different sensitization methods
| Sample | Jsc/(mA∙cm-2) | Voc/V | FF | ƞ/% |
|---|---|---|---|---|
| TiO2/dye | 8.78 | 0.69 | 0.50 | 2.96 |
| TiO2/dye/QDs | 8.08 | 0.71 | 0.48 | 2.74 |
| TiO2/QDs/dye | 9.18 | 0.74 | 0.53 | 3.59 |
表1 不同敏化方式的光电参数
Table 1 Photovoltaic parameters of DSSCs with different sensitized methods
| Sample | Jsc/(mA∙cm-2) | Voc/V | FF | ƞ/% |
|---|---|---|---|---|
| TiO2/dye | 8.78 | 0.69 | 0.50 | 2.96 |
| TiO2/dye/QDs | 8.08 | 0.71 | 0.48 | 2.74 |
| TiO2/QDs/dye | 9.18 | 0.74 | 0.53 | 3.59 |
图5 固态基Ag2Se量子点和染料共敏化太阳能电池的(a)结构示意图和(b)能带机理图
Fig. 5 (a) Device structure and (b) energy level diagram of solid-state Ag2Se QDs and dye co-sensitized solar cell
图6 (a)Ag2Se量子点敏化、N719敏化以及Ag2Se/N719共敏化光阳极的紫外-可见吸收光谱图; (b)Ag2Se量子点敏化不同时间的光阳极的紫外-可见吸收光谱图
Fig. 6 (a) UV-Vis absorption spectra of Ag2Se QDs sensitized, N719 sensitized and Ag2Se QDs/N719 co-sensitized photoanodes, and (b) UV-Vis absorption spectra of photoanodes with different sensitization time of Ag2Se QDs
图7 纯Ag2Se量子点敏化太阳能电池和Ag2Se量子点敏化不同时间的共敏化太阳能电池J-V曲线
Fig. 7 J-V curves of pure Ag2Se quantum dot sensitized solar cell and co-sensitized solar cells with different Ag2Se QDs sensitization time
| Sample | Jsc/(mA∙cm-2) | Voc/V | FF | ƞ /% |
|---|---|---|---|---|
| TiO2/QDs(2 h) | 0.44 | 0.41 | 0.55 | 0.10 |
| TiO2/dye | 8.78 | 0.69 | 0.50 | 2.96 |
| TiO2/QDs(1 h)/dye | 9.18 | 0.74 | 0.53 | 3.59 |
| TiO2/QDs(2 h)/dye | 9.53 | 0.75 | 0.55 | 3.97 |
| TiO2/QDs(3 h)/dye | 9.46 | 0.73 | 0.55 | 3.82 |
| TiO2/QDs(4 h)/dye | 8.69 | 0.75 | 0.56 | 3.68 |
| TiO2/QDs(5 h)/dye | 7.69 | 0.74 | 0.55 | 3.10 |
表2 Ag2Se量子点敏化不同时间的共敏化太阳能电池光电参数
Table 2 Photovoltaic parameters of co-sensitized solar cells with different Ag2Se QDs sensitization time
| Sample | Jsc/(mA∙cm-2) | Voc/V | FF | ƞ /% |
|---|---|---|---|---|
| TiO2/QDs(2 h) | 0.44 | 0.41 | 0.55 | 0.10 |
| TiO2/dye | 8.78 | 0.69 | 0.50 | 2.96 |
| TiO2/QDs(1 h)/dye | 9.18 | 0.74 | 0.53 | 3.59 |
| TiO2/QDs(2 h)/dye | 9.53 | 0.75 | 0.55 | 3.97 |
| TiO2/QDs(3 h)/dye | 9.46 | 0.73 | 0.55 | 3.82 |
| TiO2/QDs(4 h)/dye | 8.69 | 0.75 | 0.56 | 3.68 |
| TiO2/QDs(5 h)/dye | 7.69 | 0.74 | 0.55 | 3.10 |
图8 (a) Ag2Se量子点敏化不同时间的共敏化太阳能电池器件的交流阻抗图谱, 插图为等效电路图; (b) R2随Ag2Se量子点敏化时间的变化曲线
Fig. 8 (a) Electrochemical impedance plots of co-sensitized solar cells with different Ag2Se QDs sensitization time with inset showing the equivalent circuit, and (b) the recombination resistance R2 of DSSCs as a function of different Ag2Se QDs sensitization time
图9 Ag2Se量子点敏化不同时间的共敏化太阳能电池器件的(a) IMPS/VS和(b)IMVS图谱
Fig. 9 (a) IMPS and (b) IMVS plots of co-sensitized solar cells with different Ag2Se QDs sensitization time
| Sample | τd/ms | τc/ms | Dn/ (cm2·s-1) | Ln/μm | ηcc |
