p-n异质结BiVO4/g-C3N4光阳极的制备及其光电化学水解性能
p-n Heterostructured BiVO4/g-C3N4 Photoanode: Construction and Its Photoelectrochemical Water Splitting Performance
通讯作者: 杨 蕾, 副教授. E-mail:ylei531@163.com;孙兆奇, 教授.E-mail:szq@ahu.edu.cn
收稿日期: 2022-07-28 修回日期: 2022-09-25 网络出版日期: 2022-09-30
| 基金资助: |
|
Corresponding authors: YANG Lei, associate professor. E-mail:ylei531@163.com;SUN Zhaoqi, professor. E-mail:szq@ahu.edu.cn
Received: 2022-07-28 Revised: 2022-09-25 Online: 2022-09-30
| Fund supported: |
|
钒酸铋(BVO)可用于光电化学(PEC)水解产氢, 但受限于其缓慢的表面水氧化动力学, 在电极表面修饰单一的析氧助催化剂达不到理想的性能。本工作在BVO电极表面修饰FeNiOx助催化剂可以显著降低起始电压, 增强光电化学性能。此外, 沉积g-C3N4后修饰FeNiOx助催化剂得到的光电极具有更优异的性能。厚度适合的g-C3N4纳米片与BVO构成Ⅱ型p-n异质结, 有效抑制了光生电子空穴的复合, 促进了电极的电荷分离。电化学测试结果表明, 沉积了g-C3N4后, 电极的电荷分离效率达到88.2%, 比BVO/FeNiOx (60.6%)提升了近1.5倍。经过g-C3N4和FeNiOx协同修饰的BVO/g-C3N4/FeNiOx电极, 表面电荷注入效率达到了90.2%, 同时, 在1.23 V (vs. RHE)条件下光电流密度达到4.63 mA∙cm-2, 是纯BVO (1.86 mA∙cm-2)的2.48倍。本工作为开发制备高性能光阳极提供了一种有效的策略。
关键词:
Bismuth vanadate (BVO) can be used for photoelectrochemical (PEC) water splitting to hydrogen. However, suffering from its high charge-recombination and slow surface catalytic reaction, the PEC performance is far below the expectation, and the modification of the co-catalysts only on the electrode cannot overcome this disadvantage. Here, we report FeNiOx cocatalyst decorated on the BVO photoanode, which can restrict the onset potential and improve the PEC performance. Moreover, a more effective dual modified-BVO photoanode is formed, with the loading of g-C3N4 before decoration of FeNiOx cocatalyst. The type-II p-n heterojunction composed by g-C3N4 nanosheets and BVO, can inhibit recombination of photogenerated charge, and promote the separation of charge effectively at the electrode. Results show that the charge separation efficiency of the electrode reaches 88.2% after the insertion of g-C3N4, which is nearly 1.5 times that of BVO/FeNiOx (60.6%). Moreover, surface charge injection efficiency of the dual-modified BVO/g-C3N4/FeNiOx electrode reaches 90.2%, while the current density reaches 4.63 mA∙cm-2 at 1.23 V (vs. RHE). This work provides a facile approach to develope high performance photoanodes for PEC water splitting.
Keywords:
本文引用格式
王如意, 徐国良, 杨蕾, 邓崇海, 储德林, 张苗, 孙兆奇.
WANG Ruyi, XU Guoliang, YANG Lei, DENG Chonghai, CHU Delin, ZHANG Miao, SUN Zhaoqi.
随着环境污染和能源危机问题日益突出, 人们迫切需要一种可再生、无污染和低碳的新能源, 代替传统的化石能源。氢能的能量密度高且燃烧产物为水, 是最具前景的新能源之一[1]。光电化学(PEC)水解可直接利用太阳能获取氢气, 已成为新能源领域的研究热点。多种半导体材料可以用于光电化学水解研究, 包括Fe2O3[2]、TiO2[3]、BiVO4[4]、Cu2O[5]和CuBiO4[6]等。其中, n型单斜BiVO4 (BVO)具有与太阳光谱匹配良好的能带间隙, 可见光下的光电催化活性较好, 能够有效地进行水分解, 应用前景广阔[7]。但是, BVO的应用仍然受限于其电子转移效率低、水氧化动力学慢、载流子迁移率低等缺陷。到目前为止, 已有的解决方法包括元素掺杂[8]、半导体复合构建异质结[9]以及助催化剂修饰[10]等。
具有可逆氧化还原性质的VIII金属(Fe, Co, Ni)氧化物或氢氧化物, 被广泛用于水氧化的析氧助催化剂(OEC), 可以加速光阳极表面的空穴转移, 提高水解动力学。在BVO表面负载OEC也是加速表面电荷催化动力学的有效方法之一[11]。Feng 等[12]首次将具有双金属活性位点、超薄结构和丰富氧空位的尖晶石结构NiCo2O4纳米片修饰在钼掺杂的BVO光阳极上用于PEC水氧化, 由于双金属的价态转变可将空穴导出, 增加了活性位点, 进而提高催化活性, 光电流密度达到4.50 mA∙cm-2。Zhang 课题组[13]更是将NiFeOx负载在硼处理过的BVO上, 大大提高了BVO电极的PEC性能, 电流密度达到5.22 mA∙cm-2。在最近的研究中, Lu等[14]首次利用深度共晶溶剂(DES) 破坏BVO的Bi8单元, 浸出Bi原子后, 形成铋空位(Bivac), 除了有电子结构调制作用外, 还能有效改善电荷传输特性, 通过进一步加载助催化剂来提高电荷转移效率, 在1.23 V (vs. RHE)下的光电流密度达到4.5 mA∙cm-2。
虽然BVO/OEC光阳极实现了较高的电流密度, 但BVO严重的电荷复合仍然是PEC水氧化的障碍。在BVO与OEC之间插入抑制电荷复合的电荷转移层, 可以为电荷传输提供更有效的途径, 降低复合速率。解决这一缺陷的方法较多, 由n型BVO与p型半导体耦合构建p-n异质结产生内置电场, 有望提高电荷分离效率[15]。Zhang等[16]首先证明了在BVO光阳极和传统OEC层之间插入p型BP纳米片可以实现超快速的空穴提取。BP/BVO异质结构形成了一个内置的p/n电场, 空间电荷区导致BP纳米片的能级向上移动, 涂上OEC层(NiOOH)后, 界面带边能量驱动空穴从BVO到NiOOH表面, 实现了高效的水氧化, 光电流密度为4.48 mA∙cm-2, 达到BVO的1.5倍。作为一种典型的p型非金属半导体, 石墨层状结构的石墨相氮化碳 (g-C3N4) 具有能带隙合适(2.8 eV)、热化学稳定和无毒的优点, 被广泛应用于光电催化制氢[17]。然而, 在三维g-C3N4内, 电荷转移困难, 导致严重的电荷复合。而二维g-C3N4纳米片由于没有中间层, 光生空穴可以存储在其价带上用于水氧化, 能有效转移电荷并抑制表面电荷复合[18]。Wang 课题组[19-20]证实由g-C3N4构成的超薄异质结构中, 超薄g-C3N4可以有效分离载流子, 延长载流子寿命。这说明将二维g-C3N4纳米片负载在光阳极上构建p-n异质结是一种提高PEC性能的有效方法。
本研究为了解决BVO/FeNiOx严重的电荷复合问题, 先在BVO表面沉积二维g-C3N4纳米片, 构建p-n异质结, 再将FeNiOx负载在异质结表面制备BVO/g-C3N4/FeNiOx光阳极。与单一修饰的BVO/OEC光阳极相比, g-C3N4和BVO之间构建了p-n异质结, 形成了内建电场, 驱动体内空穴快速转移到光阳极/电解质界面, 可以有效抑制表面电荷复合。并在g-C3N4和FeNiOx的协同修饰下光阳极具有优异的界面氧化动力学和电荷分离效率。
1 实验方法
如图1所示, 使用电化学工作站三电极系统, 以氟掺杂氧化锡玻璃(FTO)为工作电极, 电沉积制得BiOI电极。将乙酰丙酮氧钒溶液滴涂在BiOI电极表面并烘干, 退火得到BiVO4电极(BVO)。将煅烧得到的块状g-C3N4通过酸化、氧化、超声剥离合成二维g-C3N4纳米片, 将其分散在异丙醇溶剂中, 通过浸泡法负载在BVO表面制备BVO/g-C3N4光阳极, 随后在BVO/g-C3N4上电沉积一层FeNiOx催化剂, 制得BVO/g-C3N4/FeNiOx光阳极。详细制备过程见补充材料。
图1
图1
BVO及其复合电极的制备示意图
Fig. 1
Schematic diagram of the preparation for BVO and its composite electrode
2 结果与讨论
2.1 形貌结构表征
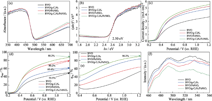
为了研究不同催化剂合成的晶格结构, 对不同电极BVO, BVO/FeNiOx, BVO/g-C3N4, BVO/g-C3N4/FeNiOx进行X射线衍射(XRD)分析, 如图2(a)所示。除FTO中的SnO2外, XRD谱图中的衍射峰均来自单斜BVO (JCPDS#14-0688)[15]。所有BVO基光阳极薄膜均结晶度良好, 表明450 ℃煅烧后BiOI完全转化为BVO。BVO/g-C3N4复合电极的XRD谱图与BVO基本相同, 由图S1的XRD谱图可知合成了高纯度的二维g-C3N4纳米片(JCPDS#87-1526)[18]。造成这一现象的原因可能是因为g-C3N4负载较少而导致信号较弱。BVO/FeNiOx, BVO/g-C3N4/FeNiOx复合电极的XRD谱图与BVO和BVO/g-C3N4电极也基本相同, 说明FeNiOx助催化剂可能以非晶的形式存在[21]。
图2
图2
不同光阳极的(a) XRD谱图和(b) FT-IR谱图
Fig. 2
(a) X-ray diffraction (XRD) patterns and (b) Fourier transform infrared (FT-IR) spectra of different electrodes
图S1
图S2
图S2
BVO/g-C3N4/FeNiOx光阳极的高倍率SEM照片
Fig. S2
High resolution SEM images of BVO/g-C3N4/FeNiOx
采用扫描电镜(SEM)表征不同电极的表面形貌(图3)。电沉积BiOI纳米片煅烧成的BVO电极表面是多孔的纳米颗粒形貌(图3(a)), 补充材料图S3中纯g-C3N4通过超声逐步剥离出二维片状结构, 然后浸泡法制得BVO/g-C3N4电极, 如图3(b), 相比于BVO电极, 表面出现絮状g-C3N4纳米片。BVO/g-C3N4/FeNiOx电极的形貌(图3(c))与BVO/g-C3N4电极没有明显差异。为了进一步验证g-C3N4以及FeNiOx分布, 对BVO/g-C3N4/FeNiOx进行元素能谱(EDS)表征, 如图2(d~j)所示。其中C和N分布在BVO/g-C3N4光阳极的整个区域, 占比较高, Fe、Ni元素也同样均匀分布在整个区域, 占比较低, 证明g-C3N4和FeNiOx成功负载在光阳极表面, SEM中观察不到FeNiOx可能是由于结构过薄。BVO/g-C3N4/FeNiOx光阳极薄膜的厚度约为1 μm (图S4)。
图3
图3
(a) BVO, (b) BVO/g-C3N4, (c) BVO/g-C3N4/FeNiOx 的SEM照片及(d~j)BVO/g-C3N4/FeNiOx的EDS能谱
Fig. 3
Scanning electron microscope (SEM) images of (a) BVO, (b) BVO/g-C3N4, (c) BVO/g-C3N4/FeNiOx, and (d-j) energy dispersive spectrometer (EDS) mappings of BVO/g-C3N4/FeNiOx
图S3
图S4
图S4
BVO/g-C3N4/FeNiOx的截面SEM照片
Fig. S4
Cross-section SEM image of BVO/g-C3N4/FeNiOx
采用X射线光电子能谱(XPS)研究了BVO/g-C3N4/FeNiOx光阳极的化学成分和价态。XPS全谱(图4(a))中, BVO/g-C3N4FeNiOx电极含有Bi、V、O、C、N、Fe、Ni 七种元素, 与EDS谱图一致。图4(b~h)分别为Bi4f、V2p、O1s、C1s、N1s、Ni2p和Fe2p的高分辨谱图。图4(b)中, 163.4和 158.5 eV处的拟合峰分别对应BVO的Bi4f5/2和Bi4f7/2。图4(c)在523.5和515.8 eV处是V2p1/2和V2p3/2对应的两个拟合峰。O1s的XPS结果如图4(d)所示, 529.1 eV处的拟合峰归属于晶格氧, 531.2 eV处的拟合峰归属于氧空位, 532.2 eV处的拟合峰归属于化学吸附或解离氧。C1s光谱(图4(e)) 在288.4和284.8 eV处出现了两个拟合峰, 这对应碳氮化物常见的sp2键合碳(N-C=N)和石墨碳(C-C)[23]。在图4(f)中, N1s光谱拟合为三个峰(398.8、399.9和401.8 eV), 分别归属于g-C3N4的C=N-C、C-(N)3和C-N-H[24]。图4(g, h)中, 875.5和856.0 eV处出现的两个峰分别对应Ni2p1/2和Ni2p3/2; 以及723.5和709.0 eV处的两个峰分别对应Fe2p1/2和Fe2p3/2[25]。XPS测试结果证明光阳极成功复合了g-C3N4和FeNiOx。
图4
图4
BVO/g-C3N4/FeNiOx光阳极的XPS谱图
Fig. 4
X-ray photoelectron spectra (XPS) of BVO/g-C3N4/FeNiOx photoanode
(a) Total survey and (b) Bi4f, (c) V2p, (d) O1s, (e) C1s, (f) N1s, (g) Ni2p, (h) Fe2p high resolution spectra
2.2 光电化学性能研究
图5
图5
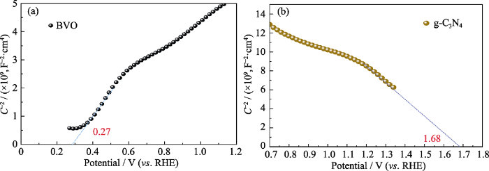
(a) BVO和(b) g-C3N4电极的莫特-肖特基(M-S)曲线
Fig. 5
Mott-Schottky (M-S) curves of (a) BVO and (b) g-C3N4 electrodes
图S5
图S5
BVO/g-C3N4/FeNiOx在不同扫速的LSV曲线
Fig. S5
LSV curves of BVO/g-C3N4/FeNiOx at different scan rates
