根据马希森定则, 如果材料中存在多种散射机制, 则声子的总弛豫时间可写成如下形式:${{\tau }^{-1}}=\tau {}_{\text{U}}^{-1}+\tau _{\text{PD}}^{-1}+\tau _{\text{B}}^{-1}+\tau _{\text{Str}}^{-1}+\tau _{\text{Res}}^{-1}+\tau _{\text{EP}}^{-1}+\cdots $, 其中${{\tau }_{\text{U}}}$、$\tau _{\text{PD}}^{{}}$、$\tau _{\text{B}}^{{}}$、$\tau _{\text{Str}}^{{}}$、$\tau _{\text{Res}}^{{}}$、$\tau _{\text{EP}}^{{}}$分别为U过程散射、点缺陷散射、晶界散射、位错散射、非磁性声子共振散射以及电声散射引起的弛豫时间。对于固体材料, 其内部的热传输声子分布在一个较宽的频率范围内, 因此要获得较低的晶格热导率, 则需要对不同频率的声子进行散射[30 ,31 ] 。
U过程散射是材料固有的本征散射。在高温极限条件下, U过程散射是主要散射机制, 晶格热导率${{\kappa }_{\text{L}}}\propto 1/T$。U过程散射的强弱可通过Slack公式$\tau _{\text{U}}^{-1}\approx \frac{\hbar {{\gamma }^{2}}}{M{{v}^{2}}{{\theta }_{\text{D}}}}{{\omega }^{2}}T\exp (-{{\theta }_{\text{D}}}/3T)$[32 ] 判断, 式中γ 为格林内森常数, M 为平均原子质量, v 为声速, θ D 为德拜温度, ω 为声子频率。在这些参数中, 声速与德拜温度均与化学键强弱有关, 而格林内森常数则表征化学键的非谐性强弱[33 ] 。格林内森常数越大, 则非谐作用越强, 晶格热导率越低(如图3 所示)。研究表明, 具有高格林内森常数的材料一般具有以下两个特征:晶体非对称性和存在光声耦合作用。Cu3 SbSe3 中Sb原子具有孤对电子, 使Cu3 SbSe3 晶格结构的对称性遭到破坏, 具有较高的格林内森常数[34 ,35 ] 。传统的中温区热电材料PbTe具有较高的格林内森常数(~1.4)[36 ,37 ] 。这是由于在PbTe材料中, 纵声学波和横光学波之间存在强烈的耦合作用, 从而大大降低了PbTe材料的晶格热导率[38 ] 。
为了能够快速筛选具有低晶格热导率的热电材料, 采用合理模型预测理论最小晶格热导率是非常必要的。上文提到, 晶格热导率的表达式可近似为${{\kappa }_{\text{L}}}=\frac{1}{3}{{C}_{\text{V}}}{{v}_{\text{g}}}l$。由于一般热电材料达到最小晶格热导率时都已经高于德拜温度, 此时热容已经趋近于杜隆-珀蒂值3R 。代入晶格热导率公式可得:${{\kappa }_{\text{L}}}=R{{v}_{\text{g}}}l$, 其中R 为理想气体常数。因此, 想要获得最小晶格热导率, 声速及平均自由程需要达到最小值。这里需要注意的是由于热容公式中只考虑了声学支对热导率的贡献, 造成理论结果低于实际情况[94 ] 。由于平均声速可通过测试材料的弹性模量与密度获得, 因此如果知道最小声子平均自由程就可以计算材料的最小晶格热导率。Clarke等[95 ] 提出最小声子平均自由程等于原胞体积的三次方根, 此时最小晶格热导率的表达式如下:${{\kappa }_{\min }}=0.93{{n}^{2/3}}{{k}_{\text{B}}}\frac{1}{3}(2{{v}_{\text{S}}}+{{v}_{\text{P}}})$。其中, n 为原胞中原子数。Cahill等[96 ] 和Slack[17 ] 采用Einstein模型[97 ] 计算材料处于非晶态时的最小晶格热导率。但是, 在处理热容问题时, Einstein模型与实验结果之间存在较大偏离。为了避免Einstein热容的缺陷, Cahill在Einstein假设的基础上将若干个原子视为一个整体, 作为单个振子处理。这种处理方式保留了晶格的周期性特征。Cahill假设最小声子平均自由程为声子波长的一半。
