Journal of Inorganic Materials ›› 2026, Vol. 41 ›› Issue (1): 129-136.DOI: 10.15541/jim20250064
• RESEARCH LETTER • Previous Articles
WANG Siting1(
), SUN Zixiong1(
), LIU Xinying1, HAN Peiqiao1, WANG Xiuli2, ZHANG Sufeng3
Received:2025-02-18
Revised:2025-04-28
Published:2026-01-20
Online:2025-06-05
Contact:
SUN Zixiong, associate professor. E-mail: sunzx@sust.edu.cnAbout author:WANG Siting (1999-), female, Master candidate. E-mail: wst11902023@163.com
Supported by:CLC Number:
WANG Siting, SUN Zixiong, LIU Xinying, HAN Peiqiao, WANG Xiuli, ZHANG Sufeng. Achieving High Power Density in Paper-based Piezoelectric Nanogenerators through Dual-phase BCZT Doping Strategy[J]. Journal of Inorganic Materials, 2026, 41(1): 129-136.
Fig. 1 XRD patterns and FT-IR spectra of the two-phase powders, as well as the physical pictures of the sample films (a, b) XRD refined patterns of (a1) T-phase BCZT (tetragonal-phase) and (a2) C-phase (cubic-phase) BCZT; (b) FT-IR spectra of all films;(c1-c4) Real photos of (c1) S-L3H7, (c2) S-L5H5, (c3) D-L3H7, and (c4) D-L5H5
Fig. 2 Performance tests of PENGs with different configurations (a1) VOC and (a2) ISC of PENGs fabricated based on different single-layer composite films at 20 N/3 Hz; (b1) VOC and (b2) ISC of PENGs fabricated based on different double-layer composite films at 20 N/3 Hz. Colorful figures are available on website
Fig. 3 Monitoring of various human motions in real-time Output voltage as function of time for a typical D-L3H7 PENG at (a1) different finger joint bending (30°, 60°, and 90°) motions, (a2) different wrist joint bending (30°, 60°, and 90°) motions, (a3) different elbow joint bending (30°, 60°, and 90°) motions,and (a4) walk, run, and skip deformations
Fig. S1 Schematic diagrams of composite films with different structures (a1-a5) Schematic diagrams of double-layer composite films; (b1-b3) Schematic diagrams of single-layer composite films
Fig. S2 Morphological structure of the BCZT@cellulose/PVDF composite film (a1) SEM image of the general area of the D-L3H7 film; (a2-a6) EDS images of C, O, F, Ti, and Zr in Fig. (a1); (b1) TEM image of the general area of the D-L3H7 film; (b2-b7) EDS images of Ba, F, O, C, Ti, and Ca in Fig. (b1)
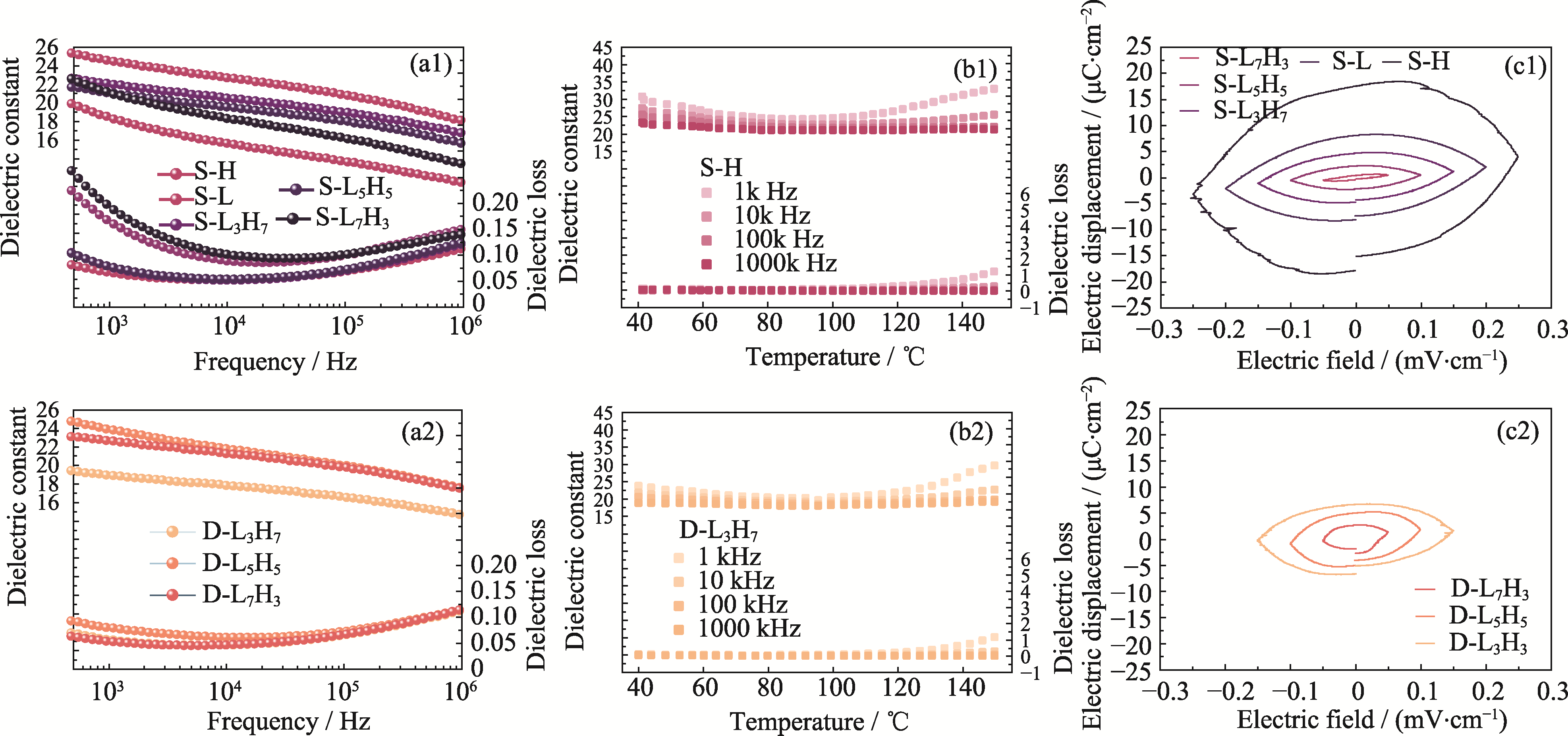
Fig. S3 Electrical performance tests of PENGs with different configurations (a1, a2) Frequency dependence of ε and tanσ of (a1) all single-layered films and (a2) all double-layered films; (b1, b2) Temperature dependence of ε and tanσ of (b1) S-H and (b2) D-L3H7; (c1, c2) P-E loops of (c1) all single-layered films and (c2) all double-layered films
Fig. S4 Water contact and mechanical property of different thin films (a1-a5) Water contact angles for single-layer filmss; (b1-b3) Water contact angles for double-layer films; (c) Stress-strain curves and (d) corresponding Young's modulus
| Single-layer-structured PENG (number) | BCZT-L : BCZT-H | VOC/V | ISC/μA | PD/(μW·cm-2) |
|---|---|---|---|---|
| S-H | 0 : 1 | 19.31 | 4.42 | 11.33 |
| S-L3H7 | 3 : 7 | 15.63 | 3.17 | 6.58 |
| S-L5H5 | 5 : 5 | 12.55 | 2.25 | 3.82 |
| S-L7H3 | 7 : 3 | 7.52 | 1.18 | 1.17 |
| S-L | 1 : 0 | 5.23 | 0.88 | 0.57 |
Table S1 Serial number and performance of single-layer PENG
| Single-layer-structured PENG (number) | BCZT-L : BCZT-H | VOC/V | ISC/μA | PD/(μW·cm-2) |
|---|---|---|---|---|
| S-H | 0 : 1 | 19.31 | 4.42 | 11.33 |
| S-L3H7 | 3 : 7 | 15.63 | 3.17 | 6.58 |
| S-L5H5 | 5 : 5 | 12.55 | 2.25 | 3.82 |
| S-L7H3 | 7 : 3 | 7.52 | 1.18 | 1.17 |
| S-L | 1 : 0 | 5.23 | 0.88 | 0.57 |
| Double-layer-structured PENG (number) | BCZT-L : BCZT-H | VOC/V | ISC/μA | PD/(μW·cm-2) |
|---|---|---|---|---|
| D-L3H7 | 3 : 7 | 23.13 | 8.32 | 26.06 |
| D-L5H5 | 5 : 5 | 17.53 | 6.71 | 14.45 |
| D-L7H3 | 1 : 0 | 6.20 | 1.85 | 1.57 |
Table S2 Serial number and performance of double-layer PENG
| Double-layer-structured PENG (number) | BCZT-L : BCZT-H | VOC/V | ISC/μA | PD/(μW·cm-2) |
|---|---|---|---|---|
| D-L3H7 | 3 : 7 | 23.13 | 8.32 | 26.06 |
| D-L5H5 | 5 : 5 | 17.53 | 6.71 | 14.45 |
| D-L7H3 | 1 : 0 | 6.20 | 1.85 | 1.57 |
| [1] |
HAN J, WANG M, ZHAO T, et al. Triboelectric nanogenerator based on graphene forest electrodes. Journal of Inorganic Materials, 2019, 34(8): 839.
DOI URL |
| [2] |
ZHOU X, Li C, WU D, et al. Recent advances of cellular stimulation with triboelectric nanogenerators. Exploration, 2023, 3(4): 20220090.
DOI URL |
| [3] |
