无机材料学报 ›› 2016, Vol. 31 ›› Issue (7): 699-704.DOI: 10.15541/jim20150563 CSTR: 32189.14.10.15541/jim20150563

• • 上一篇    下一篇

巨磁电阻材料A0.05Co0.95Cr2S4(A=Zn、Ni、Cd、Fe)的输运行为及磁性能研究

卢晓羽1, 贾 楠1, 方必军1, 杨昭荣2, 张裕恒2   

  1. (1. 常州大学 材料科学与工程学院, 江苏省光伏科学与工程协同创新中心, 常州 213164; 2. 中国科学院 固体物理研究所, 材料物理重点实验室, 合肥 230031)
  • 收稿日期:2015-11-13 修回日期:2016-03-02 出版日期:2016-07-20 网络出版日期:2016-06-22
  • 作者简介:卢晓羽(1992–), 女, 硕士研究生. E-mail: 1483326817@qq.com
  • 基金资助:
    国家自然科学基金(11074258, 51577015);江苏省高校自然科学研究重大项目(15KJA43002);江苏高校优势学科建设工程资助项目

Transport Behavior and Magnetism of Colossal Magnetoresistance Materials A0.05Co0.95Cr2S4 (A=Zn, Ni, Cd, Fe)

LU Xiao-Yu1, JIA Nan1, FANG Bi-Jun1, YANG Zhao-Rong2, ZHANG Yu-Heng2   

  1. (1. School of Materials Science and Engineering, Jiangsu Collaborative Innovation Center of Photovolatic Science and Engineering, Changzhou University, Changzhou 213164, China; 2. Key Laboratory of Materials Physics, Institute of Solid State Physics, Chinese Academy of Sciences, Hefei 230031, China)
  • Received:2015-11-13 Revised:2016-03-02 Published:2016-07-20 Online:2016-06-22
  • About author:LU Xiao-Yu. E-mail: 1483326817@qq.com
  • Supported by:
    National Natural Science Foundation of China (11074258, 51577015);Major Projects of Natural Science Research in Jiangsu Province (15KJA43002);Priority Academic Program Development of Jiangsu Higher Education Institutions

摘要:

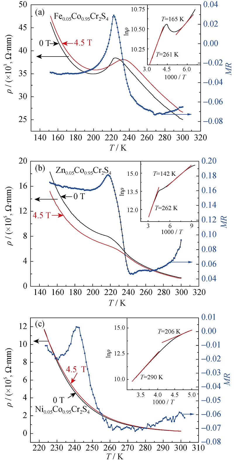
过渡金属尖晶石型硫化物具有包括超巨磁电阻(CMR)效应在内的多种物理性能, 其CMR效应机理的研究对开发巨磁电阻材料有重要价值。目前, 铬基硫族尖晶石的CMR效应尚未深入研究。本论文通过固相反应法制备A0.05Co0.95Cr2S4(A=Zn、Ni、Cd、Fe)样品, 研究磁性和非磁性元素掺杂对CoCr2S4晶体结构和磁性能的影响。XRD检测表明, 掺杂的A0.05Co0.95Cr2S4(A=Zn、Ni、Cd、Fe)均呈现纯的尖晶石结构, 掺杂导致的晶胞参数变化与掺杂元素的离子半径成比例。磁电阻测定表明A0.05Co0.95Cr2S4(A=Zn、Ni、Fe)均具有巨磁电阻效应。掺杂削弱了铁磁相互作用, 导致A0.05Co0.95Cr2S4(A=Zn、Ni、Cd、Fe)的居里温度TC降低。在0.01 T下, A0.05Co0.95Cr2S4(A=Zn、Ni、Cd、Fe)的零场冷却(ZFC)和加场冷却(FC)曲线均呈现磁性不可逆现象。A0.05Co0.95Cr2S4(A=Zn、Ni、Cd、Fe)呈现典型的亚铁磁性磁滞回线, 其中Zn0.05Co0.95Cr2S4的矫顽场最大。

关键词: A0.05Co0.95Cr2S4, 巨磁电阻效应, 零场冷却(ZFC), 加场冷却(FC), 矫顽场

Abstract:

Spinel-type transition metal sulfides possess various super physical properties including colossal magnetoresistance (CMR). The research of the mechanism of the CMR effect is of great value for the development of the CMR sulfide materials, whereas the CMR effect of the spinel chrome-based sulfides is unclear up till now. The A0.05Co0.95Cr2S4 (A=Zn, Ni, Cd, Fe) samples were prepared by solid-state reaction method. Their effects of magnetic and non-magnetic metal elements on crystal structure and magnetic properties of CoCr2S4 after doping were studied. XRD measurement shows that the doped A0.05Co0.95Cr2S4 (A=Zn, Ni, Cd, Fe) samples exhibit pure spinel structure, in which their crystal cell parameters increase proportional to the ionic radius of the doping elements. Magnetoresistance measurement shows that all the samples exhibit giant magnetoresistance effect. Doping weakens the ferromagnetic interaction, which leads to the decrease of TC of A0.05Co0.95Cr2S4 (A=Zn, Ni, Cd, Fe). In the low field of 0.01 T, the curves of the zero-field cooling (ZFC) and field cooling (FC) exhibit magnetic irreversible phenomena. All the samples exhibit typical ferrimagnetic hysteresis loops, among which Zn0.05Co0.95Cr2S4 shows the largest value of coercivity.

Key words: A0.05Co0.95Cr2S4, colossal magnetoresistance, ZFC, FC, coercive field

中图分类号: