高温热处理对国产KD-SA型SiC纤维组成结构与力学性能的影响
Effect of Heat Treatment on Composition, Microstructure and Mechanical Property of Domestic KD-SA SiC Fibers
通讯作者: 苟燕子, 副研究员. E-mail:y.gou2012@hotmail.com;王应德, 教授. E-mail:wangyingde@nudt.edu.cn
收稿日期: 2022-09-19 修回日期: 2022-11-10 网络出版日期: 2022-11-16
| 基金资助: |
|
Corresponding authors: GOU Yanzi, associate professor. E-mail:y.gou2012@hotmail.com;WANG Yingde, professor. E-mail:wangyingde@nudt.edu.cn
Received: 2022-09-19 Revised: 2022-11-10 Online: 2022-11-16
| Fund supported: |
|
高结晶近化学计量比SA型SiC纤维以其优异的耐温性, 在新一代航空发动机和高超声速飞行器等领域得到广泛应用。对比国产第二代SiC纤维(F-II), 本工作研究了第三代SA型SiC纤维(F-III)高温热处理前后的微观结构演变和拉伸强度及断裂行为。结果表明, F-III纤维主要由β-SiC晶粒(~200 nm)和少量游离碳组成, F-II纤维则由β-SiC晶粒(~5 nm)、游离碳和SiCxOy无定形相组成。与F-II纤维相比, F-III纤维具有更大的晶粒尺寸与孔隙, 室温下的拉伸强度较低。但经1800 ℃热处理后, F-III纤维结构和强度基本保持不变, 而F-II纤维由于发生了SiCxOy相的分解和晶粒长大, 强度明显降低。SA型SiC纤维的耐高温性能优异, 可归因于纤维组成结构上的高结晶、大晶粒和低碳氧含量。
关键词:
Polycrystalline near stoichiometric SA type SiC fibers have a prospective application in the fields of the new generation aero engine and hypersonic vehicles due to their excellent temperature resistance. In this work, microstructure evolution, tensile strength as well as fracture behavior of the second-generation domestic F-II SiC and the third-generation SA (F-III) SiC fibers before and after heat treatment were studied. The results showed that F-III fiber was mainly composed of β-SiC grains (~200 nm) and a small amount of free carbon, while F-II fiber was composed of β-SiC grains (~5 nm), free carbon and amorphous SiCxOy phase. Compared with the F-II fiber, the F-III fiber showed lower tensile strength at room temperature, owing to their larger grain size and pores. However, after heat treatment at 1800 ℃, the structure and strength of F-III fiber remained almost unchanged, while the strength of F-II fiber decreased sharply due to decomposition of SiCxOy phase and grain growth. The excellent high temperature resistance of SA type fiber could be attributed to high crystallinity, large grain size, low carbon and oxygen content in microstructure and composition.
Keywords:
本文引用格式
吴爽, 苟燕子, 王永寿, 宋曲之, 张庆雨, 王应德.
WU Shuang, GOU Yanzi, WANG Yongshou, SONG Quzhi, ZHANG Qingyu, WANG Yingde.
国产第三代SA型SiC纤维与Tyranno SA纤维的类型相同, 国防科技大学突破了其关键制备技术并实现了小批量生产, 牌号为KD-SA纤维[13]。然而, 针对国产SA型SiC纤维高温热处理前后组成结构以及性能变化的相关研究较少, 相应的变化规律和机理仍然不清楚。为进一步深入研究国产SA型SiC纤维热处理前后组成结构与性能变化, 本工作选用国产KD-SA型SiC纤维样品(命名为F-III纤维), 同时以第二代SiC纤维样品(命名为F-II纤维)为对照组, 在1800 ℃分别保温处理1 h, 详细研究了热处理前后纤维的元素组成、微观结构和力学性能的变化, 探讨组成结构的改变引起力学性能变化的原因, 为进一步提高国产SiC纤维的综合性能提供指导。
1 实验方法
F-II和F-III SiC纤维由本实验室生产, 采用先驱体转化法制备, 通过先驱体合成、熔融纺丝、不熔化、高温烧成等四大工序得到成品纤维, 具体制备过程详见本课题组前期工作[14]。两种纤维均在氩气气氛下1800 ℃热处理1 h, 加热速率为10 ℃/min, 热处理后的纤维分别命名为F-II-1800 ℃和F-III-1800 ℃。
采用碱熔法测定纤维中的硅含量, 碳/硫分析仪EMIA-320V和氧/氮分析仪EMIA-820(Horiba)分别测定碳和氧含量, 电感耦合等离子体发射光谱仪(ICP-OES, Thermo ICP 6300)分析铝含量。利用阿基米德原理测量纤维的密度。采用纤维单丝拉伸试验机(Testometrix Micro350)测量纤维的平均拉伸强度和弹性模量。采用X射线光电子能谱(XPS, Thermo ESCALAB 250Xi)分析纤维粉末样品的组成, X射线衍射仪(XRD, Rigaku)表征纤维的晶体结构, 激光共聚焦显微拉曼光谱仪(Raman, Renishaw inVia)对纤维进行拉曼光谱分析。使用配有能量色散光谱仪(EDS)的扫描电子显微镜(SEM, 日立FEG S4800和蔡司)表征纤维形貌。此外, 利用FEI Tecnai G2 F20高分辨率显微镜分析纤维的微观结构。利用聚焦离子束(FIB, FEI Helios 600i)对TEM样品进行切片。
2 结果与讨论
2.1 纤维的元素组成与微观结构
纤维热处理前后的组成如表1所示, 与F-II纤维相比, F-III纤维的杂质氧含量更低(<0.1%, 质量分数), 而且C/Si原子比更接近SiC的化学计量比。1800 ℃热处理前后, F-III纤维的成分几乎没有变化, 而F-II-1800 ℃纤维中氧含量明显下降(降低46%)。热处理前后纤维的Si2p XPS谱图如图1所示, F-II纤维中Si元素主要以SiC、SiO2和SiCxOy形式存在(图1(a)), 经1800 ℃热处理后, F-II-1800 ℃纤维中Si元素主要以SiC和SiO2形式存在(图1(b)), F-III和F-III-1800 ℃纤维中的Si元素始终以SiC和SiO2的形式存在(图1(c, d))。
表1 热处理前后SiC纤维的组成和基本性能
Table 1
| Parameter | F-II | F-II-1800 ℃ | F-III | F-III-1800 ℃ |
|---|---|---|---|---|
| C/Si | 1.34 | 1.42 | 1.08 | 1.08 |
| Al content/ (%, in mass) | / | / | <1.00 | <1.00 |
| O content/ (%, in mass) | 0.98 | 0.53 | 0.07 | 0.05 |
| Diameter/μm | 12.0 | 11.9 | 9.9 | 9.9 |
| Density/ (g·cm-3) | 2.72 | 2.66 | 3.08 | 3.09 |
| Tensile strength/ GPa | 2.7 | 0.9 | 1.8 | 1.8 |
| Elastic modulus/GPa | 260 | 207 | 372 | 366 |
图1
图1
(a)F-II, (b)F-II-1800 ℃、(c)F-III 和(d)F-III-1800 ℃ 纤维的Si2p的XPS图谱
Fig. 1
Si2p XPS spectra of (a) F-II, (b) F-II-1800 ℃, (c)F-III, and (d)F-III-1800 ℃ fibers
图2
图2
纤维的(a)XRD图谱和(b)Raman图谱
Fig. 2
(a) XRD patterns and (b) Raman spectra of SiC fibers
表2 纤维中自由碳的拉曼峰信息
Table 2
| Sample | D Band | G Band | ID/IG | La/nm | ||
|---|---|---|---|---|---|---|
| Position/cm-1 | FWHM | Position/cm-1 | FWHM | |||
| F-II | 1356.3 | 112.5 | 1599.8 | 122.7 | 1.39 | 13.8 |
| F-II-1800 ℃ | 1351.3 | 59.9 | 1586.8 | 63.2 | 1.09 | 17.6 |
| F-III | 1352.9 | 79.9 | 1590.1 | 89.0 | 1.12 | 17.2 |
| F-III-1800 ℃ | 1354.3 | 64.9 | 1593.0 | 72.8 | 1.18 | 16.3 |
图3
图3
(a~c)F-II, (d~h)F-II-1800 ℃, (i~l)F-III, and (m~p)F-III-1800 ℃纤维的SEM形貌照片
Fig. 3