ANNAMALAI P K, NANJUNDAN A K, DUBAL D P, et al. An overview of cellulose‐based nanogenerators. Advanced Materials Technologies, 2021, 6(3): 2001164.
DOI URL |
| [4] |
ZHANG Y, GAO X, WU Y, et al. Self-powered technology based on nanogenerators for biomedical applications. Exploration, 2023, 1(1): 90.
DOI URL |
| [5] |
GUO Y, CHEN Z, WANG H, et al. Progress of inorganic filler based composite films for triboelectric nanogenerators. Journal of Inorganic Materials, 2021, 36(9): 919.
DOI |
| [6] |
WABG B, WEI X, ZHOU H, et al. Viscoelastic blood coagulation testing system enabled by a non-contact triboelectric angle sensor. Exploration, 2023, 4(1): 20230073
DOI URL |
| [7] |
CHEN Y, GAO Z, ZHANG F, et al. Recent progress in self-powered multifunctional e-skin for advanced applications. Exploration, 2022, 2(1): 20210112.
DOI URL |
| [8] |
RAM F, GUDADHE A, VIJAYAKANTH T, et al. Nanocellulose reinforced flexible composite nanogenerators with enhanced vibrational energy harvesting and sensing properties. ACS Applied Polymer Materials, 2020, 2(7): 2550.
DOI URL |
| [9] |
WANG X, ZHU Y, PENG Z, et al. Phase structure and piezoelectric property of (Ba0.85Ca0.15)(Ti0.9Zr0.1-xSnx)O3 lead-free piezoceramics. Journal of Inorganic Materials, 2022, 37(5): 513.
DOI URL |
| [10] |
NAN B, ZANG J, LU W L, et al. Recent progress on additive manufacturing of piezoelectric ceramics. Journal of Inorganic Materials, 2022, 37(6): 585.
DOI |
| [11] |
VULLERS R J M, VAN SCHAIJK R, DOMS I, et al. Micropower energy harvesting. Solid-State Electronics, 2009, 53(7): 684.
DOI URL |
| [12] | MARZENCKI M, AMMAR Y, BASROUR S. Integrated power harvesting system including a MEMS generator and a power management circuit. Sensors and Actuators A: Physical, 2008, 145: 363. |
| [13] | YUAN X, GAO X, YANG J, et al. The large piezoelectricity and high power density of a 3D-printed multilayer copolymer in a rugby ball-structured mechanical energy harvester. Energy & Environmental Science, 2020, 13(1): 152. |
| [14] |
HUANG A, ZHU Y, PENG S, et al. Improved energy harvesting ability of single-layer binary fiber nanocomposite membrane for multifunctional wearable hybrid piezoelectric and triboelectric nanogenerator and self-powered sensors. ACS Nano, 2023, 18(1): 691.