|---|---|---|---|---|---|
| TiO2/dye | 31.77 | 8.45 | 7.25 | 15.18 | 0.73 |
| TiO2/QDs(1 h)/dye | 33.65 | 8.45 | 7.25 | 15.62 | 0.75 |
| TiO2/QDs(2 h)/dye | 42.37 | 7.98 | 7.68 | 18.04 | 0.81 |
| TiO2/QDs(3 h)/dye | 42.37 | 8.45 | 7.25 | 17.52 | 0.80 |
| TiO2/QDs(4 h)/dye | 31.77 | 7.53 | 8.14 | 16.07 | 0.76 |
| TiO2/QDs(5 h)/dye | 23.83 | 8.45 | 7.25 | 13.14 | 0.65 |
表3 Ag2Se量子点敏化不同时间的共敏化太阳能电池器件的IMPS/VS动力学参数
Table 3 IMPS/VS kinetic parameters of co-sensitized solar cells with different Ag2Se QDs sensitization time
| Sample | τd/ms | τc/ms | Dn/ (cm2·s-1) | Ln/μm | ηcc |
|---|---|---|---|---|---|
| TiO2/dye | 31.77 | 8.45 | 7.25 | 15.18 | 0.73 |
| TiO2/QDs(1 h)/dye | 33.65 | 8.45 | 7.25 | 15.62 | 0.75 |
| TiO2/QDs(2 h)/dye | 42.37 | 7.98 | 7.68 | 18.04 | 0.81 |
| TiO2/QDs(3 h)/dye | 42.37 | 8.45 | 7.25 | 17.52 | 0.80 |
| TiO2/QDs(4 h)/dye | 31.77 | 7.53 | 8.14 | 16.07 | 0.76 |
| TiO2/QDs(5 h)/dye | 23.83 | 8.45 | 7.25 | 13.14 | 0.65 |
| [1] | XIE Y S, TANG Y Y, WU W J,et al. Porphyrin cosensitization for a photovoltaic efficiency of 11.5%: a record for non-ruthenium solar cells based on iodine electrolyte. J. Am. Chem. Soc., 2015, 137(44): 14055-14058. |
| [2] | MATHEW S, YELLA A, GAO P,et al. Dye-sensitized solar cells with 13% efficiency achieved through the molecular engineering of porphyrin sensitizers. Nat. Chem., 2014, 6(3): 242-247. |
| [3] | OZAWA H, YU O, ARAKAWA H.Dependence of the efficiency improvement of black-dye based dye-sensitized solar cells on alkyl chain length of quaternary ammonium cations in electrolyte solutions.Chem. Phys. Chem., 2014, 15(6): 1201-1206. |
| [4] | KAKIAGE K, AOYAMA Y, YANO T,et al. Fabrication of a high-performance dye-sensitized solar cell with 12.8% conversion efficiency using organic silyl-anchor dyes. Chem. Commun., 2015, 51(29): 6315-6317. |
| [5] | YU W W, PENG X G.Formation of high quality CdS and other II-VI semiconductor nanocrystals in noncoordinating solvents: tunable reactivity of monomers.Angew. Chem. Int. Ed., 2002, 41(13): 2368-2371. |
| [6] | SARMA D D, NAG A, SANTRA P K,et al. Origin of the enhanced photoluminescence from semiconductor CdSeS nanocrystals. J. Phys. Chem. Lett., 2010, 1(14): 2149-2153. |
| [7] | SEOL M, KIM H, TAK Y,et al. Novel nanowire array based highly efficient quantum dot sensitized solar cell. Chem. Commun., 2010, 46(30): 5521-5523. |
| [8] | ELLINGSON R J, BEARD M C, JOHNSON J C,et al. Highly efficient multiple exciton generation in colloidal PbSe and PbS quantum dots. Nano Lett., 2005, 5(5): 865-871. |
| [9] | SCHALLER R D, AGRANOVICH V M, KLIMOV V I.High-efficiency carrier multiplication through direct photogeneration of multi-excitons via virtual single-exciton states. Nat. Phys., 2005, 1(3): 189-194. |