SEM morphologies of (a-c) F-II, (d-h) F-II-1800 ℃, (i-l) F-III, and (m-p) F-III-1800 ℃ fibers
为了进一步研究纤维热处理前后的微观结构变化, 用FIB将F-II、F-II-1800 ℃以及F-III-1800 ℃纤维切片后进行TEM和HRTEM分析, 如图4所示。
图4
图4
(a~e) F-II、(f~j) F-II-1800 ℃和(k~o) F-III-1800 ℃纤维的TEM和HRTEM照片
Fig. 4
TEM and HRTEM images of (a-e) F-II fibers, (f-j)F-II-1800 ℃ fibers, and (k-o) F-III-1800 ℃ fibers
在F-II纤维中Si、C、O元素分布均匀(图4(b~d)), 也可观察到少量的纳米孔。在图4(e)中, F-II纤维中SiC晶粒(~5 nm)被残余碳和无定形相包围。热处理后的F-II-1800 ℃纤维中SiC晶粒明显长大(图4(f)), 可以观察到部分碳元素的富集(图4(g, h)), 从HRTEM中可以观察到SiC晶粒主要被石墨相包围(图4(j)), 但看不到明显的无定形相。在F-III-1800 ℃纤维中, 可以看到均匀分布的Si、C、O元素以及较大的纳米孔(如图4(k~n)), 晶粒尺寸可达~200 nm(图4(k))。HRTEM照片中可以观察到SiC晶粒的层错, 但几乎没有看到无定形相(图4(o))。此外, 在F-III-1800 ℃纤维中, SiC晶粒与孔隙的边缘可以明显看到附着生长的石墨(图4(o))。F-II-1800 ℃纤维表面有富集的C元素。F-II-1800 ℃纤维中SiC晶粒尺寸沿径向从外到内逐渐减小(图5(a, b)), 靠近表面的晶粒可达~100 nm, 并且可以在孔隙中观察到有序的石墨(图5(d))。
图5
图5
F-II-1800 ℃纤维的(a~c)TEM照片及其(d~f)元素分析
Fig. 5
(a-c) TEM images and (d-f) elemental distributions of the F-II-1800 ℃ fibers
2.2 纤维的组成与结构演变
SiCxOy(s)→SiC(s)+C(s)+SiO(g)+CO(g)
SiO(g)+2C(s) → SiC(s)+CO(g)
图6
图6
(a)F-II-1800 ℃纤维皮芯结构示意图和(b)F-III纤维热稳定性的示意图
Fig. 6
Schematic diagram of (a) formation process of skin-core structure of F-II-1800 ℃and (b) thermal stability of F-III fibers
实际上, F-III纤维在制备过程中也发生了类似的SiCxOy相的分解[16]。但与F-II SiC纤维热处理过程不同的是, F-III纤维先在制备过程中发生了SiCxOy相的分解从而及时消除了游离碳。在之后的高温(1800 ℃以上)烧结过程中, 没有大量石墨的抑制, SiC晶粒可以长到更大的尺寸(~200 nm)。因此, 即使F-II-1800 ℃纤维的SiC晶粒明显大于F-II纤维的晶粒, 但仍远小于F-III纤维中的晶粒尺寸。由于F-III纤维本身主要是由β-SiC大晶粒(~200 nm)和少量石墨组成, 而且F-III纤维的制备温度在1800 ℃以上, 因此, 1800 ℃短时间热处理的热驱动力不足以使F-III纤维中SiC晶粒的二次生长, 并且纤维中的Al原子占据SiC晶粒中的一些Si位, 也抑制了β-SiC的进一步生长[17-18]。此外, SiC晶粒周围的少量石墨还会抑制其进一步生长。因此, F-III纤维热处理前后的组成与结构几乎看不到明显差异, 如图6(b)所示。
2.3 纤维力学性能与断裂行为
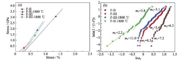
图7
图7
(a)纤维的应力-应变曲线和(b)Weibull分布
Fig. 7
(a) Representative strain-stress curves and (b) Weibull plots of the fibers
断口形貌可以在某种程度上直接反映纤维的断裂行为, 为了进一步研究纤维的断裂行为, 对纤维的断裂形貌进行观察。由于F-III纤维在热处理前后几乎无任何变化, 所以仅研究F-III纤维的断口。如图8(a)所示, F-II纤维的断口呈现出镜面-雾化-羽毛区脆断形貌特征, 断面高低起伏, F-III纤维也呈现明显起伏的断口(图8(d))。但在图8(c)中, F-II- 1800 ℃纤维的断口平缓, 呈现明显的解理断裂特征[20]。纤维断口表面越粗糙意味着裂纹面积越大, 需要的断裂能越多, 强度越高。据报道, SiC纤维的抗拉强度直接与临界缺陷尺寸有关[21]。与F-III纤维相比, F-II纤维有更大的临界缺陷尺寸, 但拉伸强度更高(图8(b, d))。这可归因于F-II纤维的晶粒更细 (~5 nm), 而细晶粒的应力集中效应小于粗晶粒的, 从而增大了断裂时裂纹扩展的阻力。此外, F-III纤维的孔隙也明显大于F-II纤维。对于F-II-1800 ℃纤维, 未观察到明显的缺陷源,即使F-II-1800 ℃纤维的晶粒尺寸小于F-III纤维, 其抗拉强度仍低于F-III纤维。因此, 不能忽略纤维中孔隙的影响, 图4可明显观察到F-II-1800 ℃纤维中SiCxOy相分解留下的大量孔隙。并且石墨相阻碍SiC晶粒进一步长大致密化, 减少了应力承载区, 引起应力集中, 在外力作用下更容易形成裂纹发生断裂, 从而使其强度降低。F-II-1800 ℃纤维表面的大颗粒也是影响其强度的另一个因素[22]。