图6(a)为BVO、BVO/g-C3N4、BVO/FeNiOx、BVO/g-C3N4/FeNiOx电极的线性扫描伏安法(LSV)曲线。在无空穴捕获剂的情况下, 以0.1 mol/L 硼酸钾为电解液, 测得BVO/g-C3N4/FeNiOx的PEC水氧化光电流高达4.63 mA∙cm-2 (1.23 V (vs. RHE)), 是BVO/FeNiOx (3.55 mA∙cm-2)的1.30倍, BVO/g-C3N4 (3.41 mA∙cm-2)的1.35倍, 纯BVO (1.86 mA∙cm-2) 的2.48倍。负载了FeNiOx催化剂后光电流明显提升, 尤其是在低偏压条件下, 这是由于FeNiOx里的Fe、Ni两个元素通过价态转化(Fe2+(Ni2+)→Fe3+(Ni3+)→Fe2+(Ni2+))将电极表面的空穴快速转移到电解液中, 从而改善水氧化动力学。Kim等[28]指出, BVO和OEC材料之间的界面屏障会阻碍空穴迅速转移到电解液表面, 因此在NiOOH和BVO之间插入FeOOH作为空穴传输层, 以促进空穴转移。针对这一缺陷, 在BVO和FeNiOx层之间负载厚度合适的二维g-C3N4纳米片, 与BVO形成p-n异质结就可以很好地解决光生电子和空穴分离效果差的缺陷。Butler曲线(图6(b))是对LSV曲线进行平方处理, 从而得到更精确的光电流起始位点。BVO/g-C3N4/FeNiOx电极的起始电位相对于BVO负移了480 mV, 证明g-C3N4促进了光生电子-空穴分离, 从而增强光电化学催化性能[29]。
图6
图6
不同光阳极的光电化学性能
Fig. 6
Photoelectrochemical performance of different photoanodes
(a) Linear sweep voltammetry (LSV) curves under illumination and (b) corresponding Butler curves; (c) LSV curves in the dark; (d) Open circuit potential (OCP) curves; (e) I-t curves at 1.23 V (vs. RHE); (f) Transient decay time curves
Colorful figures are available on website
为了进一步研究样品的催化活性, 测量了BVO、BVO/g-C3N4、BVO/FeNiOx、BVO/g-C3N4/FeNiOx电极在黑暗环境下的LSV曲线。如图6(c)所示, 复合g-C3N4和FeNiOx层后, 暗电流向负方向偏移, 可以获得更低的过电位和更大的水氧化电流密度, 这是由于异质结和助催化剂可以促进电荷分离以及将空穴加速注入电解液中, 可以增加活性位点以及增强光催化活性[12]。除此之外, 对电极进行开路电压(OCP)测试(图6(d)), 在开灯的瞬间, 半导体产生光生电子-空穴, 空穴在光阳极表面聚集, 电子通过外部电路传输到对电极的铂片上, 则在两个电极间产生了由光驱动的光电压。光电压越大则催化活性和催化驱动力则越强。图中可以看出, 各个电极的光电压大小为BVO/g-C3N4/FeNiOx (480 mV)>BVO/FeNiOx (450 mV)>BVO/g-C3N4 (430 mV)>BVO (420 mV), 由g-C3N4和FeNiOx协同催化的电极有最强的催化动力学。
式中, It为t时刻的光电流(mA∙cm-2), Is为稳态光电流(mA∙cm-2), Im为光照时的尖峰光电流密度(mA∙cm-2)。τ定义为lnD= -1的时间(s)。图6(f)中, BVO/g-C3N4/FeNiOx的τ最长, 这是因为g-C3N4与FeNiOx的共同作用延缓了BVO/g-C3N4/FeNiOx的载流子复合。
图7
图7
不同光阳极的(a) UV-Vis图谱, (b) Tauc曲线, (c)电解液含Na2SO3的LSV曲线, (d)ηsep, (e)ηinj和(f) PL光谱
Fig. 7
(a) Ultraviolet and visible (UV-Vis) spectra, (b) Tauc curves, (c) LSV curves with Na2SO3 in electrolyte, (d) bulk charge separation efficiency (ηsep), (e) surface charge injection efficiency (ηinj), and (f) photoluminescence (PL) spectra of different photoanodes
Colorful figures are available on website
图S6
图S6
不同光阳极的光吸收效率
Fig. S6
Light harvesting efficiency (ηabs) curves of different photoanodes
式中, JNa2SO3和JH2O分别为在含和不含Na2SO3空穴捕获剂情况下测得的光电流密度(mA∙cm-2)。如图7(e)所示, 在1.23 V (vs. RHE)电位下, BVO/g-C3N4/FeNiOx和BVO/FeNiOx的ηinj明显高于BVO/g-C3N4和BVO。这说明负载FeNiOx后, 空穴更容易从电极表面注入到电解液中。电极的ηinj和ηsep说明g-C3N4与BVO形成的p-n异质结可以促进光生电荷分离, 抑制电荷复合, 但是对表面催化动力学提升有限; 而FeNiOx催化剂的作用是通过自身价态转变将薄膜电极表面更多的光生空穴注入到电解液中, 参与水氧化。g-C3N4和FeNiOx协同修饰后, BVO/g-C3N4/FeNiOx光阳极的ηinj达到90.2%, ηsep达到88.2%。
图S7
图S7
太阳光谱积分得到各电极的理论光电流密度(Jabs)
Fig. S7
Theoretical photocurrent density (Jabs) obtained with integrated solar spectrum for each electrode
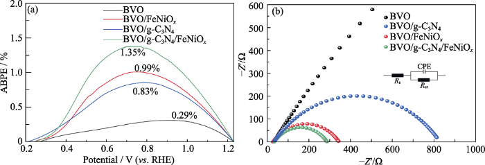
为了进一步定量研究BVO基电极的PEC性能, 测试光阳极的应用偏置光子电流效率(ABPE)[34], 如公式(4)。
式中, I为在偏置电压下获得的光电流密度(mA∙cm-2), VRHE为应用偏置电压(V), Plight为入射光照强度(100 mW·cm-2)。ABPE可定量分析电极的太阳能转换效率, 由图8(a)可知, 在模拟AM 1.5G光照下, BVO/g-C3N4/FeNiOx光阳极的最大ABPE为1.35% (0.73 V (vs. RHE)), 与BVO (0.29%)、BVO/g-C3N4 (0.83%)和BVO/FeNiOx (0.99%)相比明显增强。最大ABPE对应的电位也发生了负移, 表明较低的外加电位能最大程度地提高光激活材料的PEC性能[35]。这些结果证明集成的BVO/g-C3N4/FeNiOx光阳极提高了用于PEC水分解的太阳能转换效率。
图8
图8
不同光阳极的(a) ABPE和(b) EIS谱图
Fig. 8
(a) Application bias photon-to-current efficiency (ABPE) and (b) electrochemical impedance spectra (EIS) of photoanodes
Colorful figures are available on website
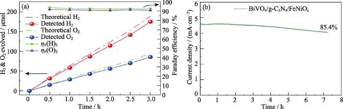
用气相色谱仪测定封闭室中氧气和氢气含量, 如图9(a), 其中3 h氢气和氧气产量分别为170和85 μmol。法拉第效率(ηF)采用公式(5)计算。
图9
图9
(a)气相色谱测试的BVO/g-C3N4/FeNiOx的析氢、析氧量及法拉第效率, (b) BVO/g-C3N4/FeNiOx的稳定性测试曲线
Fig. 9
(a)Gas evolutions detected by gas chromatography and Faradaic efficiency for BVO/g-C3N4/FeNiOx and (b) stability curve of BVO/g-C3N4/FeNiOx
Colorful figures are available on website
式中, α是随分子产物转移的电子数, n为产物的实际摩尔数, F为法拉第常数(9645.34 C∙mol−1), I为测试时记录的光电流(mA∙cm−2), t为测试时间(s)。最后得到氢气和氧气的法拉第效率约为92%和91%。
图9(b)为BVO/g-C3N4/FeNiOx电极在1.23 V (vs. RHE)条件下的稳定性测试结果。经过双重催化剂的协同催化, 修饰后的BVO/g-C3N4/FeNiOx光阳极解决了催化动力学差的缺点的同时, 也隔绝了BVO与电解液的接触, 起到表面钝化、防止光腐蚀的效果。照射7 h后, 电极的光电流密度还能达到原来的85.4%, 验证了电极长期工作的可行性。
超薄的g-C3N4和BVO具有匹配的能带结构, 它们在太阳辐射下都能被激发产生光生电子-空穴。由图5(a, b)的M-S曲线可以得到g-C3N4和BVO的平带电位分别为1.68和0.27 eV。基于能带理论[37], BVO/g-C3N4/FeNiOx光阳极光生电荷转移机理如图10所示。g-C3N4和BVO构建了Ⅱ型p-n异质结, 在p-n内建电场的驱动下, 空穴从BVO的价带迁移到g-C3N4的价带, 然后通过FeNiOx催化剂中元素价态的转化(Fe2+(Ni2+)→Fe3+(Ni3+)→Fe2+(Ni2+))电极表面的空穴传输到电解液中, 将OH-氧化成O2。并且由于异质结内建电场的作用, 产生的光生电子从 g-C3N4的导带转移到BVO的导带, 再流向FTO, 通过外部电路转移到Pt对电极上, 把电解液中的H+还原成H2。
图10
图10
BVO/g-C3N4/FeNiOx光阳极的光生电荷转移机理示意图
Fig. 10
Schematic illustration of charge transfer for PEC water splitting
3 结论
综上所述, 本研究通过简单的浸渍法在BVO表面复合一层p型g-C3N4半导体材料, 构成的p-n异质结可以有效抑制载流子复合, 增强光生电荷分离, 电荷分离效率提升至80.2%。进一步地, 异质结表面包覆的FeNiOx催化剂, 可以缓解表面催化动力学差的问题, 同时也隔绝了BVO与电解液的接触, 起到了表面钝化、防止光腐蚀的效果。双重催化剂协同修饰的BVO/g-C3N4/FeNiOx光阳极在AM 1.5 G光照下的光电流密度达4.63 mA·cm−2 (1.23 V (vs. RHE)),是BVO电极(1.86 mA∙cm−2)的2.54倍。电荷分离效率达到了88.2%, 是BVO电极(50.5%)的1.75倍。本工作为光阳极的制备提供一种新的思路与方案。
补充材料
本文相关补充材料可登陆
参考文献
Alternative strategies in improving the photocatalytic and photoelectrochemical activities of visible light-driven BiVO4: a review
Novel Fe2O3/{101}TiO2 nanosheet array films with stable hydrophobicity and enhanced photoelectrochemical performance