DOI URL |
| [15] | RANA M M, KHAN A A, HUANG G, et al. Porosity modulated high-performance piezoelectric nanogenerator based on organic/ inorganic nanomaterials for self-powered structural health monitoring. ACS Applied Materials & Interfaces, 2020, 12(42): 47503. |
| [16] |
BAGHALI M, JAYATHILAKA W, RANAKRISHNA S. The role of electrospun nanomaterials in the future of energy and environment. Materials, 2021, 14(3): 558.
DOI URL |
| [17] |
LU L, DING W, LIU J, et al. Flexible PVDF based piezoelectric nanogenerators. Nano Energy, 2020, 78: 105251.
DOI URL |
| [18] | LUO X, WANG Z, YAN M, et al. One-pot three-step synthesis of PDMAEMA-b-PMMA-b-PNIPAM triblock block copolymer for preparing pH and thermal dual-responsive PVDF blend membranes. Polymer Engineering and Science, 2023, 63(10): 3343. |
| [19] |
YANG X R, WANG R Y, WANG H J, et al. A robust-switchable poly(vinyl alcohol) gel with adjustable multiple hydrogen bonding interactions. European Polymer Journal, 2023, 195: 112192.
DOI URL |
| [20] |
SONG Y, SHI Z, HU G H, et al. Recent advances in cellulose- based piezoelectric and triboelectric nanogenerators for energy harvesting: a review. Journal of Materials Chemistry A, 2021, 9(4): 1910.
DOI URL |
| [21] | CAUDA V, STASS S, BEJTKA K, et al. Nanoconfinement: an effective way to enhance PVDF piezoelectric properties. ACS Applied Materials & Interfaces, 2013, 5(13): 6430. |
| [22] |
DALLAEV R, PISARENKO T, SOBOLA D, et al. Brief review of PVDF properties and applications potential. Polymers, 2022, 14(22): 4793.
DOI URL |
| [23] |
WEI S, WANG X, ZHAO X, et al. Detection of pesticide residues on flexible and transparent fluorinated polyimide film based on surface-enhanced Raman spectroscopy technology. Analytica, Chimica Acta, 2023, 1283: 341958.
DOI URL |
| [24] |
HU R, ZHAO J, ZHU G, et al. Fabrication of flexible free-standing reduced graphene oxide/polyaniline nanocomposite film for all-solid-state flexible supercapacitor. Electrochimica Acta, 2018, 261: 151.
DOI URL |
| [25] |
LI C, XU S, YU J, et al. 3D hybrid MoS2/AgNPs/inverted pyramid PMMA resonant cavity system for the excellent flexible surface enhanced Raman scattering sensor. Sensors and Actuators B-Chemical, 2018, 274: 152.
DOI URL |
| [26] |
MAGDY G, HASSANIN A H, KANDAS I, et al. PVDF nanostructures characterizations and techniques for enhanced piezoelectric response: a review. Materials Chemistry and Physics, 2024, 325: 129760.
DOI URL |
| [27] |
HE Z, RAULT F, LEWANDOWSKI M, et al. Electrospun PVDF nanofibers for piezoelectric applications: a review of the influence of electrospinning parameters on the β phase and crystallinity enhancement. Polymers, 2021, 13(2): 174.
DOI URL |
| [28] |
LI Y, HU Q, ZHANG R, et al. Piezoelectric nanogenerator based on electrospinning PVDF/cellulose acetate composite membranes for energy harvesting. Materials, 2022, 15(19): 7026.
DOI URL |
| [29] |
VENKATESAN M, CHEN W C, CHO C J, et al. Enhanced piezoelectric and photocatalytic performance of flexible energy harvester based on CsZn0.75Pb0.25I3/CNC-PVDF composite nanofibers. Chemical Engineering Journal, 2022, 433: 133620.