图8
图8
(a, b)F-II、(c)F-II-1800℃和(d)F-III纤维的断口形貌照片
Fig. 8
Fracture morphologies of (a, b) F-II, (c) F-II-1800℃, and (d) F-III fibers
3 结论
本工作对比研究了国产第二代SiC纤维(F-II)和第三代SA型SiC纤维(F-III)高温热处理前后的微观结构演变和拉伸强度及断裂行为。结果表明, F-III纤维主要由β-SiC晶粒(~200 nm)和少量游离碳组成, F-II纤维则由β-SiC晶粒(~5 nm)、游离碳和SiCxOy无定形相组成, F-III纤维比F-II纤维具有更大的晶粒和孔隙。虽然F-III纤维的室温强度比F-II更低, 但经1800 ℃热处理后F-II纤维的强度保留率仅为33%, 而F-III纤维强度保持不变。F-II纤维在高温下性能急剧下降主要是由无定形相分解以及晶粒长大造成。而F-III纤维具有高结晶、大晶粒以及近化学计量比的组成, 基本不存在SiCxOy无定形相, 因而高温稳定性更好。
为进一步提高SA型纤维的室温力学性能和耐高温性能, 可重点从以下方面入手: 1)在不熔化阶段精确控制引入的氧含量, 为晶粒生长和碳氧含量的精准控制奠定基础; 2)通过工艺精准控制, 调控无定形相的分解速度, 实现纤维径向成分和结构梯度调控, 或引入合适的异质元素, 进一步减少纤维孔洞缺陷, 实现致密化,从而提高纤维性能。
参考文献
Machining of SiC ceramic matrix composites: a review
Research and development of continuous SiC fibers and SiCf/SiC composities
Polymer-derived method is the main preparation method for continuous SiC fiber. So far, three generations of SiC-based fibers have been developed. SiC fiber is mainly used as reinforcement for SiC matrix to prepare SiCf/SiC composite, which exhibits excellent properties such as high-temperature resistance, oxidation resistance, high-temperature creep resistance, and neutron radiation stability. Therefore, it is considered as a promising preferred alternative material for structural components which works under harsh environments. In this review, the domestic and oversea development of the polymer-derived SiC fibers are introduced, in particular the different approaches for preparation and the characteristics of the 3rd generation fibers. Then, the development of SiCf/SiC preparation technology and properties are reviewed and the relationship between the innovation in fabrication of SiCf/SiC composite and the development of SiC fiber is hightlighted. Finally, the application progress of SiCf/SiC composite in high performance aero-engines and fusion power cores is summerized. Meanwhile, some perspectives on the development of domestic SiC fibers and SiCf/SiC are also discussed.
Oxidation behavior of SiCf/SiC composites modified by layered-Y2Si2O7 in wet oxygen environment
Effect of BN/SiC multilayered interphases on mechanical properties of SiC Fibers and minicomposites by PIP.
