Journal of Inorganic Materials ›› 2026, Vol. 41 ›› Issue (3): 311-321.DOI: 10.15541/jim20250216
• RESEARCH ARTICLE • Previous Articles Next Articles
ZHU Fei1(
), HAO Xujie1, ZHANG Quangui1, YAN Xinyue1, LIU Hongfei1, ZHANG Bo2, LI Xin3, LIU Defeng3, TUO Yayong1, ZHANG Shouchao1(
)
Received:2025-05-19
Revised:2025-07-01
Published:2026-03-20
Online:2025-07-16
Contact:
ZHANG Shouchao, professor. E-mail: zhshch@tcu.edu.cnAbout author:ZHU Fei (1983-), male, engineer. E-mail: zhufei2012@tcu.edu.cn
Supported by:CLC Number:
ZHU Fei, HAO Xujie, ZHANG Quangui, YAN Xinyue, LIU Hongfei, ZHANG Bo, LI Xin, LIU Defeng, TUO Yayong, ZHANG Shouchao. Irradiation Defects in Neutron-irradiated 6H-SiC: Thermodynamic and High-temperature Recovery Kinetics[J]. Journal of Inorganic Materials, 2026, 41(3): 311-321.
Fig. 2 TEM images and SAED patterns of 6H-SiC showing irradiation damage and annealing recovery (a) Unirradiated sample; (b) Irradiated sample; (c) 900 ℃ annealed sample after irradiation
Fig. 3 SEM images of 6H-SiC surface microstructures (a)Unirradiated sample; (b) Neutron-irradiated sample; (c-f) Annealed at (c) 600, (d) 900, (e) 1200 and (f) 1500 ℃
Fig. 5 Temperature dependence of specific heat capacity for neutron-irradiated and annealed 6H-SiC at different temperatures (a) 100-300 ℃; (b) 600-1500 ℃
Fig. 7 (a1, b1, c1, d1) C1s, (a2, b2, c2, d2) Si2p and (a3, b3, c3, d3) O1s XPS spectra of 6H-SiC (a1-a3) Unirradiated; (b1-b3) Irradiated; (c1-c3) Annealed at 600 ℃; (d1-d3) Annealed at 1500 ℃. Colorful figures are available on website
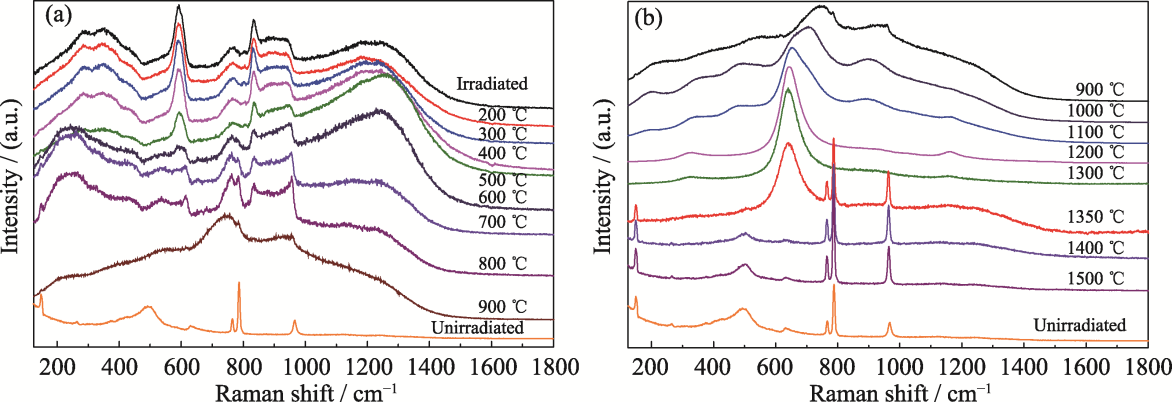
Fig. 8 Temperature-dependent evolution of Raman spectra of 6H-SiC (a) Unirradiated, neutron-irradiated, and annealed below 900 ℃; (b) Annealed at 900-1500 ℃
Fig. 9 Schematic diagrams of intrinsic defect states density and defect-induced photoluminescence mechanism in 6H-SiC (a) Total density of states with different intrinsic defects; (b) Defect-induced photoluminescence mechanism
Fig. 10 Variation of the natural logarithm change in unit cell volume (lnV-lnV0) of 6H-SiC with annealing time during isothermal annealing at 300-1500 ℃
| [1] | HU L Y, TURNER J, BUCKLEY J, et al. A review on properties required for FB-CVD fabricated SiC for TRISO fuel production. Progress in Nuclear Energy, 2025, 185: 105762. |
| [2] | CAPAN I. Electrically active defects in 3C, 4H, and 6H silicon carbide polytypes: a review. Crystals, 2025, 15(3): 255. |
| [3] | WU R X, CHEN H, ZHOU Y C, et al. Advances in silicon carbides and their EMS pressure sensors for high temperature and pressure applications. ACS Applied Materials & Interfaces, 2025, 17(18): 26117. |
| [4] | GUERNOUB S, TOUATI I, KHOUALDIA A, et al. Quantification of the impact of hexagonal percentage on the elastic and acoustic properties of SiC polytypes (3C, 10H, 8H, 6H and 4H). Silicon, 2025, 17: 2015. |
| [5] | LAI L L, CUI Y X, ZHONG Y, et al. Impacts of silicon carbide defects on electrical characteristics of SiC devices. Journal of Applied Physics, 2025, 137(6): 060701. |
