二氧化锰形貌对Ti3C2Tx@MnO2复合材料电化学性能的影响
陕西科技大学 材料科学与工程学院, 陕西省无机材料绿色制备与功能化重点实验室, 西安 710021
Manganese Dioxide Morphology on Electrochemical Performance of Ti3C2Tx@MnO2 Composites
Shaanxi Key Laboratory of Green Preparation and Functionalization for Inorganic Materials, School of Material Science and Engineering, Shaanxi University of Science and Technology, Xi’an 710021, China
通讯作者: 朱建锋, 教授. E-mail:zhujf@sust.edu.cn
收稿日期: 2019-06-26 修回日期: 2019-07-31 网络出版日期: 2020-01-20
| 基金资助: |
|
Corresponding authors: ZHU Jian-Feng, professor. E-mail:zhujf@sust.edu.cn
Received: 2019-06-26 Revised: 2019-07-31 Online: 2020-01-20
| Fund supported: |
|
以聚多巴胺(PDA)修饰的Ti3C2Tx为基体, 高锰酸钾(KMnO4)为锰源, 十六烷基三甲基溴化铵(CTAB)和聚乙二醇(PEG)为表面活性剂, 采用液相共沉淀法及水热法, 制备出四种不同形貌的Ti3C2Tx@MnO2复合材料。通过FE-SEM、XRD、Raman、FT-IR、BET及电化学测试, 系统研究了纳米碎片状(δ-MnO2)、米粒状(α-MnO2)、纳米花球状(α-MnO2)以及纳米线状二氧化锰(α-MnO2)对Ti3C2Tx物相结构、电化学活性和电荷存储机理的影响。结果表明: 纳米线状MnO2复合改性的Ti3C2Tx比表面积最大、电荷转移阻抗最小且循环稳定性最优, 在扫描速率为2 mV·s -1时的比容量达340.9 F·g -1, 比使用CTAB时高出近2.5倍。
关键词:
Ti3C2Tx@MnO2 composites with different morphologies were prepared by liquid-phase coprecipitation and hydrothermal method using Ti3C2Tx@PDA as matrix, KMnO4 as manganese source, CTAB or PEG as surfactant. Effect of MnO2 morphology (δ-MnO2 nanofragments, α-MnO2 nanorods, α-MnO2 nanoflowers and α-MnO2 nanowires) on phase structure and electrochemical performance of Ti3C2Tx was analyzed by FE-SEM, XRD, Raman, FT-IR, BET, and electrochemical measurements. The results show that Ti3C2Tx@α-MnO2 nanowires possesses better comprehensive electrochemical properties (340.9 F·g -1 at 2 mV·s -1), nearly 2.5 times higher than using CTAB, and smaller charge transfer resistance, as well as excellent cycle stability.
Keywords:
本文引用格式
李学林, 朱建锋, 焦宇鸿, 黄家璇, 赵倩楠.
LI Xue-Lin, ZHU Jian-Feng, JIAO Yu-Hong, HUANG Jia-Xuan, ZHAO Qian-Nan.
