钙掺杂自激活锗酸锌长余辉材料的多色余辉及动态防伪应用
Calcium Doped Self-activated Zinc Germanate Long Afterglow Materials: Multicolor Afterglow and Application in Dynamic Anti-counterfeiting
通讯作者: 潘再法, 副教授. E-mail:panzaifa@zjut.edu.cn
收稿日期: 2022-12-5 修回日期: 2023-01-9 网络出版日期: 2023-02-21
基金资助: |
|
Corresponding authors: PAN Zaifa, associate professor. E-mail:panzaifa@zjut.edu.cn
Received: 2022-12-5 Revised: 2023-01-9 Online: 2023-02-21
Fund supported: |
|
长余辉材料在安全指示、防伪和生物成像等领域具有广泛应用前景, 但其缺陷调控及余辉机理尚不清晰。自激活长余辉材料以其物质组成及晶体结构简单, 便于研究余辉机理而受到关注。本研究以自激活长余辉材料锗酸锌为基质, 采用高温固相反应合成得到了一系列钙掺杂的长余辉材料Zn2-xCaxGeO4(x=0、0.1、0.2、0.3、0.4、0.5)。实验表明, 在锗酸锌中掺杂钙元素后, 使用376 nm紫外光激发时,观察到锗酸锌基质样品的黄色发光峰; 同时在267 nm激发下, Zn1.5Ca0.5GeO4荧光强度增强了6.2倍。从余辉光谱和余辉衰减曲线上看, Zn1.5Ca0.5GeO4初始余辉强度增强了25.1倍; 并且在所考察的300 s余辉时间里, 与锗酸锌相比, Zn1.5Ca0.5GeO4保持了近5倍的余辉强度。进一步热释曲线表征显示, 材料主要陷阱的深度在0.7 eV左右; 加入合适浓度的Ca2+后, 其热释峰显著变强, 表明钙掺杂后陷阱密度显著增加。最后利用不同发射波长的余辉衰减差别, 实现了“花朵”颜色的动态变化, 表明所得材料在动态防伪领域具有一定应用前景。
关键词:
Long afterglow materials have wide application in the fields of safety indication, anti-counterfeiting and biological imaging, whereas their defect regulation and afterglow mechanism remain unclear. Self-activated long afterglow materials attracted attention due to their simple composition and structure, which is convenient for revealing the mechanism of long afterglow. A series of calcium doped self-activated zinc germanate long afterglow materials Zn2-xCaxGeO4 (x=0, 0.1, 0.2, 0.3, 0.4, 0.5) were synthesized by high temperature solid reaction. The results showed that yellow luminescence peak of calcium doped zinc germanate sample was observed when excited by 376 nm UV light. Upon 267 nm excitation, the fluorescence intensity of Zn1.5Ca0.5GeO4 increased by 6.2 times. According to the afterglow spectra and their decay curves, the initial afterglow intensity is enhanced by 25.1 times. In addition, Zn1.5Ca0.5GeO4 maintains an afterglow intensity nearly 5 times that of zinc germanate during the first 300 s afterglow duration. Further characterization of TL curves show that the depth of the main trap is about 0.7 eV. After adding proper concentration of Ca2+, the TL peaks become significantly stronger, indicating that the trap density increases significantly after calcium doping. Finally, taking advantage of the difference of the afterglow decay rate of different emission wavelengths, the dynamic change of the "flower" color is realized, which indicates that the obtained materials have the potential application in the field of dynamic anti-counterfeiting.
Keywords:
本文引用格式
曾琦琦, 吴彦徵, 程煌裕, 邵康, 胡恬雨, 潘再法.
ZENG Qiqi, WU Yanzheng, CHENG Huangyu, SHAO kang, HU Tianyu, PAN Zaifa.
长余辉荧光粉是一种独特的光致发光材料, 在停止外部光源激发的情况下能持续发光, 持续时间从几分钟到几小时, 甚至几天。由于长余辉材料的制备简单, 性能优异, 部分材料已经实现工业化生产, 广泛应用于消防安全、交通运输、室内装饰、光存储等方面, 逐渐进入人们的日常生活。同时长余辉材料还能应用在一些新兴领域如生物体肿瘤细胞标记, 高能粒子探测等方面, 拥有广阔的应用前景[1⇓-3]。而它之所以拥有如此优异的性能, 是因为荧光粉的制备过程中在材料带隙中引入了亚稳态陷阱, 陷阱能够捕获电荷载体(电子/空穴), 从而延缓载流子的自发复合发光。显然, 陷阱的深度和密度特性在捕获和去捕获载流子方面起着至关重要的作用,陷阱的深度太深或太浅都不适宜在室温下观察到长时间的余辉发射。长余辉材料中通常存在多种类型的缺陷, 包括合成过程中形成的晶格本征陷阱和掺杂离子形成的缺陷。首先, 常见的本征缺陷有阳离子和阴离子空位, 即称为Schottky缺陷。这些缺陷可以在材料合成过程中以化学计量比同时产生, 以保持电荷中性。同时, 离子也可以迁移到间隙位置, 留下空位形成Frenkel缺陷。此外, 当阳离子交换位置时, 弱离子性化合物中会形成反位缺陷。除了合成过程中形成的晶格本征缺陷外, 共掺杂外来离子已被证明是引入陷阱的一种有效方法。本工作拟通过掺杂Ca离子的方式引入新的缺陷, 来调控余辉性能。由于材料内部能带结构具有复杂的陷阱分布, 载流子捕获和释放过程的准确机制至今尚未达成明确的共识[4-5]。自激活长余辉材料由于其元素组成相对简单, 荧光性能与内部陷阱紧密相关, 从而有利于研究其内部结构缺陷, 引起研究人员的广泛兴趣。锗酸锌Zn2GeO4(ZGO)是一种典型的n型半导体, 具有一些优异的性质, 如4.4 eV的宽带隙、高激子结合能(EBE)、稳定的尖晶石晶体结构、优异的热稳定性和化学稳定性等[6], 使其吸引了众多研究者的关注。
目前, 锗酸锌可以通过多种合成方法制备, 调控其组成、粒径、形态和固有缺陷[7]。Zn2GeO4的发射峰通常集中于430~500 nm范围内[8⇓⇓-11], 普遍认为这归因于锗酸锌内部供体(VO、Zni)-受体(VGe、VZn)结合产生的辐射跃迁, 导致其发射荧光, 并产生余辉现象。为增强锗酸锌的荧光性能, 人们也尝试向锗酸锌中加入激活离子。2008年, Anoop 等[12]报道了Mn2+和Mg2+共掺杂的Zn1.96GeO4:0.04Mn荧光粉, 即在掺杂Mn2+的基础上又加入Mg2+, 使得锗酸锌本征发射猝灭, 仅能观察到由Mn2+3d5电子的4T1-6A1跃迁在535 nm处的绿色发光。另外, 向锗酸锌中掺入Eu3+后[13], 可观察到460和614 nm的多色发光, 其中460 nm是由于锗酸锌基质的发光, 614 nm归因于Eu3+的特征跃迁。与纯相锗酸锌对比, 加入Eu3+后发射峰产生蓝移, 说明加入掺杂离子不仅会引入新的能级, 对锗酸锌的本征缺陷也会产生影响。2014年Zhang等[14]向锗酸锌中加入Bi3+, 未出现新的发射峰, 但是发射峰由440 nm向455 nm偏移, 表明能量从锗酸锌基质转移到Bi3+, 造成发射峰红移。近几年关于锗酸锌的研究主要集中于多元素共掺与固溶体的制备。2020年Peng等[15]通过向Zn-Mg-Ge-O体系中共掺Mn2+、Eu3+, 制备了可以发出红、橙、黄、绿四种视觉色彩的荧光粉, 认为体系中的四种颜色归因于样品中Mg2GeO4:Mn, Eu和Zn2GeO4:Mn,Eu的含量变化, 通过调节体系中Zn的含量调控粉末的视觉颜色。通过水热法向Zn2GeO4中掺入Sr[16], 其发射波长在500 nm左右, 通过调节前驱体溶液的pH可以使其发光强度达到最大值。Gao等[17]通过向锗酸锌中的共掺Mn、Li合成具有多色多模发光的荧光粉, 调节Li的掺杂浓度实现了渐变颜色输出和可调的余辉持续时间。在锗酸锌掺Mn的基础上, Gao等[18]向其中加入Ga元素, 形成Zn1+xGa2-2xGexO4:Mn(0≤x≤1)固溶体, 新制得的固溶体荧光粉除了原有的Zn2GeO4:Mn和ZnGa2O4:Mn之外在700 nm(八面体Mn4+的2E-4A2跃迁)左右出现了新的发射峰, 这表明Mn在晶体内更倾向于占据八面体Ga位, 产生Mn4+的光谱特征, 而在氮气中合成则可以抑制这一现象。
尽管对锗酸锌已有较多报道, 但是对于其与缺陷相关的多色发光机理尚未明确。在实验中发现, 锗酸锌中掺杂钙元素后出现新的黄色发光峰。本研究通过高温固相反应法制备得到钙掺杂锗酸锌Zn2-xCaxGeO4(ZCGO)尖晶石固溶体长余辉材料。通过X射线衍射(XRD)和EDS能谱对合成的材料进行结构与组成表征, 利用荧光光谱和热释曲线分析材料的余辉性能及缺陷分布, 最后讨论了ZCGO尖晶石中可能存在的缺陷类型、缺陷分布及余辉增强机制。
1 实验方法
1.1 样品制备
研究采用高温固相法制备了一系列钙掺杂锗酸锌ZCGO尖晶石长余辉材料。根据化学计量比Zn2-xCaxGeO4(x=0、0.1、0.2、0.3、0.4、0.5)分别精确称量CaCO3(≥99%, 上海凌峰化学试剂有限公司)、ZnO(99.99%, 阿拉丁试剂有限公司)、GeO2 (99.99%, 南京细诺科技有限公司)等原料。将各个组分加入玛瑙研钵中充分研磨, 然后将研磨均匀的前驱体转入刚玉坩埚中, 在1400 ℃下高温煅烧8 h, 等待样品冷却至室温后, 研磨均匀, 得到制备好的ZCGO系列样品, 并将样品避光保存, 以便进一步表征测试。
1.2 样品表征
采用荷兰PNAlytical公司生产的Empyrean型X射线衍射仪对样品进行结构表征。阳极金属为Cu靶, 测试电压为45 kV, 测试电流为40 mA, 扫描角度为10°~80°, 探测器为PIXcel 1D阵列探测器。采用英国牛津仪器公司生产的Oxford Ultim Max 65型能量色散X射线能谱仪(EDS)对样品进行化学元素成分检测。采用岛津UV-2700 UV-Vis-NIR光谱仪测量样品漫反射吸收光谱。样品的光致发光光谱、余辉衰减曲线及热释曲线由Fluoromax-4P(FM-4P, JOBIN YVON)光谱仪检测完成, 其中热释曲线测试时样品通过变温加热装置(TAP-02, Orient Koji Scientific 公司)进行程序升温。
2 结果与讨论
2.1 晶体结构表征
为验证Ca2+离子掺杂浓度对锗酸锌样品结构组成的影响,对ZCGO系列样品进行了XRD结构表征及EDS能谱表征。从图1(a)中可以看出, 当向锗酸锌中加入不同比例的Ca2+时, 在2θ=28°和37°左右处粉末中会出现微小杂相峰。对比标准卡片, 发现杂相为GeO2, 且这两处衍射角对应的衍射峰的强度随Ca2+浓度增加而增大。这表明加入的Ca2+越多, 样品中的杂相也就越多。当锌钙比为Zn:Ca=1.9:0.1时, XRD结果显示样品几乎为纯相。一般情况下, 当向晶体中加入其他元素, 阳离子的有效半径由配位数决定[14], 而在锗酸锌中, Zn2+(CN=4,6)的离子半径分别为0.060和0.074 nm, Ge4+(CN=4,6)的离子半径分别为0.039和0.053 nm, 而Ca2+(CN=6)的离子半径为0.100 nm, 大于Zn2+和Ge4+。故当向锗酸锌中掺杂Ca元素时, 从配位数和离子半径看, Ca2+难以直接取代Zn2+或Ge4+中的任何一个。锗酸锌的结构(图1(b))由角共享的ZnO4和GeO4四面体组成, 其中包含两种六元环和一种四元环, 采用交替角共享ZnO4四面体构建了一种六元环, 环尺寸为0.196 nm; 另一种由角共享的ZnO4四面体和GeO4四面体交替构建, 其环尺寸为0.277 nm[19]。因此, 当加入少量Ca2+离子时, Ca2+离子可能更倾向于留在六元环或四元环中。也就是说, 当向锗酸锌中加入Ca2+离子时, 除可能会取代Zn2+外, 更有可能占据宿主原子之间的间隙位置, 与Zn2GeO4晶体形成固溶体。因此, 当加入少量Ca2+时(x<0.1), Ca2+可以成功“融入”锗酸锌基质中, 并使晶体仍保持纯相。
图1
图1
ZCGO系列样品的结构表征图
Fig. 1
Structure characterization of ZCGO series samples
(a) XRD patterns of ZCGO series samples; (b) Structure diagram of Zn2GeO4
对样品进行EDS能谱表征, 得到ZCGO系列样品中各元素的分布情况。分析各样品中Ca元素的分布并进行线性拟合(图2), 可以看出实验制备的ZCGO系列样品Ca元素的含量基本呈线性增加的趋势。在表征过程中由于高温固相法制备的样品颗粒大小不均匀以及测试时选区等问题, 实验数据与拟合数据存在一定偏差, 但是基本控制在0.63%~1.44%之间, 说明合成的ZCGO系列材料成分组成与设想基本一致。
图2
图2