| [6] | ZHANG J T, WU Z Z, HUANG J, et al. Damage behavior of He-irradiated sintered SiC at high temperatures. Journal of Nuclear Materials, 2025, 612: 155839. |
| [7] | HIRST C A, GRANBERG F, KOMBAIAH B, et al. Revealing hidden defects through stored energy measurements of radiation damage. Science Advances, 2022, 8(31): eabn2733. |
| [8] | CAI Z Q, YUAN X W, XU C, et al. Grain boundary effects on chemical disorders and amorphization-induced swelling in 3C-SiC under high-temperature irradiation: from atomic simulation insight. Journal of the European Ceramic Society, 2024, 44(12): 6911. |
| [9] | GUO D X, GONG H F, CHEN M Z, et al. Computational framework for thermal conductivity and volumetric swelling of irradiated silicon carbide. Nuclear Engineering and Design, 2025, 438: 114073. |
| [10] | SNEAD L L, KATOH Y, KOYANAGI T, et al. Stored energy release in neutron irradiated silicon carbide. Journal of Nuclear Materials, 2019, 514: 181. |
| [11] | SPROUSTER D J, KOYANAGI T, DREY D L, et al. Atomic and microstructural origins of stored energy release in neutron-irradiated silicon carbide. Physical Review Materials, 2021, 5(10): 103601. |
| [12] | KOYANAGI T, WANG H, KARAKOC O, et al. Mechanisms of stored energy release in silicon carbide materials neutron-irradiated at elevated temperatures. Materials & Design, 2022, 214: 110413. |
| [13] | WANG J C, KONG B, ZENG T, et al. Hybrid functional study on the intrinsic defect, extrinsic n-and p-type doping in 6H-SiC. The Journal of Physical Chemistry C, 2025, 129(14): 7000. |
| [14] | CAPITANI G C, DI PIERRO S, TEMPESTA G. The 6H-SiC structure model: further refinement from SCXRD data from a terrestrial moissanite. American Mineralogist, 2007, 92(2/3): 403. |
| [15] | WANG H, YAN Z F, ZHENG J, et al. Ab initio study of neutral point defect properties in 6H-SiC based on the SCAN functional. Journal of Nuclear Materials, 2025, 605: 155582. |
| [16] | LIAO W L, HE C H, HE H. Molecular dynamics simulation of displacement damage in 6H-SiC. Radiation Effects and Defects in Solids, 2019, 174(9/10): 729. |
| [17] | MATTAUSCH A, BOCKSTEDTE M, PANKRATOV O. Structure and vibrational spectra of carbon clusters in SiC. Physical Review B, 2004, 70(23): 235211. |
| [18] | IDRIS M I, YAMAZAKI S, YOSHIDA K, et al. Recovery behavior of high purity cubic SiC polycrystals by post-irradiation annealing up to 1673 K after low temperature neutron irradiation. Journal of Nuclear Materials, 2015, 465: 814. |
| [19] | ZHANG S C, CHEN H Y, LIU H F, et al. High temperature recovery of neutron irradiation-induced swelling and optical property of 6H-SiC. Journal of Inorganic Materials, 2023, 38(6): 678. |
| [20] | CAMPBELL A A, PORTER W D, KATOH Y, et al. Method for analyzing passive silicon carbide thermometry with a continuous dilatometer to determine irradiation temperature. Nuclear Instruments and Methods in Physics Research Section B: Beam Interactions with Materials and Atoms, 2016, 370: 49. |
| [21] | XI J Q, LIU C, SZLUFARSKA I. Effects of point defects on oxidation of 3C-SiC. Journal of Nuclear Materials, 2020, 538: 152308. |