MXene是一类新型二维层状过渡金属碳化物或氮化物, 通过刻蚀前驱体MAX相中的A元素得到[4], 碳原子层赋予MXene良好的导电性, 过渡金属层使其具有类似过渡金属氧化物的性能, 而表面官能团(-OH、=O、-F等)使其表现出良好的亲水性[5]。独特性能的组合, 使得MXene电荷响应速度快, 具有赝电容特征且循环性能稳定, 成为储能研究领域的热点之一。然而, 由于Mxene有较大的表面能, 其片层之间容易堆叠, 不能充分发挥层间储能领域。MnO2作为一类典型的变价过渡金属氧化物, 具有多样的晶体结构和形貌, 在改善MXene堆叠现象的同时提供大量暴露的活性位点, 表现出良好的电化学性能。从现有研究报告可以看出, 受电解液种类和浓度, 电位窗口, 原料和电极制备方法差异限制, 形貌差异对复合材料储能性能的影响尚不明确。
因此, 本研究以聚多巴胺(PDA)修饰的Ti3C2Tx为基底材料, 采用简单液相共沉淀法, 原位合成纳米碎片状Ti3C2Tx@δ-MnO2、米粒状Ti3C2Tx@α-MnO2、纳米花球状Ti3C2Tx@α-MnO2以及纳米线状Ti3C2Tx@α-MnO2复合材料, 系统地研究了不同形貌MnO2对Ti3C2Tx材料储能性能的影响。
1 实验方法
1.1 Ti3C2Tx@PDA复合材料的制备
采用化学氧化聚合法合成Ti3C2Tx@PDA[6]。取0.5 g Ti3C2Tx超声分散于100 mL超纯水中, 加入0.25 g盐酸多巴胺, 避光室温搅拌1 h。再加入25 mL 0.05 mol·L-1 Tris缓冲液, 逐滴加入稀盐酸调节pH值至8.5, 避光室温搅拌24 h。用超纯水反复洗涤、离心产物后, 冷冻干燥48 h, 得到Ti3C2Tx@PDA粉末。
1.2 Ti3C2Tx@MnO2复合材料的制备
纳米碎片状Ti3C2Tx@δ-MnO2: 采用液相共沉淀法, 将0.03 g Ti3C2Tx@PDA超声分散于10 mL超纯水中, 加入10 mL 0.1 mol·L-1 KMnO4溶液, 70 ℃水浴搅拌3 h后, 自然冷却至室温, 用超纯水和无水乙醇洗涤离心产物后, 40 ℃下干燥24 h, 得到纳米碎片状Ti3C2Tx@δ-MnO2。
米粒状Ti3C2Tx@α-MnO2: 采用水热法, 将0.03 g Ti3C2Tx@PDA超声分散于30 mL超纯水中, 加入0.0316 g KMnO4, 搅拌均匀后将混合液转入100 mL水热釜中, 100 ℃反应24 h。用超纯水和无水乙醇洗涤离心产物后, 40 ℃下干燥24 h, 得到米粒状Ti3C2Tx@α-MnO2。
纳米线状Ti3C2Tx@α-MnO2、纳米花球状Ti3C2Tx@α-MnO2: 工艺与纳米碎片状Ti3C2Tx@δ-MnO2制备相同, 不同之处是将Ti3C2Tx@PDA分别加入到2wt% PEG和0.1 mol·L-1 CTAB溶液中。
1.3 样品表征
利用X射线衍射仪(XRD, D/Max 2200PC, Cu Kα)表征样品的晶体结构和物相组成; 用场发射扫描电镜(FE-SEM, HITACHI S-4800)观察样品的形貌; 用X射线能量色散谱(EDS)对PDA在Ti3C2Tx基体上的分布进行表征; 用激光共聚焦拉曼光谱仪(Raman, INVIA)研究样品的特征; 利用傅里叶变换红外光谱(FT-IR, Bruker VECTOR-22)对样品化学键特性进行了表征; 采用BET比表面积分析仪(Micromeritics, ASAP 2460)对样品比表面积和孔径分布进行表征。
1.4 电化学性能测试
工作电极的制作: 将试样、乙炔黑和聚偏氟乙烯(PVDF)按照质量比85:10:5混合均匀, 加入一定量的1-甲基-2-吡咯烷酮(NMP)分散剂, 混合均匀后滴在泡沫镍衬底上(1 cm×2 cm), 120 ℃真空干燥12 h, 10 MPa压力下保压1 min, 得到工作电极。
以铂片为对电极, 饱和甘汞电极(SCE)为参比电极, 1 mol·L-1 Na2SO4溶液为电解液, 在电化学工作站(CHI 660E)上对工作电极进行循环伏安测试(CV)、恒电流充放电测试(GCD)、电化学阻抗谱测试(EIS)和循环稳定性测试。由CV曲线得到电极材料比电容的计算方法:
其中, C(F·g-1)为电极的比电容; I(A)为响应电流; v(V·s-1)为扫描速率; m(g)为电极中活性材料的质量; ∆V(V)为电位窗口。
2 结果与讨论
2.1 Ti3C2Tx@MnO2复合材料的形貌和结构分析