虽然最小晶格热导率的计算模型有所不同, 但不同模型预测出的结果大都比较接近。这主要由两方面原因造成的:首先, 大多数材料达到最小晶格热导率时, 温度均远远高于德拜温度, 此时, 热容已经趋近于极限值3R ; 其次, 所有模型都假设对热导率的贡献全部由平均自由程等于原子间距尺度的声子贡献, 这一假设使得晶体中尺度大于原子间距的缺陷, 如位错、第二相等不会对最小晶格热导率的预测产生影响。
不管是Cahill模型还是Clarke模型, 其本质都是基于声子模型及气体碰撞模型推导而得到的。然而, 对于某些材料来说, 实验能够得到的最小晶格热导率低于理论预测值, 是由于声子的数学描述要求晶格具有周期性, 而对于非晶、纳米晶及准晶材料来说, 晶格并不具有周期性。Allen及Feldman提出了对于这种具有非周期性结构材料的最小晶格热导率计算模型—扩散子模型[98 ,99 ] 。图8 (a)显示了扩散子模型及声子模型之间的差别, 这一模型不再将晶格振动看作传递能量的声子, 而是符合随机漫步理论的扩散子。扩散子模型的能量传递方式由扩散控制, 该模型下晶格热导率的表达式可以表示为:${{\kappa }_{\text{diff}}}=0.76{{n}^{2/3}}{{k}_{\text{B}}}\frac{1}{3}(2{{v}_{S}}+{{v}_{\text{P}}})$。通过扩散子模型计算的最小晶格热导率比Cahill模型的最小晶格热导率低约37%[100 ] 。研究表明对于具有无序结构或者复杂原胞的材料来说, 这一模型更加适用。如图8 (b)所示, Cahill模型的计算值大体与实验室所能获得的最小晶格热导率值相当。而扩散控制的最小晶格热导率则能更好地表征一种材料所能达到的极限晶格热导率。
晶格热导率是一个可以相对独立调控的影响材料热电性能的参数。本文分别阐述了热容、声速及弛豫时间等三个物理量对晶格热导率的影响, 并介绍了几种不同类型的预测材料最小晶格热导率的理论模型, 对降低材料的晶格热导率具有重要的指导意义。那么如何从实验上获得较低的晶格热导率呢? 主要可以从以下两方面考虑:
第一、寻找并制备具有本征低热导率的热电材料。具有本征低热导率的热电材料一般具有以下几个特征:1. 强非谐性。非谐性强弱主要与化学键及原子平衡位置的对称性有关。原子在振动过程中, 若其对称中心发生偏移越大, 则非对称性越强。具有孤对电子的材料往往由于电子云分布不均匀, 晶体结构会发生一定的变形, 非对称性显著增强, 有利于获得强非谐性; 2. 弱化学键。化学键弱的材料具有较低的声速, 原子在其平衡位置附近具有更大的活动空间, 电子云分布更为弥散。在声子谱中, 弱化学键往往对应一些低频段的声子模, 更容易与声学支发生耦合作用, 从而进一步降低声学支对热导的贡献; 3. 复杂的晶胞结构。一方面可以降低声学支对总热容的贡献比重, 另一方面可以降低声学支声子的群速。
第二、通过多尺度声子散射降低已有热电材料的热导率。由于在德拜温度以上, 声子频率分布在0到德拜频率之间, 同时抑制所有波长段的声子模能够有效降低晶格热导率, 如点缺陷散射、位错散射、晶界散射、共振散射和电声散射等(如图9 所示)。
[1]
BELL L E .Cooling, heating, generating power, and recovering waste heat with thermoelectric systems
. Science , 2008 , 321 (5895 ): 1457 -1461 .
[本文引用: 1]
[2]
SNYDER G J , TOBERER E S .Complex thermoelectric materials
. Nature Materials , 2008 , 7 :101 -110 .
[本文引用: 1]
[3]
XIN J Z , TANG Y L , LIU Y T , et al .Valleytronics in thermoelectric materials
. npj Quantum Materials , 2018 , 3 (1 ): 9 .