| [22] | XIE Q, LIU X, ZHOU S G, et al. Temperature-dependent oxidation behavior of silicon carbide surface: reactive molecular dynamics simulations. ACS Applied Materials & Interfaces, 2024, 16(41): 56376. |
| [23] | JACOBSON N S, MYERS D L. Active oxidation of SiC. Oxidation of Metals, 2011, 75: 1. |
| [24] | KATOH Y, SNEAD L L, SZLUFARSKA I, et al. Radiation effects in SiC for nuclear structural applications. Current Opinion in Solid State and Materials Science, 2012, 16(3): 143. |
| [25] | KOYANAGI T, SPROUSTER D J, SNEAD L L, et al. X-ray characterization of anisotropic defect formation in SiC under irradiation with applied stress. Scripta Materialia, 2021, 197: 113785. |
| [26] | 赵荣荣, 李连钢, 阮永丰. 中子辐照的6H-SiC单晶的退火回复特性. 河北师范大学学报(自然科学版), 2018, 42(6): 488. |
| [27] | SNEAD L L, NOZAWA T, KATOH Y, et al. Handbook of SiC properties for fuel performance modeling. Journal of Nuclear Materials, 2007, 371(1/2/3): 329. |
| [28] | LIU H, CHAI Z F, WEI K R, et al. A study on the thermal conductivity of proton irradiated CVD-SiC and sintered SiC, measured using a modified laser flash method with multi-step machining. Journal of the European Ceramic Society, 2024, 44(11): 6305. |
| [29] | YAN Z F, LIU R Z, LIU B, et al. Molecular dynamics simulation studies of properties, preparation, and performance of silicon carbide materials: a review. Energies, 2023, 16(3): 1176. |
| [30] | AKIYOSHI M, TAKAGI I, YANO T, et al. Thermal conductivity of ceramics during irradiation. Fusion Engineering and Design, 2006, 81(1-7): 321. |
| [31] | AL SMAIRAT S, GRAHAM J. Vacancy-induced enhancement of electron-phonon coupling in cubic silicon carbide and its relationship to the two-temperature model. Journal of Applied Physics, 2021, 130(12): 125902. |
| [32] | VASHISHTA P, KALIA R K, NAKANO A, et al. Interaction potential for silicon carbide: molecular dynamics study of elastic constants and vibrational density of states for crystalline and amorphous silicon carbide. Journal of Applied Physics, 2007, 101(10): 103515. |
| [33] | ZHANG X Y, CHEN X F, WANG H, et al. Molecular dynamics analysis of chemical disorders induced by irradiated point defects in 6H-SiC. Journal of Inorganic Materials, 2020, 35(8): 889. |
| [34] | QUILLIN K, SASIDHAR K N, QURESHI M W, et al. Unusual nanoscale amorphization of metallic chromium interfacing with SiC under high energy irradiation. Acta Materialia, 2024, 278: 120236. |
| [35] | ZHANG S C, CUI X H, LIU H F, et al. Investigation of the recovery process in low-dose neutron-irradiated 6H-SiC by lattice parameter and FWHM of diffraction peak measurements. Radiation Effects and Defects in Solids, 2022, 177(7/8): 800. |
| [36] | MADITO M J, HLATSHWAYO T T, MTSHALI C B. Chemical disorder of a-SiC layer induced in 6H-SiC by Cs and I ions co-implantation: Raman spectroscopy analysis. Applied Surface Science, 2021, 538: 148099. |
| [37] | LEIDE A J, HOBBS L W, WANG Z Q, et al. The role of chemical disorder and structural freedom in radiation-induced amorphization of silicon carbide deduced from electron spectroscopy and ab initio simulations. Journal of Nuclear Materials, 2019, 514: 299. |