用FE-SEM对Ti3C2Tx@PDA及Ti3C2Tx@MnO2复合材料的形貌进行了表征, 如图1所示。相较于Ti3C2Tx, 图1(b)的Ti3C2Tx@PDA仍然保持“风琴状”结构, 但在表面生成了平整的PDA薄膜。图2 EDS图谱中氮元素的存在进一步证实PDA层的成功包覆。由于聚多巴胺的配位作用、化学反应性和弱还原能力[7], KMnO4中的[MnO4]-可以直接还原为MnO2。水热条件下得到的米粒状α-MnO2, 长度约为100 nm, 如图1(d)所示。在CTAB作用下MnO2由纳米碎片状δ-MnO2团聚形成花球状α-MnO2, 由图1(e)可以看出, 颗粒直径约为100 nm。在PEG作用下, MnO2转变为纤细的线状纳米α-MnO2 (图1(f)), 连通Ti3C2Tx片层。
图1
图1
样品的FE-SEM照片
(a) Pure Ti3C2Tx; (b) Ti3C2Tx@PDA; (c) Ti3C2Tx@δ-MnO2 nanofragments; (d) Ti3C2Tx@α-MnO2 nanorods; (e) Ti3C2Tx@α-MnO2 nanoflowers; (f) Ti3C2Tx@α-MnO2 nanowires
Fig. 1
FE-SEM mages of the samples
图2
图2
Ti3C2Tx@PDA的FE-SEM照片(a)、TEM照片(b)及EDS图谱(c-f)
Fig. 2
FE-SEM images (a), TEM images (b) and EDS mappings (c-f) of Ti3C2Tx@PDA
图3为合成的Ti3C2Tx@MnO2复合材料的XRD图谱。纳米碎片状Ti3C2Tx@δ-MnO2在2θ=12.1°、18.5°、36.8°和65.7°处出现较为明显的δ-MnO2特征峰(JCPDS:18-0802), 是水钠锰矿型MnO2[8], 水钠锰矿中间层中的钾离子和水分子有助于其保持层状结构。水热合成的米粒状Ti3C2Tx@α-MnO2复合材料, 其MnO2的为四方晶体结构(JCPDS:44-0141)[9]。对于纳米花球状Ti3C2Tx@α-MnO2, 在2θ=35.6°和2θ=65.3°处出现两个较宽的衍射峰, 表明体系中可能形成非晶态α-MnO2的锰钾矿相[10,11]。图3(a)中的曲线6为纳米线状Ti3C2Tx@α-MnO2, 其衍射峰与米粒状MnO2相同, 2θ=12.8°、18.4°、28.6°、37.6°、49.8°和65.7°分别对应α-MnO2的(110)、(200)、(310)、(211)、(411)和(002)晶面[12,13]。图3(b)为Ti3C2Tx@MnO2在6°~10°范围内的放大图。可以看出四种不同形貌的Ti3C2Tx@MnO2较Ti3C2Tx的(002)特征峰均向左偏移, 表明层间距均有所增加, 其中纳米线状Ti3C2Tx@α-MnO2中Ti3C2Tx的层间距增加最多, 根据布拉格公式计算出增加量约为0.1223 nm, 大的层间距有助于更多Na+的插层, 提供更多的插层赝电容[14,15,16], 由此推断出纳米线状Ti3C2Tx@α-MnO2复合材料可能显示出较高的电化学性能。
图3
图3
样品的XRD图谱(a)和相应的局部放大图(b)
(1) Pure Ti3C2Tx; (2) Ti3C2Tx@PDA; (3) Ti3C2Tx@δ-MnO2 nanofragments; (4) Ti3C2Tx@α-MnO2 nanorods; (5) Ti3C2Tx@α-MnO2 nanoflowers; (6) Ti3C2Tx@α-MnO2 nanowires
Fig. 3
XRD patterns of samples (a) and corresponding drawing of partial enlargement (b)
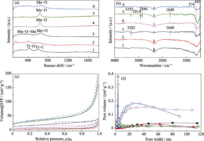