DOI URL |
| [30] | CHENG Y, FENG Y, PAN Z, et al. Multilayer nanocomposites with ultralow loadingsof nanofillers exhibiting superb capacitive energy storage performance. Energy & Environmental Science, 2023, 16(12): 5881. |
| [31] |
HU P, YAN L, ZHAO C, et al. Double-layer structured PVDF nanocomposite film designed for flexible nanogenerator exhibiting enhanced piezoelectric output and mechanical property. Composites Science and Technology, 2018, 168: 327.
DOI URL |
| [32] |
SUN Z, XIN H, DIWU L, et al. Boosting the energy storage performance of BCZT-based capacitors by constructing a Schottky contact. Materials Horizons, 2025, 12(7): 2328.
DOI PMID |
| [33] |
SUN Z, BAI Y, JING H, et al. A polarization double-enhancement strategy to achieve super low energy consumption with ultra-high energy storage capacity in BCZT-based relaxor ferroelectrics. Materials Horizons, 2024, 11(14): 3330.
DOI URL |
| [34] |
SUN Z, ZHAO S, WANG T, et al. Achieving high overall energy storage performance of KNN-based transparent ceramics by ingenious multiscale designing. Journal of Materials Chemistry A, 2025, 12(27): 16735.
DOI URL |
| [35] |
SUN Z, WANG Z, TIAN Y, et al. Progress, outlook, and challenges in lead-free energy-storage ferroelectrics. Advanced Electronic Materials, 2020, 6(1): 1900698.
DOI URL |
| [36] |
SUN Z, BAI Y, LIU J, et al. Interface engineering in ferroelectrics: from films to bulks. Journal of Alloys and Compounds, 2022, 909: 164735.
DOI URL |
| [37] |
JI X, WANG C, HARUMOTO T, et al. Structure and electrical properties of BCZT ceramics derived from microwave-assisted Sol-Gel-hydrothermal synthesized powders. Scientific Reports, 2020, 10(1): 20352.
DOI PMID |
| [38] |
CHUKHCHIN D G, MALKOV A V, TYSHUNOVA I V, et al. Diffractometric method for determining the degree of crystallinity of materials. Crystallography Reports, 2016, 61(3): 371.
DOI URL |
| [39] |
DANG S T, XUE L L, HE L F, et al. Dielectric and energy storage properties of Ba0.85Ca0.15Zr0.1Ti0.9O3 ceramics with different aging temperature during the Sol-Gel process. Journal of Materials Science: Materials in Electronics, 2022, 33(35): 26100.
DOI |
| [40] |
KOU Q, YANG B, SUN Y, et al. Tetragonal (Ba, Ca)(Zr, Ti)O3 textured ceramics with enhanced piezoelectric response and superior temperature stability. Journal of Materiomics, 2022, 8(2): 366.
DOI URL |
| [41] |
CHAKKCHAOUI N, FARHAN R, BOUTALDAT M, et al. Piezoelectric β-polymorph formation of new textiles by surface modification with coating process based on interfacialinteraction on the conformational variation of poly (vinylidene fluoride) (PVDF) chains. The European Physical Journal Applied Physics, 2020, 91(3): 31301.
DOI URL |
| [42] |
SUN Z, LIU J, WEI H, et al. Ultrahigh energy storage capacity in multilayer-structured cellulose-based dielectric capacitors caused by interfacial polarization-coupled Schottky barrier height. Journal of Materials Chemistry A, 2023, 11(37): 20089.
DOI URL |
| [43] |
SUN Z, WEI H, ZHAO S, et al. Utilizing the synergistic effect between the Schottky barrier and field redistribution to achieve high-density, low-consumption, cellulose-based flexible dielectric films for next-generation green energy storage capacitors. Journal of Materials Chemistry A, 2024, 12(1): 128.
DOI URL |
| [44] |
SUN Z, WANG S, ZHAO S, et al. Achieving low energy consuming bio-based piezoelectric nanogenerators via modulating the inner layer thickness for a highly sensitive pedometer. Journal of Materials Chemistry C, 2024, 12(3): 859.
DOI URL |
| [45] |
OTTA S, KAND L, DAS R K, et al. Piezoelectric, structural, vibration and optical properties of lead free based 0.5Ba(Ti0.8Zr0.2)O3-0.5(Ba0.7Ca0.3)TiO3 ceramic sample. Materials Today Communications, 2023, 35: 106191.
DOI URL |
| [46] |
JI W, FANG B, LU X, et al. Tailoring structure and performance of BCZT ceramics prepared via hydrothermal method. Physica B: Condensed Matter, 2019, 567: 65.
DOI URL |
| [47] |
LIU Y, PU Y, SUN Z, et al. Enhanced relaxor ferroelectric behavior of BCZT lead-free ceramics prepared by hydrothermal method. Materials Letters, 2014, 137: 128.
DOI URL |
| [48] |
BARASKAR B G, KOLEKAR Y D, THOMBARE B R, et al. Enhanced piezoelectric, ferroelectric, and electrostrictive properties of lead-free (1-x)BCZT-xBCST electroceramics with energy harvesting capability. Small, 2023, 19(37): 2300549.
DOI URL |
| [49] | MISSAOUI S, BOUHAMED A, NOURI H, et al. Sustainable and flexible piezoelectric nanogenerator with hybrid nanocomposites based on high-performance synthesized BCZT powder. ACS Applied Electronic Materials, 2024, 6(8): 5608. |
| [50] |
LI Y, TAN J, LIANG K, et al. Enhanced piezoelectric performance of multi-layered flexible polyvinylidene fluoride-BaTiO3-rGO films for monitoring human body motions. Journal of Materials Science: Materials in Electronics, 2022, 33(7): 4291.
DOI |
| [51] |
RAVINDRAN P, VIDYA R, KJEKSHUS A, et al. Theoretical investigation of magnetoelectric behavior in BiFeO3. Physical Review B-Condensed Matter and Materials Physics, 2006, 74(22): 224412.
DOI URL |
| [52] |
YANG P, ZHAO L, SHI S, et al. The influence of interface on the dielectric and tunable properties of BCZT/BZT ceramic. Journal of Materials Science: Materials in Electronics, 2024, 35(8): 610.
DOI |
| [53] |
JI D, ZHANG M, SUN H, et al. Enhanced mechanical and dielectric properties of lignocellulosic composite papers with biomimetic multilayered structure and multiple hydrogen-bonding interactions. International Journal of Biological Macromolecules, 2024, 281: 136247.
DOI URL |
| [54] |
HANANI Z, MEZZANE D, AMIOUD M, et al. Structural, dielectric, and ferroelectric properties of lead-free BCZT ceramics elaborated by low-temperature hydrothermal processing. Journal of Materials Science: Materials in Electronics, 2020, 31(13): 10096.
DOI |
| [55] |
JAFFARI G H, SHAWANA H, MUMTAZ F, et al. Electrical response of PVDF/BaTiO3 nanocomposite flexible free-standing films. Bulletin of Materials Science, 2023, 46(4): 227.
DOI |
| [56] |
SU C, HUANG X, ZHANG L, et al. Robust superhydrophobic wearable piezoelectric nanogenerators for self-powered body motion sensors. Nano Energy, 2023, 107: 108095.
DOI URL |
| [57] |
ZHANG Y, RUAN K, GU J. Flexible sandwich-structured electromagnetic interference shielding nanocomposite films with excellent thermal conductivities. Small, 2021, 17(42): 2101951.