| [38] | VALI I P, SHETTY P K, MAHESHA M G, et al. Electron and gamma irradiation effects on Al/n-4H-SiC Schottky contacts. Vacuum, 2020, 172: 109068. |
| [39] | LEWANDKÓW R, GRODZICKI M, MAZUR P, et al. Interface formation of Al2O3 on carbon enriched 6H-SiC (0001): photoelectron spectroscopy studies. Vacuum, 2020, 177: 109345. |
| [40] | FELDMAN D W, PARKER J H, CHOYKE W J, et al. Phonon dispersion curves by Raman scattering in SiC, polytypes 3C, 4H, 6H, 15R, and 21R. Physical Review, 1968, 173(3): 787. |
| [41] | 韩茹, 杨银堂, 柴常春. n-SiC的电子拉曼散射及二级拉曼谱研究. 物理学报, 2008, 57(5): 3182. |
| [42] | ZHANG S C, YANG Y, LIU H F, et al. Investigation of the recovery behavior of irradiation defects induced by a neutron in 4H-SiC combining Raman scattering and lattice parameters. Journal of Materials Research, 2022, 37(18): 2910. |
| [43] | SORIEUL S, COSTANTINI J M, GOSMAIN L, et al. Raman spectroscopy study of heavy-ion-irradiated α-SiC. Journal of Physics: Condensed Matter, 2006, 18(22): 5235. |
| [44] | CSÓRÉ A, VON BARDELEBEN H J, CANTIN J L, et al. Characterization and formation of NV centers in 3C, 4H, and 6H SiC: an ab initio study. Physical Review B, 2017, 96(8): 085204. |
| [45] | LINEZ F, MAKKONEN I, TUOMISTO F. Calculation of positron annihilation characteristics of six main defects in 6H-SiC and the possibility to distinguish them experimentally. Physical Review B, 2016, 94(1): 014103. |
| [46] | ZVANUT M E, VAN TOL J. Nitrogen-related point defect in 4H and 6H SiC. Physica B: Condensed Matter, 2007, 401/402: 73. |
| [47] | KUATE DEFO R, ZHANG X, Y, BRACHER D, et al. Energetics and kinetics of vacancy defects in 4H-SiC. Physical Review B, 2018, 98(10): 104103. |
| [48] | BARANOV P G, ILYIN I V, MUZAFAROVA M V, et al. High-temperature stable multi-defect clusters in neutron irradiated silicon carbide: electron paramagnetic resonance study materials science forum. Materials Science Forum, 2005, 483/484/485: 489. |
| [49] | GERSTMANN U, RAULS E, FRAUENHEIM T, et al. Formation and annealing of nitrogen-related complexes in SiC. Physical Review B, 2003, 67(20): 205202. |
| [50] | SON N T, IVANOV I G. Charge state control of the silicon vacancy and divacancy in silicon carbide. Journal of Applied Physics, 2021, 129(21): 215702. |
| [51] | YANO T, FUTAMURA Y, YAMAZAKI S, et al. Recovery behavior of point defects after low-dose neutron irradiation at-423 K of sintered 6H-SiC by lattice parameter and macroscopic length measurements. Journal of Nuclear Materials, 2013, 442(1/2/3): S399. |
| [52] | XI J Q, LIU B, YUAN F L, et al. Diffusion of point defects near stacking faults in 3C-SiC via first-principles calculations. Scripta Materialia, 2017, 139: 1. |
| [53] | BOCKSTEDTE M, MATTAUSCH A, PANKRATOV O. Ab initio study of the annealing of vacancies and interstitials in cubic SiC: vacancy-interstitial recombination and aggregation of carbon interstitials. Physical Review B, 2004, 69(23): 235202. |
| [54] | YANO T, YOU Y, KANAZAWA K, et al. Recovery behavior of neutron-irradiation-induced point defects of high-purity β-SiC. Journal of Nuclear Materials, 2014, 455(1/2/3): 445. |
| [1] | SHEN Jia-Jun, FANG Teng, FU Tie-Zheng, XIN Jia-Zhan, ZHAO Xin-Bing, ZHU Tie-Jun. Lattice Thermal Conductivity in Thermoelectric Materials [J]. Journal of Inorganic Materials, 2019, 34(3): 260-268. |
| [2] | ZHANG Sa, LIU Ying, LIU Yi-Xuan, CHENG Xuan, ZHANG Ying. Phase Transitions in PLZT Ceramics Observed by In-situ Raman Spectroscopy [J]. Journal of Inorganic Materials, 2014, 29(4): 399-404. |
| [3] | WANG Liu-Ying, XU Zhuo, HUA Shao-Chun, LIU An-Min, GUO Qin, LIU Gu. Raman Spectroscopy and Microwave Absorbing Properties of CNTs/Al2O3-TiO2 Composite Absorbing Coatings with Different Diameters [J]. Journal of Inorganic Materials, 2013, 28(2): 136-140. |
| [4] | XIN Hong-Chuan,TANG Jian-Ting,FAN Feng-Tao,YANG Qi-Hua,LI Can. Preparation of Fe-substituted Mesoporous Silicas with Highly Isolated Iron Species in Buffer Solution [J]. Journal of Inorganic Materials, 2010, 25(1): 107-112. |
| [5] | WU Zi-Hua,WANG Qun,LIU Xin-Jun,YU Wei-Dong,LI Xiao-Min,CHEN Li-Dong. Change of the Magnetic Moment and Specific Heat of La0.9Ca0.1MnO3 after Heat Treatment in Oxygen and Argon [J]. Journal of Inorganic Materials, 2009, 24(1): 83-86. |
| [6] | ZHU Jia-Qi,MENG Song-He,CHEN Wang-Shou,HAN Jie-Cai. Temperature-dependent Microstructural Properties of Amorphous Diamond Films [J]. Journal of Inorganic Materials, 2007, 22(3): 565-569. |
| [7] | WANG Zhao-Bing,CAI An,XI Tong-Geng,ZHANG Qing-Li,SUN Dun-Lu,YIN Shao-Tang. Thermophysical Properties of Nd3+:Gd3Ga5O12 Crystal [J]. Journal of Inorganic Materials, 2007, 22(1): 170-172. |
| [8] |
XU Hong-Mei,YAN Hong-Ge,CHEN Zhen-Hua.
Nano-scale Ce0.8Y0.2O1.9 Powders Prepared by Low Temperature Combustion Synthesis Technique [J]. Journal of Inorganic Materials, 2006, 21(4): 809-814. |
| [9] | TU Jian-Hua,ZHANG Li-Bo,PENG Jin-Hui,PU Jing-Zhong,ZHANG Shi-Min. Structure Evolution of Woodceramics by X-ray Diffraction and Raman Spectroscopy [J]. Journal of Inorganic Materials, 2006, 21(4): 986-992. |
| [10] | TAO Hai-Zheng,ZHAO Xiu-Jian,YANG Hui,JING Cheng-Bin. Microstructural Study On the GeS2-Ga2S3-CsCl Glasses [J]. Journal of Inorganic Materials, 2005, 20(1): 47-52. |
| [11] | JIANG Na-Na,SHAO Tian-Min,CHEN Da-Rong. Pulsed-laser-arc Deposition of Diamond Like Carbon Films [J]. Journal of Inorganic Materials, 2005, 20(1): 187-192. |
| [12] | ZHANG Fu-Qin,HUANG Qi-Zhong,ZOU Lin-Hua,HUANG Bai-Yun,XIONG Xiang,ZHANG Chuan-Fu. Structure, Growth Feature and Graphitizability of Chemical VaporDeposited Pyrolitic Carbons [J]. Journal of Inorganic Materials, 2004, 19(5): 1118-1122. |
| [13] | XIE Hua-Qing,LUO Jun,XI Tong-Geng,WANG Jin-Cang. FAN Shi-Qi,LIU Yan,WU Qing-Ren. Thermophysical Properties of Ca2YO(BO3)3 Crystal [J]. Journal of Inorganic Materials, 2002, 17(2): 225-229. |
| [14] | XIE Hua-Qing,XI Tong-Geng,WANG Jin-Chang,WU Qing-Ren. Specific Heats of LiIO3 Crystal Grown in Space and on the Earth [J]. Journal of Inorganic Materials, 1998, 13(6): 783-786. |
| Viewed | ||||||
|
Full text |
|
|||||
|
Abstract |
|
|||||