[本文引用: 1]
[4]
LI W , ZHENG L L , GE B H , et al . Promoting SnTe as an eco-friendly solution for p-PbTe thermoelectric via band convergence and interstitial defects. Advanced Materials , 2017 , 29 (17 ): 1605887 -1-8 .
[本文引用: 1]
[5]
BISWAS K , HE J Q , BLUM I D , et al .High-performance bulk thermoelectrics with all-scale hierarchical architectures
. Nature , 2012 , 489 : 414 -418 .
[本文引用: 1]
[6]
ZHAO L D , LO S H , ZHANG Y S , et al .Ultralow thermal conductivity and high thermoelectric figure of merit in SnSe crystals
. Nature , 2014 , 508 : 373 -377 .
[本文引用: 3]
[7]
CHEN Z W , JIAN Z Z , LI W ,et al . Lattice dislocations enhancing thermoelectric PbTe in addition to band convergence
. Advanced Materials , 2017 , 29 (23 ): 1606768 -1-8 .
[本文引用: 2]
[8]
KIM S I , LEE K H , MUN H A , et al .Dense dislocation arrays embedded in grain boundaries for high-performance bulk thermoelectrics
. Science , 2015 , 348 (6230 ): 109 -114 .
[本文引用: 2]
[9]
CHEN Z W , ZHANG X Y , PEI Y Z . Manipulation of phonon transport in thermoelectrics
. Advanced Materials , 2018 , 30 (17 ): 1705617 -1-12 .
[本文引用: 1]
[10]
HE Y , DAY T , ZHANG T S , et al .High thermoelectric performance in non-toxic earth-abundant copper sulfide
. Advanced Materials , 2014 , 26 (23 ): 3974 -3978 .
[本文引用: 1]
[11]
LIU H L , SHI X , XU F F , et al .Copper ion liquid-like thermoelectrics
. Nature Materials , 2012 , 11 : 422 -425 .
[本文引用: 3]
[12]
VINING C B , LASKOW W , HANSON J O , et al .Thermoelectric properties of pressure-sintered Si0.8 Ge0.2 thermoelectric alloys
. Journal of Applied Physics , 1991 , 69 (8 ): 4333 -4340 .
[本文引用: 2]
[13]
PEI Y Z , LALONDE A , IWANAGA S , et al .High thermoelectric figure of merit in heavy hole dominated PbTe
. Energy & Environmental Science , 2011 , 4 (6 ): 2085 -2089 .
[本文引用: 2]
[14]
ZEVALKINK A , TOBERER E S , ZEIER W G ., et al .Ca3 AlSb3 : an inexpensive, non-toxic thermoelectric material for waste heat recovery
. Energy & Environmental Science , 2011 , 4 (2 ): 510 -518 .
[本文引用: 2]
[15]
MAY A F , TOBERER E S , SARAMAT A , et al . Characterization and analysis of thermoelectric transport in n-type Ba8 Ga16-x Ge30+x
. Physical Review B , 2009 , 80 (12 ): 125205 -1-12 .
[本文引用: 2]
[16]
COX C A , TOBERER E S , LEVCHENKO A A , et al .Structure, heat capacity, and high-temperature thermal properties of Yb14 Mn1-x Alx Sb11
. Chemistry of Materials , 2009 , 21 (7 ): 1354 -1360 .
[本文引用: 2]
[17]
SLACK G A .The thermal conductivity of nonmetallic crystals
. Solid State Physics , 1979 , 34 : 1 -71 .
[本文引用: 2]
[18]
TOBERER E S , ZEVALKINK A , SNYDER G J .Phonon engineering through crystal chemistry
. Journal of Materials Chemistry , 2011 , 21 (40 ): 15843 -15852 .
[本文引用: 1]
[19]
WANG Y , HU Y J , FIRDOSY S A , et al . First-principles calculations of lattice dynamics and thermodynamic properties for Yb14 MnSb11
. Journal of Applied Physics , 2018 , 123 (4 ): 045102 -1-10 .
[本文引用: 1]
[20]
BROWN S R , KAUZLARICH S M , GASCOIN F , et al .Yb14 MnSb11 : new high efficiency thermoelectric material for power generation
. Chemistry of Materials , 2006 , 18 (7 ): 1873 -1877 .