用拉曼光谱进一步研究复合材料的分子结构特征, 如图4(a)所示。Ti3C2Tx表现出两个宽峰, 其中610 cm-1处较高能量位置的特征峰来自Ti-C的振动, 而430 cm-1处的特征峰则与Ti-O键有关[4,17]。四种Ti3C2Tx@MnO2复合材料均在405 cm-1(Ti-O特征峰)和600~700 cm-1之间(Mn-O与Ti-C叠加峰)有明显特征峰[17], 650 cm-1处的特征峰表明Mn-O在[MnO6]八面体中为对称伸缩振动[11]。纳米碎片状Ti3C2Tx@δ-MnO2中两个位于350和295 cm-1的小峰对应于MnO2八面体晶格中的Mn-O-Mn弯曲振动[18,19]。此外, 复合材料中的Ti-O具有明显的向左迁移现象, 说明Ti3C2Tx与MnO2的界面存在强烈的相互作用。图4(b)用红外光谱法补充了不同结构MnO2在复合材料中的分子结构。与Ti3C2Tx相比, 复合材料中441 cm-1附近的吸收带归因于Mn-O的收缩振动, 在574 cm-1处的峰为Mn-O的弯曲振动[20]。只在纳米碎片状Ti3C2Tx@δ-MnO2和纳米花球状Ti3C2Tx@α-MnO2中发现了1640和3292 cm-1处的宽频带, 分别代表夹层水分子的弯曲振动和水分子中的O-H收缩振动[21,22]。而纳米花球状Ti3C2Tx@α-MnO2中2914和2846 cm-1处的吸收带为CTAB烷基链中的C-H收缩振动[23]。
图4
图4
样品的Raman图谱(a)、FT-IR图谱(b)、N2吸附/脱附曲线(c)和孔径分布图(d)
(1-black): Pure Ti3C2Tx; (2-red) Ti3C2Tx@PDA; (3-navy) Ti3C2Tx@δ-MnO2 nanofragments; (4-purple) Ti3C2Tx@α-MnO2 nanorods; (5-green) Ti3C2Tx@α-MnO2 nanoflowers; (6-blue) Ti3C2Tx@α-MnO2 nanowires
Fig. 4
Raman spectra (a), FT-IR spectra (b), Nitrogen sorption isotherms (c) and pore size distributions (d) of samples
图4(c)所示的N2吸附/脱附等温线可以看出, 所有样品在0.45~1.0相对压力范围内均表现出典型的IV型等温线特性和H3滞后环[24], 表明所得样品具有中孔和大孔结构。根据BET公式可得, 纳米碎片状Ti3C2Tx@δ-MnO2、米粒状Ti3C2Tx@α-MnO2、纳米花球状Ti3C2Tx@α-MnO2和纳米线状Ti3C2Tx@α-MnO2的比表面积分别为51.7、33.8、99.9和109.2 m2·g-1, 远远大于Ti3C2Tx的比表面积(5.1 m2·g-1)。显然, 纳米线状Ti3C2Tx@α-MnO2具有更大的比表面积, 这可能是由于大量分布的纳米线状MnO2可防止Ti3C2Tx片层的堆叠, 与图3中XRD分析结果一致。此外, 图4(d)中通过Barrett-Joyner- Halenda(BJH)模型估算的孔径分布曲线可以看出, 纳米线状Ti3C2Tx@α-MnO2的孔体积最大, 有利于增加电极材料与电解液的接触面积, 为电解质离子的快速运输和扩散提供高效的通道, 进而改善MXene材料的电化学反应动力学。
2.2 Ti3C2Tx@MnO2复合材料的电化学性能分析
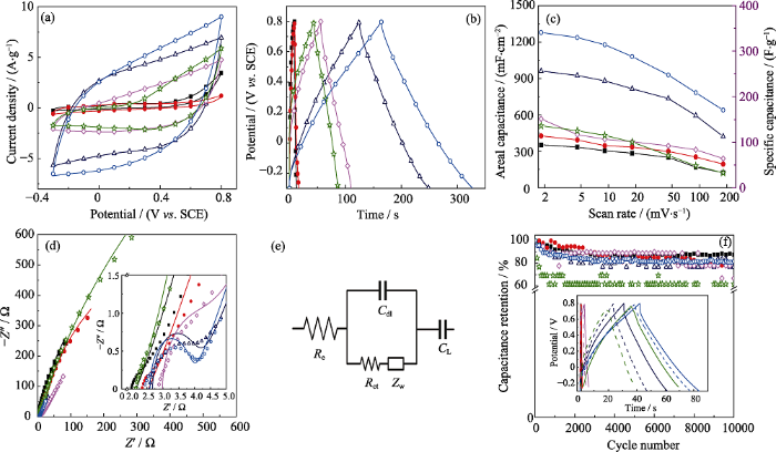
为了评估复合材料的电化学行为、量化其电荷存储能力, 在三电极测试系统中测定了电极材料的CV曲线和GCD曲线。与其他负载金属氧化物复合材料不同的是, Ti3C2Tx@MnO2的CV曲线上没有明显的氧化还原峰(图5(a)和图6(a)), 这是由于Mn3+与Mn4+之间存在连续的氧化还原反应[25]。在较低扫速时, 纳米线状Ti3C2Tx@α-MnO2的CV曲线大致呈矩形, 且接近镜像对称, 显示出良好的电容行为和快速充放电特性。而随着扫描速率增加, CV曲线由准矩形向纺锤形演变, 可能是由于溶液中发生了电化学极化和浓度极化, 电解质离子在极短的时间内只能到达电极材料的外表面[26], 电解液与电极材料之间的有效相互作用大大减少, 导致活性材料电化学性能降低。此外, GCD曲线都表现出线性和近似对称的形状(图5(b)和图6(b)), 表明该复合材料优异的可逆性和理想的电容特性。
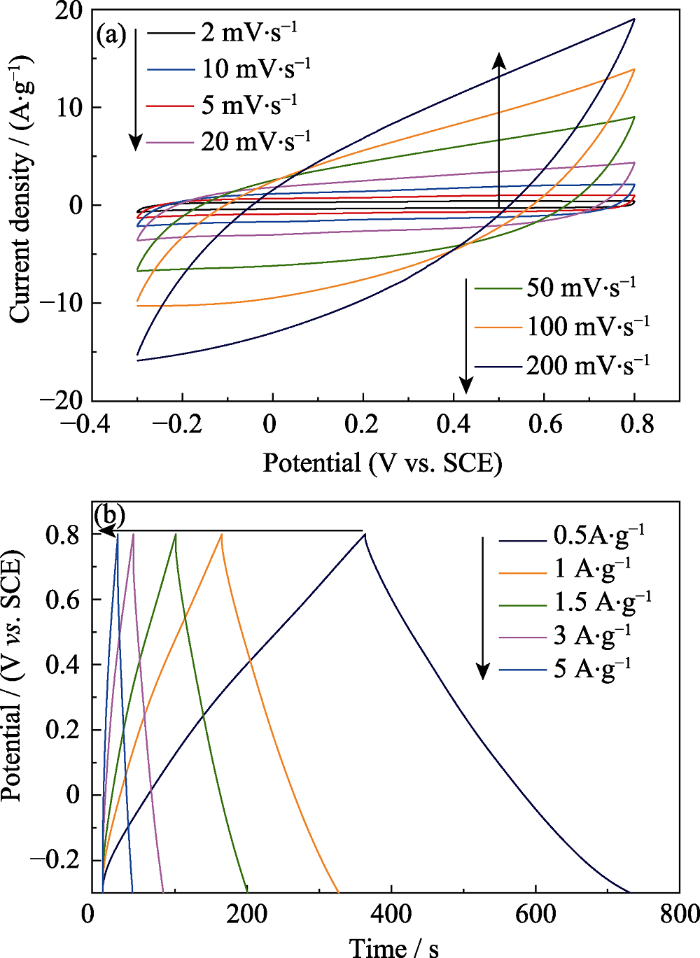
图5
图5
纳米线状Ti3C2Tx@α-MnO2在不同扫描速率下的CV曲线(a)和不同电流密度下的GCD曲线(b)
Fig. 5
CV curves at different scan rate (a) and GCD curves at different current densities (b) of Ti3C2Tx@α-MnO2 nanowires