ZCGO系列样品中Ca元素质量百分比(x)变化拟合直线
Fig. 2
Fitting plot of mass percentage change of Ca element(x) in ZCGO samples
2.2 荧光性能表征
对ZCGO系列样品进行紫外-可见漫反射光谱测试, 如图3所示。从图中可以看出, ZCGO系列样品在270和380 nm左右有两个明显的吸收峰, 其中270 nm左右的峰来自样品的带隙吸收, 即晶体内部从价带至导带的跃迁。与ZGO样品相比, ZCGO系列样品中位于380 nm吸收峰随着Ca2+浓度增加而出现明显增强的趋势。同时带隙吸收有向长波长方向移动的趋势, 意味着样品的禁带宽度在变小。
图3
图3
ZCGO系列样品漫反射光谱图和禁带宽度
Fig. 3
Diffuse reflection spectra and band gap widths of ZCGO series samples
(a) UV-Vis diffuse reflectance spectra of ZCGO samples; (b) (F(R)×E)1/2-E diagram of ZCGO series sample; Colorful figures are available on website (Band gap energy is estimated by intercept of the tangential)
然后根据公式E=1240/λ, 得到
在不同发射波长下监测样品的激发光谱, 发现ZGO系列样品除有一个267 nm左右的激发峰外, 还有一个非常弱的380 nm左右的激发峰。向ZGO中掺入Ca2+离子后, 380 nm左右的激发峰呈现增强趋势。其中, 267 nm左右的强激发带是晶体的带间跃迁导致的, 而380 nm左右的激发峰推测与ZGO晶体内部某一缺陷能级有关, 加入Ca2+后该缺陷增强, 使380 nm左右的激发峰显著增强。图4(d)为ZCGO系列样品在不同激发波长下的照片。从图4的激发光谱图中可以看出, 与ZGO样品相比, 随着Ca2+浓度增大, ZCGO系列样品激发峰的位置出现轻微红移, 即晶体的禁带宽度呈现减小趋势, 从而实现了通过控制Ca2+浓度调节材料禁带宽度的目的。
图4
图4
ZCGO系列样品在不同监测波长下的激发光谱图和样品在不同光源下的照片
Fig. 4
Excitation spectra under different monitoring wavelengths and photos in different light sources of ZCGO series samples
(a) 450 nm; (b) 526 nm; (c) 600 nm; (d) Photographs of ZCGO samples excited by daylight, 254 and 365 nm; Colorful figures are available on website
图5为在ZCGO系列样品最佳激发波长下的发射光谱。比较掺杂Ca2+后的锗酸锌与纯相锗酸锌的荧光发射谱发现, 在稳态发射中, 加入Ca2+离子后荧光强度有明显增强。如图5(a), 当用267 nm激发时, 加入Ca2+后, 样品仍然保持与ZGO类似的发射谱图, 即蓝光和绿光发射峰位置保持不变。发光强度随着Ca2+比例增大呈递增趋势, 其中加入x=0.5的Ca2+离子对锗酸锌荧光强度的增强效果最显著, 荧光强度增强了6.2倍。但是红光发射峰明显减弱, 甚至逐渐淹没在从700 nm增强的背景信号中,该背景信号由仪器光谱校正导致。而需要强调的是, 用376 nm激发时(图5(b)),锗酸锌的发射光谱与267 nm激发下的颜色不同, 且仅有样品ZCGO-1与锗酸锌呈现相同的发射峰, 其他样品则仅显示一个600 nm左右的黄绿光发射峰。从图中可以看出加入适量Ca2+离子会增强锗酸锌在376 nm激发下的发射光谱; Ca2+浓度增大会使锗酸锌的蓝光、绿光和红光发射峰减弱, 并且出现黄光发射。随着Ca2+浓度增大, 黄光发射波长逐渐红移, 当Ca2+的掺入量x=0.5时, 发射波长开始蓝移。可以推测, 向锗酸锌中加入少量Ca2+时, Ca2+除少量取代Zn2+外, 更有可能占据由ZnO4四面体和GeO4四面体构成的六元环或四元环的间隙位置, 即Ca2+会改变锗酸锌的原有缺陷, 并产生新的缺陷。
图5
图5
ZCGO系列样品的在不同激发波长下的发射光谱
Fig. 5