[本文引用: 1]
[21]
CHEN Z , LI D C , DENG S P , et al .Thermoelectric properties and thermal stability of Bi-doped PbTe single crystal
. Physica B: Condensed Matter , 2018 , 538 : 154 -159 .
[本文引用: 1]
[22]
YING P J , LI X , WANG Y C , et al . Hierarchical chemical bonds contributing to the intrinsically low thermal conductivity in α-MgAgSb thermoelectric materials
. Advanced Functional Materials , 2016 , 27 (1 ): 1604145 -1-8 .
[本文引用: 3]
[23]
LI J Q , LI L F , SONG S H , et al .High thermoelectric performance of GeTe-Ag8 GeTe6 eutectic composites
. Journal of Alloys and Compounds , 2013 , 565 : 144 -147 .
[本文引用: 1]
[24]
FUJIKANE M , KUROSAKI K , MUTA H , et al .Thermoelectric properties of Ag8 GeTe6
. Journal of Alloys and Compounds , 2005 , 396 (1 ): 280 -282 .
[本文引用: 1]
[25]
HOU Y H , CHANG L S .Optimization on the figure-of-merit of p-type Ba8 Ga16 Ge30 type-I clathrate grown via the Bridgman method by fine tuning Ga/Ge ratio
. Journal of Alloys and Compounds , 2018 , 736 : 108 -114 .
[本文引用: 1]
[26]
YAN X L , IKEDA M , ZHANG L , et al .Suppression of vacancies boosts thermoelectric performance in type-I clathrates
. Journal of Materials Chemistry A , 2018 , 6 (4 ): 1727 -1735 .
[本文引用: 1]
[27]
BEEKMAN M , VANDERGRAAFF A .High-temperature thermal conductivity of thermoelectric clathrates
. Journal of Applied Physics , 2017 , 121 (20 ): 205105 .
[本文引用: 1]
[28]
GONZALEZ-ROMERO R L , ANTONELLI A . Estimating carrier relaxation times in the Ba8 Ga16 Ge30 clathrate in the extrinsic regime
. Physical Chemistry Chemical Physics , 2017 , 19 (4 ): 3010 -3018 .
[本文引用: 1]
[29]
CHRISTENSEN M , ABRAHAMSEN A B , CHRISTENSEN N B , et al .Avoided crossing of rattler modes in thermoelectric materials
. Nature Materials , 2008 , 7 : 811 -815 .
[本文引用: 4]
[30]
CALLAWAY J .Model for lattice thermal conductivity at low temperatures
. Physical Review , 1959 , 113 (4 ): 1046 -1051 .
[本文引用: 1]
[31]
CHUNG J D , MCGAUGHEY A J H , KAVIANY M . Role of phonon dispersion in lattice thermal conductivity modeling
. Journal of Heat Transfer , 2004 , 126 (3 ): 376 -380 .
[本文引用: 1]
[32]
SLACK G A , GALGINAITIS S .Thermal conductivity and phonon scattering by magnetic impurities in CdTe
. Physical Review , 1964 , 133 (1A ): A253 -A268 .
[本文引用: 1]
[33]
HEREMANS J P .Thermoelectric materials: the anharmonicity blacksmith
. Nature Physics , 2015 , 11 : 990 -991 .
[本文引用: 1]
[34]
QIU W J , XI L L , WEI P , et al .Part-crystalline part-liquid state and rattling-like thermal damping in materials with chemical-bond hierarchy
. Proceedings of the National Academy of Sciences , 2014 , 111 (42 ): 15031 -15035 .
[本文引用: 1]
[35]
TYAGI K , GAHTORI B , BATHULA S , et al .Thermoelectric properties of Cu3 SbSe3 with intrinsically ultralow lattice thermal conductivity
. Journal of Materials Chemistry A , 2014 ,2 (38 ): 15829 -15835 .
[本文引用: 1]
[36]
DELAIRE O , MA J , MARTY K , et al .Giant anharmonic phonon scattering in PbTe
. Nature Materials , 2011 , 10 : 614 -619 .
[本文引用: 1]
[37]
LEE S , ESFARJANI K , LUO T F , et al .Resonant bonding leads to low lattice thermal conductivity
. Nature Communications , 2014 , 5 : 3525 -1-8 .