图6
图6
样品的电化学性能
(a) CV curves at 50 mV·s-1; (b) GCD curves at 1 A·g-1; (c) Specific capacitances at various scan rates; (d) Nyquist plots; (e) Equivalent circuit adopted in the simulation of EIS spectra; (f) Cycling stability measured at 3 A·g-1 Pure Ti3C2Tx (black); Ti3C2Tx@PDA (red); Ti3C2Tx@δ-MnO2 nanofragments (navy); Ti3C2Tx@α-MnO2 nanorods (purple); Ti3C2Tx@α-MnO2 nanoflowers (green); Ti3C2Tx@α-MnO2 nanowires (blue)
Fig. 6
Electrochemical performance of samples
复合材料与Ti3C2Tx在扫描速率为50 mV·s-1时的CV曲线对比如图6(a)所示, 纳米碎片状Ti3C2Tx@δ-MnO2与纳米线状Ti3C2Tx@α-MnO2较其它电极材料而言, 更接近矩形, 说明电解液中Na+离子容易扩散到电极材料的活性表面。显然, 纳米线状Ti3C2Tx@α-MnO2较其余三种形貌复合物具有更大的CV闭合曲线面积, 即纳米线状Ti3C2Tx@α-MnO2具有更高的比容量, 这得益于其较高的比表面积和孔隙体积。而单纯的Ti3C2Tx电极具有较小的CV闭合曲线面积, 表明Ti3C2Tx对复合材料电容贡献不大, 可能是工作窗口不兼容造成的[17,27]。因此, 复合材料的电荷存储主要基于MnO2在1 mol·L-1 Na2SO4中的可逆氧化还原反应, 包括电解质阳离子Na+的表面吸附和质子的掺入, 如反应(2)所示[11]。
MnO2 + xNa+ + yH+ + (x+y)e-$\Leftarrow \Rightarrow $MnOONaxHy
Ti3C2Tx@MnO2复合材料在电流密度为1 A·g-1时的GCD曲线(图6(b)), 均呈现近线性和对称性, 且没有明显的IR降。不同形貌的MnO2与Ti3C2Tx复合均可延长放电时间, 这与CV曲线的结果一致, Ti3C2Tx片层与MnO2界面上的有效电荷转移可能是增强电荷存储能力的重要原因。
倍率性能是判断电极材料是否适合超级电容器应用的重要因素。图4(c)为各电极的比电容与扫描速率之间的关系图。在扫描速率为2 mV·s-1时, 纳米碎片状Ti3C2Tx@δ-MnO2电极的比容量为256.4 F·g-1, 扫速增至200 mV·s-1时比容量缩至112.6 F·g-1, 为初始容量的44%。而对于Ti3C2Tx电极而言, 其比容量仅为45.8 F·g-1。在相同的扫描速率下, 纳米线状Ti3C2Tx@α-MnO2电极的比容量(2 mV·s-1时达340.9 F·g-1)远远高于其余三种Ti3C2Tx@MnO2复合材料, 其容量保持率为50%, 其优越的倍率性能归因于高活性表面和较短的离子扩散路径。
为了检测Ti3C2Tx@MnO2复合材料的电荷转移电阻(Rct)和等效串联电阻(Re), 电化学阻抗谱的Nyquist曲线如图6(d)所示。由于氧化还原反应的存在, 所有曲线在高频区域均呈圆弧状, 在低频区域呈直线状, 具有理想的电容特性[28]。位于低频区的斜线表示电解液中离子的扩散, 纳米线状Ti3C2Tx@α-MnO2电极的斜率略大于其余三种Ti3C2Tx@MnO2电极, 表明电解液在纳米线状Ti3C2Tx@α-MnO2电极表面有较好的扩散性。位于高频区的半圆与实轴上的截距代表Re, 反映了材料的内阻、电解质的离子电阻和接触电阻。EIS图谱中各电极的组合电阻基本一致, 主要区别在于半圆部分, 与其余三种形貌Ti3C2Tx@MnO2相比, 纳米线状Ti3C2Tx@α-MnO2电极的EIS曲线在高频区的半圆较小。图6(e)给出了EIS谱线相匹配的等效电路, 各样品对应的EIS数据拟合值如表1所示。
表1 各样品的电化学阻抗谱EIS数据拟合值
Table 1
| Sample | Re/Ω | Cdl/μF | Rct/Ω | Zw/(Ω-1·s1/2) | CL/mF |
|---|---|---|---|---|---|