Electrodeposited Cu2O on the {101} facets of TiO2 nanosheet arrays and their enhanced photoelectrochemical performance
New BiVO4 dual photoanodes with enriched oxygen vacancies for efficient solar-driven water splitting
Continuous tuning of Au-Cu2O Janus nanostructures for efficient charge separation
Dendritic CuBi2O4 array photocathode coated with conformal TiO2 protection layer for efficient and stable photoelectrochemical hydrogen evolution reaction
Interface engineering of 3D BiVO4/Fe-based layered double hydroxide core/shell nanostructures for boosting photoelectrochemical water oxidation
Enhanced photoelectrochemical water oxidation performance by fluorine incorporation in BiVO4 and Mo:BiVO4 thin film photoanodes
Two-step electrodeposition to fabricate the p-n heterojunction of a Cu2O/BiVO4 photoanode for the enhancement of photoelectrochemical water splitting
Yttrium-induced regulation of electron density in NiFe layered double hydroxides yields stable solar water splitting
Enhancing the PEC water splitting performance of BiVO4 co-modifying with NiFeOOH and Co-Pi double layer cocatalysts
Ultrathin NiCo2O4 nanosheets with dual-metal active sites for enhanced solar water splitting of a BiVO4 photoanode
Enhanced BiVO4 photoanode photoelectrochemical performance via borate treatment and a NiFeOx cocatalyst
Boosting charge transport in BiVO4 photoanode for solar water oxidation
Study on cobalt-phosphate (Co-Pi) modified BiVO4/Cu2O photoanode to significantly inhibit photochemical corrosion and improve the photoelectrochemical performance
Black phosphorene as a hole extraction layer boosting solar water splitting of oxygen evolution catalysts
As the development of oxygen evolution co-catalysts (OECs) is being actively undertaken, the tailored integration of those OECs with photoanodes is expected to be a plausible avenue for achieving highly efficient solar-assisted water splitting. Here, we demonstrate that a black phosphorene (BP) layer, inserted between the OEC and BiVO can improve the photoelectrochemical performance of pre-optimized OEC/BiVO (OEC: NiOOH, MnO and CoOOH) systems by 1.2∼1.6-fold, while the OEC overlayer, in turn, can suppress BP self-oxidation to achieve a high durability. A photocurrent density of 4.48 mA·cm at 1.23 V vs reversible hydrogen electrode (RHE) is achieved by the NiOOH/BP/BiVO photoanode. It is found that the intrinsic p-type BP can boost hole extraction from BiVO and prolong holes trapping lifetime on BiVO surface. This work sheds light on the design of BP-based devices for application in solar to fuel conversion, and also suggests a promising nexus between semiconductor and electrocatalyst.
Carbon nitride materials for water splitting photoelectrochemical cells
Ultrathin g-C3N4 as a hole extraction layer to boost sunlight-driven water oxidation of BiVO4- based photoanode
Oxygen vacancy-rich 2D/2D BiOCl-g-C3N4 ultrathin heterostructure nanosheets for enhanced visible-light-driven photocatalytic activity in environmental remediation
Ultrathin g-C3N4/Mo:BiVO4 photoanode for enhanced photoelectrochemical water oxidation
An amorphous FeNiOx thin film obtained by anodic electrodeposition as an electrocatalyst toward the oxygen evolution reaction
Branched WO3 nanosheet array with layered C3N4 heterojunctions and CoOx nanoparticles as a flexible photoanode for efficient photoelectrochemical water oxidation
Synthesis of BiVO4/g-C3N4 S-scheme heterojunction via a rapid and green microwave route for efficient removal of glyphosate
Synthesizing Co3O4-BiVO4/ g-C3N4 heterojunction composites for superior photocatalytic redox activity
Exposure of NiFe-LDH active sites by cation-exchange to promote photoelectrochemical water splitting performance
Ultrathin graphitic C3N4 nanosheets as highly efficient metal-free cocatalyst for water oxidation
Boosting the stability of BiVO4 photoanodes: in situ cocatalyst passivation and immobilization by functional fluorine anions
Nanoporous BiVO4 photoanodes with dual-layer oxygen evolution catalysts for solar water splitting
Defective metal-organic framework assisted with nitrogen doping enhances the photoelectrochemical performance of BiVO4
Super-hydrophilic CoAl-LDH on BiVO4 for enhanced photoelectrochemical water oxidation activity
Amorphous type FeOOH modified defective BiVO4 photoanodes for photoelectrochemical water oxidation
Stable co-catalyst-free BiVO4 photoanodes with passivated surface states for photocorrosion inhibition
Near-complete charge separation in tailored BiVO4-based heterostructure photoanodes toward artificial leaf
Activity and stability boosting of an oxygen-vacancy-rich BiVO4 photoanode by NiFe-MOFs thin layer for water oxidation
Pt-induced defects curing on BiVO4 photoanodes for near-threshold charge separation
Steering electron transfer using interface engineering on front-illuminated robust BiVO4 photoanodes
/
| 〈 |
|
〉 |