Emission spectra of ZCGO series samples at different excitation wavelengths
(a, b) Steady-state emission spectra of ZCGO samples excited at (a) 267 nm and (b) 376 nm; (c, d) Time-resolved emission spectra of ZCGO samples excited at (c) 267 nm, (d) 376 nm; Colorful figures are available on website
而从时间分辨发射谱(图5(c))可以看出, 当用267 nm激发时, 对所有样品来说, 530 nm左右的峰强于450 nm附近的峰, 表明在530 nm左右的绿光发射峰的寿命比蓝光发射峰长。锗酸锌在530和800 nm左右的余辉发射峰强度仍大于其他样品。而ZCGO-5样品在450 nm左右的强度与各样品相比最强, 说明加入Ca2+离子对锗酸锌的蓝光发射有显著增强效果, 而对另外两个发射峰影响较小。
2.3 余辉性能表征
为探究ZCGO系列样品Ca2+的掺杂浓度对余辉时间的影响, 表征样品的余辉衰减。首先用氙灯对样品进行预激发, 然后立即在FM-4P荧光仪动力学模式下测试样品在不同发射波长(450、526和600 nm)监测下的余辉衰减。当用526 nm进行监测时(图6(b)), 掺杂Ca2+后样品余辉强度普遍比ZGO初始余辉强度大, 尤其是加入0.5Ca的样品, 初始余辉强度比ZGO增强了将近25.1倍左右。从衰减曲线的趋势上可以看出ZGO样品的强度在停止激发后的300 s左右就衰减至平稳, 且衰减速率较快。而ZCGO系列样品衰减速率明显比ZGO慢, 且在停止激发300 s后仍能保持数倍强于背景荧光的强度, 余辉强度是ZGO的5倍, 余辉持续时间明显强于ZGO。比较不同监测波长下样品的余辉衰减曲线, 当用600 nm进行监测时, 样品的余辉衰减速率较快, 且余辉时间很短。450 nm监测时余辉性能较600 nm好, 但是用526 nm监测时, 样品的余辉持续时间最长, 说明样品中与三个波长发光相关联的缺陷深度顺序为:526 nm>450 nm>600 nm。结合前文ZCGO系列样品XRD结果与光谱数据, 可以明显看出向锗酸锌中加入Ca2+后, 样品的余辉性能随着Ca2+浓度增大得到明显提升。
图6
图6
ZCGO系列样品在不同监测波长下的的余辉衰减曲线及ZCGO-5样品的余辉衰减曲线
Fig. 6
Afterglow decay curves of ZCGO series samples and ZCGO-5 samples under different monitoring wavelengths
(a, b) Afterglow decay curves of ZCGO samples excited at 267 nm and monitored at (a) 450 nm and (b) 526 nm; (c) Afterglow decay curves of ZCGO samples excited at 376 nm and monitored at 600 nm; (d) Afterglow decay curves of ZCGO-5 samples monitored at 450 nm, 526 nm and 600 nm; Colorful figures are available on website
观察样品的余辉衰减曲线可知, 样品呈指数式衰减, 使用下列方程进行拟合:
其中, I代表荧光强度, τ为衰减时间常数, t表示时间, A表示常数, 各样品发光衰减常数拟合结果见表1。从表中数据可以看出, 使用526 nm监测时, ZCGO系列样品衰减时间常数较ZGO均有明显增大, 锗酸锌样品平均衰减时间常数为63.47 s, 而ZCGO系列样品均在80 s左右, 最短为75.88 s, 表明向锗酸锌中加入Ca元素可以增大晶体内部的陷阱浓度, 提高余辉性能。
表1 双指数拟合的ZCGO-5及ZGO样品余辉衰减曲线参数
Table 1
Sample | τ1/s | A1 | τ2/s | A2 | τavg/s |
---|---|---|---|---|---|
ZCGO-1 | 6.82 | 0.61 | 81.44 | 0.58 | 75.88 |
ZCGO-2 | 6.52 | 0.91 | 90.57 | 0.97 | 85.26 |
ZCGO-3 | 7.88 | 0.67 | 87.94 | 0.85 | 82.68 |
ZCGO-4 | 6.78 | 0.85 | 88.58 | 0.98 | 83.47 |
ZCGO-5 | 9.17 | 0.65 | 88.49 | 0.83 | 82.53 |
ZGO | 4.92 | 0.65 | 66.13 | 0.40 | 63.47 |
2.4 缺陷分析
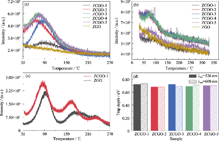
测试样品的热释曲线可以进一步确定长余辉材料的陷阱深度分布, 如图7所示。在常温下用氙灯对样品充能10 min, 在充能结束后停止5 min再进行测量。从图7(a, b)中可以看出, ZCGO系列样品的热释峰在80 ℃左右, 根据Urbach陷阱深度计算公式E=Tm/500[22⇓-24], 陷阱深度在0.7 eV左右(具体见图7(d))。从前文中知道锗酸锌由于晶体内部电子陷阱(VO和Zni)与带隙空穴陷阱(VGe和VZn)复合而发光。当加入的Ca2+达到一定浓度, 会改变晶体内原有缺陷种类, 并产生新的缺陷。Ca2+可能主要占据由ZnO4四面体和GeO4四面体构成的六元环或四元环的间隙位置, 即新的可能缺陷为Cai。而ZGO样品用766 nm监测时可以看到存在三个热释峰, 但在526和600 nm监测下30~270 ℃测试温度范围内并未检测到明显的热释峰, 猜测可能是在这两个波长监测时陷阱深度太浅而不能呈现出来。从ZCGO系列样品的XRD图谱中知道仅有ZCGO-1样品是纯相, 并且与ZGO存在相同的红光发射。比较ZGO与ZCGO-1在766 nm监测下的热释曲线, 发现ZCGO-1样品也存在三个热释峰, 并且峰位置与ZGO样品相比都有明显向低温方向移动的趋势, 表明加入少量(x=0.1)的Ca2+时, 不会改变晶体内原有缺陷种类, 但可能会使得陷阱变浅。综合分别监测三个波长的热释曲线结果可知, 向锗酸锌中掺入合适浓度的Ca2+可以改善锗酸锌的荧光性能, 使其具有更长的余辉时间。
图7
图7
ZCGO系列样品在不同监测波长下的热释曲线及各样品的陷阱深度
Fig. 7
TL curves of ZCGO series samples under different monitoring wavelengths and trap depth histogram of samples
(a, b) TL curves of ZCGO series samples monitored at (a) 526 and (b) 600 nm; (c) TL curves of ZCGO-1 and ZGO samples monitored at 766 nm; (d) Trap depths corresponding to TL peaks of ZCGO series samples; Colorful figures are available on website
3 应用
将制备的长余辉荧光粉(ZCGO-5、ZGO)与聚二甲基硅氧烷(PDMS)混合, 制备得到发光薄膜ZCGO-5@PDMS和ZGO@PDMS。PDMS是一种高分子有机硅化合物, 具有高透光性, 一般情况下认为是惰性、无毒且不易燃, 具有优良的物理性能。因此将荧光粉与PDMS结合制得的发光薄膜不仅具有良好的荧光性能, 而且十分稳定, 可以用于设计各种荧光图案[25]。具体制备过程:将荧光粉与PDMS主剂按质量比1 : 5混合, 然后加入固化剂(加入的质量为主剂的1/10), 将混合物置于容器中, 搅拌均匀, 尽量除去气泡, 在60 ℃烘箱中干燥2 h, 即可得到ZCGO-5@PDMS、ZGO@PDMS。
将特定图案的镂空模板放在制备好的发光薄膜上, 按照图案在每种发光薄膜上取下一部分, 组成特定的图案, 如图8所示。黄色的“花朵”为ZCGO-5样品, 绿色的“花茎”和“枝叶”为ZGO样品。在紫外灯箱内分别用254和365 nm光照射5 min, 然后用相机记录其发光及余辉衰减过程。当使用白光和254 nm的光照射时, 花朵整体分别呈现白色和青蓝色, 从颜色上两种样品几乎不可分辨。而当停止254 nm的激发后, 由于不同发射波长的寿命不同, “花朵”与“花茎”的颜色开始呈现出不同的颜色。“花朵”部分仍为蓝白色, 而“花茎”和“枝叶”变为绿色。并且随着余辉时间延长, “花茎”和“枝叶”的颜色由于余辉衰减已经难以观察到, 但在2 min前仍可观察到“花朵”。需要强调的是, 使用365 nm的紫外光照射时, 仅“花朵”部分呈现黄光, 而“花茎”和“枝叶”呈紫色。由于ZCGO样品在365 nm激发下余辉时间较短, 在相机的连拍模式下拍摄“花朵”的余辉衰减照片, 可以在短时间内观察到余辉衰减现象, 25 ms时, 仅“花朵”部分呈现橙黄光, 而“花茎”和“枝叶”的发光难以拍摄到。因此, 利用不同发射波长的余辉衰减差别, 所得材料具有动态防伪的效果。