| Ti3C2Tx | 2.043 | 12.04 | 0.4575 | 0.04459 | 39.82 |
| Ti3C2Tx@PDA | 2.397 | 43.26 | 0.4671 | 0.09429 | 65.16 |
| Ti3C2Tx@δ-MnO2 nanofragments | 2.678 | 187.1 | 1.333 | 0.0999 | 343.5 |
| Ti3C2Tx@α-MnO2 nanorods | 2.989 | 31.7 | 1.358 | 0.04104 | 263.1 |
| Ti3C2Tx@α-MnO2 nanoflowers | 2.304 | 20.89 | 1.925 | 0.001071 | 65.97 |
| Ti3C2Tx@α-MnO2 nanowires | 2.592 | 135.3 | 1.268 | 0.1547 | 373.5 |
电化学稳定性是决定电极材料性能的另一重要因素。图6(f)为各电极在电流密度3 A·g-1时恒流充放电104次的容量保持率曲线, 纳米线状Ti3C2Tx@α-MnO2电极的容量保持率为81.6%, 略低于Ti3C2Tx电极(87.5%), 这是由于MnO2在循环过程中的形变和脱落所致。然而, 其稳定性远远高于其余三种形貌的Ti3C2Tx@MnO2, 且从插图中可知纳米线状Ti3C2Tx@α-MnO2电极在第1次和第104次的GCD曲线基本保持不变, 表明其长效循环稳定性较好。
3 结论
通过液相共沉淀法及水热法成功制备出不同MnO2形貌的Ti3C2Tx@MnO2复合材料, 系统研究了形貌对Ti3C2Tx@MnO2复合材料电化学活性和电荷存储机理的影响。得出以下结论:
1) PDA包覆层可直接将MnO4-转变为MnO2, 且确保MnO2在Ti3C2Tx片层上的均匀分布。
2) 在CTAB的作用下, MnO2由均质碎片团聚在一起形成花球状; 在PEG的导向下, MnO2沿着PEG分子链生长成为纳米线。
3) 当扫描速率为5 mV·s-1时, 比容量排序: 纳米线状Ti3C2Tx@α-MnO2 (329.9 F·g-1)>纳米碎片状Ti3C2Tx@δ-MnO2(246.4 F·g-1)>纳米花球状Ti3C2Tx@α-MnO2(125.3 F·g-1)>米粒状Ti3C2Tx@α-MnO2 (116.6 F·g-1)。综合比较, 纳米线状Ti3C2Tx@α-MnO2复合材料表现出最佳的电化学性能, 电荷转移阻抗最小, 且在电流密度为3 A·g-1时循环104次后的容量保持率为81.6%。
参考文献
Overview of current development in electrical energy storage technologies and the application potential in power system operation
A review on recent advances in hybrid supercapacitors: design, fabrication and applications
Latest advances in supercapacitors: from new electrode materials to novel device designs
Two-dimensional nanocrystals produced by exfoliation of Ti3AlC2
2D metal carbides and nitrides (MXenes) for energy storage
In-sit growth of carbon nanotubes on two-dimensional titanium carbide for enhanced electrochemical performance
Polydopamine and MnO2 core-shell composites for high-performance supercapacitors
Facile synthesis of well-ordered manganese oxide nanosheet arrays on carbon cloth for high- performance supercapacitors
Synthesis and electrocatalytic performance of MnO2-promoted Ag@Pt/MWCNT electrocatalysts for oxygen reduction reaction