| [10] | DU J, DU Z, HU J S,et al. Zn-Cu-In-Se quantum dot solar cells with a certified power conversion efficiency of 11.6%. J. Am. Chem. Soc., 2016, 138(12): 4201-4209. |
| [11] | JI G, LIU Z, GUAN D,et al. Ag2S quantum dots and N3 dye co-sensitized TiO2, nanotube arrays for a solar cell. Appl. Surf. Sci., 2013, 282(10): 695-699. |
| [12] | LIU Y, WANG J.Co-sensitization of TiO2, by PbS quantum dots and dye N719 in dye-sensitized solar cells.Thin Solid Films., 2010, 518(24): E54-E56. |
| [13] | YANG Y, GAO J, ZHANG Z,et al. Black phosphorus based photocathodes in wide band bifacial dye-sensitized solar cells. Adv. Mater., 2016, 28(40): 8937-8944. |
| [14] | GUO X Y, GAO J, ZHANG Z,et al. Highly efficient interfacial layer using SILAR derived Ag2S quantum dots for solid-state bifacial dye-sensitized solar. Mater. Today Energy, 2017, 5: 320-330. |
| [15] | GIMENEZ S, LANA-VILLARREAL T, GOMEZ R, et al. Determination of limiting factors of photovoltaic efficiency in quantum dot sensitized solar cells: correlation between cell performance and structural properties. J. Appl. Phys., 2010, 108(6): 064310-1-7. |
| [16] | SCHOEN D T, XIE C, CUI Y.Electrical switching and phase transformation in silver selenide nanowires.J. Am. Chem. Soc., 2007, 129(14): 4116-4117. |
| [17] | SAHU A, BRAGA D, WASER O,et al. Solid-phase flexibility in Ag2Se semiconductor nanocrystals. Nano Lett., 2014, 14(1): 115-121. |
| [18] | ZHU C N, JIANG P, ZHANG Z L,et al. Ag2Se quantum dots with tunable emission in the second near-infrared window. ACS Appl. Mater. Interfaces, 2013, 5(4): 1186-1189. |
| [19] | ZHANG Z, YANG Y, GAO J,et al. Highly efficient Ag2Se quantum dots blocking layer for solid-state dye-sensitized solar cells: size effects on device performances. Mater. Today Energy, 2018, 7: 27-36. |
| [20] | YANG Y, YI P, ZHOU C,et al. Magnetic field processed solid- state dye-sensitized solar cells with nickel oxide modified agarose electrolyte. J. Power Sources, 2013, 243(6): 919-924. |
| [21] | YANG Y, ZHANG Z, GAO J,et al. Metal-organic materials as efficient additives in polymer electrolytes for quasi-solid-state dye-sensitized solar cells. J. Alloy. Compd., 2017, 726: 1286-1294. |
| [22] | TIAN Q, DENG D, ZHANG Z,et al. Facile synthesis of Ag2Se quantum dots and their application in dye/Ag2Se co-sensitized solar cells. J. Mater. Sci., 2017, 52(20): 12131-12140. |
| [23] | GU Y P, CUI R, ZHANG Z L,et al. Ultrasmall near-infrared Ag2Se quantum dots with tunable fluorescence for in vivo imaging. J. Am. Chem. Soc., 2012, 134(1): 79-82. |