图8
图8
花朵在254和365 nm紫外光激发下的照片, 以及关闭紫外灯后的余辉照片
Fig. 8
Photos of flowers stimulated with 254 and 365 nm UV light, and the afterglow after the UV light was turned off
4 结论
综上所述, 本研究采用高温固相反应法合成了钙掺杂锗酸锌固溶体长余辉材料Zn2-xCaxGeO4。通过加入Ca元素,在376 nm激发下观察到黄光发射, 同时锗酸锌的荧光增强、余辉时间延长。以ZCGO-5样品为例, 在267 nm激发下, 荧光强度较ZGO样品增强了6.2倍。在不同波长下监测余辉衰减曲线, 余辉初始强度增强了25.1倍左右, 且停止激发300 s后, ZCGO-5号样品仍然保持强于ZGO样品5倍的余辉强度。结果表明, 向锗酸锌中加入Ca元素后, 由于Ca2+离子半径为0.1 nm, 大于Zn2+和Ge4+, 故当向锗酸锌中掺杂Ca元素时, Ca原子更有可能进入锗酸锌晶体内的四元环或六元环在晶体内形成填隙缺陷。晶体陷阱深度从小于0.6 eV增加至0.7 eV左右, 陷阱深度变深。综合XRD、紫外-可见漫反射光谱、荧光光谱、热释曲线等表征数据, 加入Ca2+后, 晶体的禁带宽度从4.37 eV减小至4.2 eV左右, 荧光增强了6.2倍左右, 余辉衰减常数增长至85.26 s, 达到了改善样品性能的目的。利用不同发射波长的余辉衰减差别, 可实现“花朵”的动态变化效果, 体现出所得材料在动态防伪领域具有一定应用前景。
参考文献
Luminescence mechanism and structure characteristics of long afterglow phosphors
Near-infrared persistent phosphors: synthesis, design, and applications
Designing next generation of persistent luminescence: recent advances in uniform persistent luminescence nanoparticles
Persistent luminescence instead of phosphorescence: history, mechanism, and perspective
The characterization and mechanism of long afterglow in alkaline earth aluminates phosphors co-doped by Eu2O3 and Dy2O3
Bright persistent green emitting water-dispersible Zn2GeO4:Mn nanorods
Exploring effects of microwave-assisted thermal annealing on optical properties of Zn2GeO4 nanostructured films
Zn2-aGeO4:aRE and Zn2Ge1-aO4:aRE (RE=Ce3+, Eu3+, Tb3+, Dy3+): 4f-4f and 5d-4f transition luminescence of rare earth ions under different substitution
Luminescence properties and the thermal quenching mechanism of Mn2+ doped Zn2GeO4 long persistent phosphors
Enhanced persistent luminescence of Zn2GeO4 host by Ti4+ doping