Anomalous effect of K ions on electrochemical capacitance of amorphous MnO2
Charge storage performances and mechanisms of MnO2 nanospheres, nanorods, nanotubes and nanosheets
.
The self-assembly of shape controlled functionalized graphene-MnO2 composites for application as supercapacitors
.
High-energy MnO2 nanowire/graphene and graphene asymmetric electrochemical capacitors
.
Cation intercalation and high volumetric capacitance of two-dimensional titanium carbide
Carbon nanofibers bridged two-dimensional titanium carbide as a superior anode in lithium- ion battery
The effect of hydrazine intercalation on the structure and capacitance of 2D titanium carbide (MXene)
Molecularly stacking manganese dioxide/titanium carbide sheets to produce highly flexible and conductive film electrodes with improved pseudocapacitive performances
Topochemical oxidation preparation of regular hexagonal manganese oxide nanoplates with birnessite-type layered structure
Electrochemical supercapacitor material based on manganese oxide: preparation and characterization
Sonochemically synthesized MnO2 nanoparticles as electrode material for supercapacitors
.
IR spectra of manganese oxides with either layered or tunnel structures
Structural characterization of self-assembled MnO2 nanosheets from birnessite manganese oxide single crystals
.
Synthesis of CTAB intercalated graphene and its application for the adsorption of AR265 and AO7 dyes from water
Nitrogen-doped graphene aerogels as efficient supercapacitor electrodes and gas adsorbents
Materials for electrochemical capacitors
Effects of surfactants on the preparation of MnO2 and its capacitive performance
.
Flexible MXene/carbon nanotube composite paper with high volumetric capacitance
High-performance asymmetric supercapacitors of MnCo2O4 nanofibers and N-doped reduced graphene oxide aerogel
.
/
| 〈 |
|
〉 |