| [24] | PEJOVA B, NAJDOSKI M, GROZDANOV I,et al. Chemical bath deposition of nanocrystalline (111) textured Ag2Se thin films. Mater. Lett., 2000, 43(5/6): 269-273. |
| [25] | ANTHONY, PHILIP S.Synthesis of Ag2S and Ag2Se nanoparticles in self assembled block copolymer micelles and nano-arrays fabrication.Mater Lett., 2009, 63(9): 773-776. |
| [26] | SIBIYA P N, MOLOTO M J.Effect of precursor concentration and pH on the shape and size of starch capped silver selenide (Ag2Se) nanoparticles.Chalcogenide Lett., 2014, 11(11): 577-588. |
| [27] | LEE K E, GOMEZ M A, ELOUATIK S,et al. Further understanding of the adsorption mechanism of N719 sensitizer on anatase TiO2 films for DSSC applications using vibrational spectroscopy and confocal Raman imaging. Langmuir, 2010, 26(12): 9575-9583. |
| [28] | LUO J, WEI H, HUANG Q,et al. Highly efficient core-shell CuInS-Mn doped CdS quantum dot sensitized solar cells. Chem. Comm., 2013, 49(37): 3881-3883. |
| [29] | HU X, ZHANG Q X, HUANG X M,et al. Aqueous colloidal CuInS2 for quantum dot sensitized solar cells. J. Mater. Chem., 2011, 21(40): 15903-15905. |
| [30] | CUI C, QIU Y W, ZHAO J H,et al. A comparative study on the quantum-dot-sensitized, dye-sensitized and co-sensitized solar cells based on hollow spheres embedded porous TiO2 photoanodes. Electrochim. Acta, 2015, 173: 551-558. |
| [31] | REN F M, LI S J, HE C L.Electrolyte for quantum dot-sensitized solar cells assessed with cyclic voltammetry.Sci. China-Mater., 2015, 58(6): 490-495. |
| [32] | SHALOM M, DOR S, RUHLE S,et al. Core CdS quantum dot/shell mesoporous solar cells with improved stability and efficiency using an amorphous TiO2 coating. J. Phys. Chem. C, 2009, 11(9): 3895-3898. |
| [33] | SERO I M, BISQUERT J.Breakthroughs in the development of semiconductor-sensitized solar cells.J. Phys. Chem. Lett., 2010, 1(20): 3046-3052. |
| [34] | LAN Z, WU W X, ZHANG S,et al. An efficient method to prepare high-performance dye-sensitized photoelectrodes using ordered TiO2 nanotube arrays and TiO2 quantum dot blocking layers. J. Phys. Chem. C., 2016, 20(10): 2643-2650. |
| [35] | LI J, LI Z, WANG S,et al. Great improvement of photoelectric property from co-sensitization of TiO2 electrodes with CdS quantum dots and dye N719 in dye-sensitized solar cells. Mater. Res. Bull., 2013, 48(7): 2566-2570. |
| [36] | XU B, WU J H, ZHANG X K,et al. The influence of blocking layer on the photovoltaic properties of dye-sensitized solar cells. Journal of Function Materials, 2008, 39: 1703-1709. |
| [37] | LELII C, BAWENDI M G, BIAGINI P,et al. Enhanced photovoltaic performance with co-sensitization of quantum dots and an organic dye in dye-sensitized solar cells. J. Mater. Chem. A, 2014, 2: 18375-18382. |