DOI URL |
| [1] | YUAN Liping, WU Yuanbo, YU Jiajing, ZHANG Shiyan, SUN Yi, HU Yunchu, FAN Youhua. CNFs Aerogel Composite with Phosphomolybdic Acid Intercalated Hydrotalcite: Preparation and Thermal Insulation Performance [J]. Journal of Inorganic Materials, 2025, 40(4): 415-424. |
| [2] | LI Tingting, ZHANG Yang, CHEN Jiahang, MIN Yulin, WANG Jiulin. Flexible Binder for S@pPAN Cathode of Lithium Sulfur Battery [J]. Journal of Inorganic Materials, 2022, 37(2): 182-188. |
| [3] | MA Li-Na,SHI Chuan,ZHAO Ning,BI Zhi-Jie,GUO Xiang-Xin,HUANG Yu-Dong. Bacterial Cellulose Based Nano-biomaterials for Energy Storage Applications [J]. Journal of Inorganic Materials, 2020, 35(2): 145-157. |
| [4] | LYU Ziye, TANG Yiping, CAO Huazhen, ZHENG Guoqu, HOU Guangya. Effect of V Doping on Electrocatalytic Performance of Ni-Co-S on Bacterial Cellulose-derived Carbon Aerogel [J]. Journal of Inorganic Materials, 2020, 35(10): 1142-1148. |
| [5] | ZHENG Lei, LI Jin, LIU Hong-Bo. Carbon Aerogels Prepared Based on Sol-Gel Reaction of Cellulose Colloid with AEP and Its Adsorption of Copper Ions in Aqueous Solution [J]. Journal of Inorganic Materials, 2017, 32(11): 1159-1164. |
| [6] | ZHAO Jun-Sheng, QU Shu-Xin, HUANG Ping, LIU Zong-Guang, WANG Shi-Wen, WENG Jie. Calcium Phosphate Cement Reinforced by Nanocrystalline Cellulose [J]. Journal of Inorganic Materials, 2015, 30(3): 318-324. |
| [7] | WANG Gai-Hua, DAI Bo, MA Yong-Jun, REN Yong. Electromagnetic Properties of Novel Carbon Nanofibers [J]. Journal of Inorganic Materials, 2013, 28(4): 398-402. |
| [8] | MAO Rui, GUO Hong, TIAN Dong-Xue, YANG Xiang-Jun, WANG Shi-Xiong, CHEN Jing. Hollow Nanotubular SnO2 Templated by Cellulose Fibers for Lithium Ion Batteries [J]. Journal of Inorganic Materials, 2013, 28(11): 1213-1216. |
| [9] | Agarwal Satya R, Sundarrajan Subramanian, Ramakrishna Seeram. Functionalized Cellulose: PET Polymer Fibers with Zeolites for Detoxification Against Nerve Agents [J]. Journal of Inorganic Materials, 2012, 27(3): 332-336. |
| [10] | PENG Xin-Yan, DING En-Yong. Preparation and Characterization of Flower-like TiO2 Induced by Rod-like Nanocrystalline Cellulose [J]. Journal of Inorganic Materials, 2012, 27(10): 1068-1072. |
| [11] | NA Wen-Ju, DING Shi-Hua, SONG Tian-Xiu, WANG Jiu-Shi, WANG Yan. Study of Structure and Dielectric Properties of (Ba1-xCax)(Ti0.82Zr0.18)O3 Ceramics [J]. Journal of Inorganic Materials, 2011, 26(6): 655-658. |
| [12] | LIU Hao-Huai, ZHANG Jian-Hua, XU Qing-Ling, ZHANG Li, LI Yu-Bao. Studies on Hydroxyapatite/Polyurethane Scaffold Containing Drug-loaded Microspheres for Bone Tissue Engineering [J]. Journal of Inorganic Materials, 2011, 26(10): 1073-1077. |
| [13] | JIANG Liu-Yun,LI Yu-Bao,ZHANG Li,WANG Xue-Jiang. Study on Nano-hydroxyapatite/Chitosan-Carboxymethyl Cellulose Composite Scaffold [J]. Journal of Inorganic Materials, 2008, 23(1): 135-140. |
| [14] | DONG Hui,SHAO Zong-Ping,XIONG Guo-Xing,YANG Wei-Shen. Crystal Structure and Oxygen Permeation Study of Cobalt Doped Sr4Fe6O13 Mixed-Conducting Oxides [J]. Journal of Inorganic Materials, 2001, 16(2): 311-318. |
| [15] | SHAO Zong-Ping,XIONG Guo-Xing,YANG Wei-Shen. Mechanism Study of Preparing Composite Oxide Powders by a Cellulose Adsorption Method [J]. Journal of Inorganic Materials, 2000, 15(1): 124-130. |
| Viewed | ||||||
|
Full text |
|
|||||
|
Abstract |
|
|||||