(Zn, Mg)2GeO4:Mn2+ submicrorods as promising green phosphors for field emission displays: hydrothermal synthesis and luminescence properties
The effect of Mg incorporation on structural and optical properties of Zn2GeO4 :Mn phosphor
Controllable synthesis of Zn2GeO4:Eu nanocrystals with multi-color emission for white light-emitting diodes
Photoluminescence and persistent luminescence in Bi3+-doped Zn2GeO4 phosphors
Visual color modulation and luminescence mechanism studies on Mn/Eu co-doped Zn-Mg- Ge-O long afterglow system
Ratiometric persistent luminescence aptasensors for carcinoembryonic antigen detection
Tuning multicolour emission of Zn2GeO4:Mn phosphors by Li+ doping for information encryption and anti-counterfeiting applications
By tuning Li+ doping concentrations, a gradual colour output and a tuneable afterglow duration have been achieved in Zn2GeO4:Mn,Li and NaLiGe4O9:Mn phosphors, which exhibit excellent performance for anti-counterfeiting applications.
Achieving opto-responsive multimode luminescence in Zn1+xGa2-2xGexO4:Mn persistent phosphors for advanced anti-counterfeiting and information encryption
Luminescence of native defects in Zn2GeO4
Mathematical and empirical evaluation of accuracy of the Kubelka-Munk model for color match prediction of opaque and translucent surface coatings
Band-gap energy estimation from diffuse reflectance measurements on Sol-Gel and commercial TiO2: a comparative study
Controlling electron trap depth to enhance optical properties of persistent luminescence nanoparticles for in vivo imaging
Near-infrared afterglow enhancement and trap distribution analysis of silicon-chromium co-doped persistent luminescence materials Zn1+xGa2-2xSixO4:Cr3+
Trap distribution tailoring guided design of super-long-persistent phosphor Ba2SiO4:Eu2+, Ho3+ and photostimulable luminescence for optical information storage
/
〈 |
|
〉 |