| [38] | GAO J, YANG Y, ZHANG Z,et al. Bifacial quasi-solid-state dye-sensitized solar cells with poly (vinyl pyrrolidone)/polyaniline transparent counter electrode. Nano Energy, 2016, 26: 123-130. |
| [39] | ELBOHY H, THAPA A, POUDEL P,et al. Vanadium oxide as new charge recombination blocking layer for high efficiency dye-sensitizedsolar cells. Nano Energy, 2015, 13: 368-375. |
| [40] | YANG Y, WANG W.Effects of incorporating PbS quantum dots in perovskite solar cells based on CH3NH3PbI3.J. Power Sources, 2015, 293: 577-584. |
| [41] | LAGEMAAT J V D, FRANK A J. Nonthermalized electron transport in dye-sensitized nanocrystalline TiO2 films: transient photocurrent and random-walk modeling studies.J. Phys. Chem. B, 2001, 105(45): 11194-11205. |
| [42] | OEKERMANN T, ZHANG D, YOSHIDA T,et al. Electron transport and back reaction in nanocrystalline TiO2 films prepared by hydrothermal crystallization. J. Phys. Chem. B, 2004, 108(7): 2227-2235. |
| [43] | ZHU K, NEALE N R, MIEDANER A,et al. Enhanced charge-collection efficiencies and light scattering in dye-sensitized solar cells using oriented TiO2 nanotubes arrays. Nano Lett., 2007, 7(1): 69-74. |
| [1] | 吕喜庆, 张环宇, 李瑞, 张梅, 郭敏. Nb2O5包覆对TiO2纳米阵列/上转换发光复合结构柔性染料敏化太阳能电池性能的影响[J]. 无机材料学报, 2019, 34(6): 590-598. |
| [2] | 程厚燕, 罗俊, 黄丽群, 李家科, 杨志胜, 郭平春, 王艳香, 张琦锋. 基于ZnO纳米片多级结构的柔性染料敏化太阳能电池的制备[J]. 无机材料学报, 2018, 33(5): 507-514. |
| [3] | 刘永强, 黄 浩, 翟进生, 马梦君, 范佳杰. 石墨烯量子点/CdS/CdSe共敏化太阳能电池[J]. 无机材料学报, 2017, 32(10): 1042-1048. |
| [4] | 冉慧丽, 黄 浩, 马梦君, 翟进生, 范佳杰. 性能增强的双层TiO2复合膜染料敏化太阳能电池[J]. 无机材料学报, 2017, 32(10): 1049-1054. |
| [5] | 杨 英, 张 政, 高 菁, 林泽华, 严靖园, 郭学益. 基于低共熔溶剂聚合物电解质染料敏化太阳能电池研究[J]. 无机材料学报, 2017, 32(1): 25-32. |
| [6] | 尹月锋, 梁桂杰, 张 强, 潘 峥, 李望南, 李在房. 基于Pechini溶胶-凝胶法的染料敏化太阳能电池的优化[J]. 无机材料学报, 2016, 31(7): 739-744. |
| [7] | 张陈乐, 张培新, 云斯宁, 李永亮, 何挺树. 染料敏化太阳能电池过渡金属化合物对电极制备方法研究进展[J]. 无机材料学报, 2016, 31(2): 113-122. |
| [8] | 谢寿东, 王 刚, 陈慧媛, 林 红, 闫志男, 张 慧. 黑枸杞与石墨烯纳米片在染料敏化太阳能电池中的应用[J]. 无机材料学报, 2016, 31(10): 1117-1122. |
| [9] | 陈盎然,赵 伟,崔厚磊,支 键,黄富强. 基于介孔TiO2/石墨烯修饰的TiO2纳米线光阳极的染料敏化太阳能电池[J]. 无机材料学报, 2015, 30(8): 891-896. |
| [10] | 陈 蔚, 刘阳桥, 罗建强, 靳喜海, 孙 静, 高 濂. 柔性染料敏化太阳能电池TiO2光阳极的制备[J]. 无机材料学报, 2014, 29(6): 561-570. |
| [11] | 唐蓓蓓, 郭明星, 姜 维, 尹淑慧, 张曼霞, 王 亮, 张艺鸣, 郑 磊, 孟悦琦. 钼酸锌-碳复合材料在染料敏化太阳能电池对电极中的应用[J]. 无机材料学报, 2014, 29(11): 1133-1138. |
| [12] | 王桂强, 王德龙, 况 帅, 禚淑萍. 染料敏化太阳能电池用过渡金属化合物对电极的研究进展[J]. 无机材料学报, 2013, 28(9): 907-915. |
| [13] | 罗华明, 刘志勇, 白传易, 鲁玉明, 蔡传兵. 基于二氧化钛纳米管的染料敏化电池光阳极研究[J]. 无机材料学报, 2013, 28(5): 521-526. |
| [14] | 孟凡宁, 王春雷, 武明星, 林 逍, 王同华, 马廷丽. 染料敏化太阳能电池无FTO煤基炭对电极的研究[J]. 无机材料学报, 2013, 28(3): 273-277. |
| [15] | 崔旭梅, 左承阳, 蓝德均, 王 军. TiO2/SnO2纳米晶膜的制备及其电学性能研究[J]. 无机材料学报, 2013, 28(11): 1233-1236. |
| 阅读次数 | ||||||
|
全文 |
|
|||||
|
摘要 |
|
|||||