BN and BN/SiC interphases were deposited on the surface of SiC fibers by CVI process, and the mechanical properties of the as-received and coated fibers were evaluated. SiCf/SiC minicomposites were prepared by PIP using the as-received, BN-coated and BN/SiC coated fiber bundles as reinforcements. The effects of interphases on the mechanical properties of the composites were studied. The results show that the interphases prepared by CVI process are uniform and compact. The deposited BN interphase contains hexagonal phases with small crystal size (1.76 nm). The deposited SiC interphase has better crystallinity and larger grain size (18.73 nm) than BN interphase. The elastic modulus of coated SiC fibers shows basically no change, but the tensile strength decreases. The maximum tensile load and fracture strain of SiCf/ BN/SiC and SiCf/(BN/SiC)/SiC minicomposites are significantly increased, in comparison to SiCf/SiC minicomposites. It can be seen from the cross-sections of SiCf/BN/SiC and SiCf/(BN/SiC)/SiC mini-composites that the fibers with interphases pull out obviously relative to SiCf/SiC mini-composites, and the BN interphases played a reinforcing role in the tensile fracture process of the composites. The composites with interphases exhibit obvious fiber pull-out resulting in more energy consumption during the fracture, so that the composite can endure more load.
A review of third generation SiC fibers and SiCf/SiC composites
A review of the development of three generations of small diameter silicon carbide fibres
Polymer-derived ceramic fibers
Microstructural characterization and fracture properties of SiC-based fibers annealed at elevated temperatures
Effect of heat treatment on the tensile strength and creep resistance of advanced SiC fibers
High-strength alkali-resistant sintered SiC fibre stable to 2200 ℃
Ion irradiation effects on third generation SiC fibers in elastic and inelastic energy loss regimes
Fabrication of nearly stoichiometric polycrystalline SiC fibers with excellent high- temperature stability up to 1900 ℃
Effect of heat treatment on the microstructure and tensile strength of KD-II SiC fibers
Revealing the formation mechanism of the skin-core structure in nearly stoichiometric polycrystalline SiC fibers
A detailed study of the microstructure and thermal stability of typical SiC fibers
Effect of Al contained in polymer- derived SiC crystals on creating stable crystal grain boundaries
A statistical distribution function of wide applicability
This paper discusses the applicability of statistics to a wide field of problems. Examples of simple and complex distributions are given.
Defect control of SiC polycrystalline fiber synthesized from poly-aluminocarbosilane
/
| 〈 |
|
〉 |