[本文引用: 1]
[38]
MURPHY R M , MURRAY ÉD , FAHY S , et al . Ferroelectric phase transition and the lattice thermal conductivity of Pb1-x Gex Te alloys
. Physical Review B , 2017 , 95 (14 ): 144302 -1-8 .
[本文引用: 1]
[39]
CHEN Y , HE B , ZHU T J , et al .Thermoelectric properties of non-stoichiometric AgSbTe2 based alloys with a small amount of GeTe addition
. Journal of Physics D: Applied Physics , 2012 , 45 (11 ): 115302 .
[本文引用: 2]
[40]
ZHANG Y , KE X Z , CHEN C F , et al . Thermodynamic properties of PbTe, PbSe,PbS: first-principles study
. Physical Review B , 2009 , 80 (2 ): 024304 -1-12 .
[41]
MILLER A J , SAUNDERS G A , YOGURTCU Y K .Pressure dependences of the elastic constants of PbTe, SnTe and Ge0.08 Sn0.92 Te
. Journal of Physics C: Solid State Physics , 1981 , 14 (11 ): 1569 -1584 .
[42]
ALEXANDER F Z , VOLKER L D , RALF P S , et al .Ab initio lattice dynamics and thermochemistry of layered bismuth telluride (Bi2 Te3 )
. Journal of Physics: Condensed Matter , 2016 , 28 (11 ): 115401 -1-7 .
[43]
RINCÓN C , VALERI-GIL M L , WASIM S M . Room-temperature thermal conductivity and grüneisen parameter of the I-III-VI2 chalcopyrite compounds
. Physica Status Solidi (A) , 1995 , 147 (2 ): 409 -415 .
[44]
WANG H F , JIN H , CHU W G , et al .Thermodynamic properties of Mg2 Si and Mg2 Ge investigated by first principles method
. Journal of Alloys and Compounds , 2010 , 499 (1 ): 68 -74 .
[45]
BERNSTEIN N , FELDMAN J L , SINGH D J . Calculations of dynamical properties of skutterudites: thermal conductivity, thermal expansivity,atomic mean-square displacement
. Physical Review B , 2010 , 81 (13 ): 134301 -1-11 .
[46]
BHASKAR A , PAI Y H , WU W M , et al .Low thermal conductivity and enhanced thermoelectric performance of nanostructured Al-doped ZnTe
. Ceramics International , 2016 ,42 (1, Part B ): 1070 -1076 .
[47]
KATRE A , TOGO A , TANAKA I , et al . First principles study of thermal conductivity cross-over in nanostructured zinc-chalcogenides
.Journal of Applied Physics , 2015 , 117 (4 ): 045102 -1-6 .
[48]
NUNES O A C . Piezoelectric surface acoustical phonon amplification in graphene on a GaAs substrate
. Journal of Applied Physics , 2014 , 115 (23 ): 233715 -1-7 .
[49]
REEBER R R .Thermal expansion of some group IV elements and ZnS
. Physica Status Solidi (a) , 1975 , 32 (1 ): 321 -331 .
[50]
QIN L , TEO K L , SHEN Z X , et al . Raman scattering of Ge/Si dot superlattices under hydrostatic pressure
. Physical Review B , 2001 , 64 (7 ): 075312 -1-5 .
[51]
SILPAWILAWAN W , KUROSAKI K , OHISHI Y , et al .FeNbSb p-type half-Heusler compound: beneficial thermomechanical properties and high-temperature stability for thermoelectrics
. Journal of Materials Chemistry C , 2017 , 5 (27 ): 6677 -6681 .
[52]
BOSONI E , SOSSO G C , BERNASCONI M .Grüneisen parameters and thermal conductivity in the phase change compound GeTe
. Journal of Computational Electronics ,2017 , 16 (4 ): 997 -1002 .
[53]
LI W , LIN S , GE B , et al . Low sound velocity contributing to the high thermoelectric performance of Ag8 SnSe6
. Advanced Science , 2016 , 3 (11 ): 1600196 -1-7 .
[本文引用: 2]
[54]
CALLAWAY J , VON B , HANS C .Effect of point imperfections on lattice thermal conductivity
. Physical Review , 1960 , 120 (4 ): 1149 -1154 .
[本文引用: 1]
[55]
HAO F , QIU P F , TANG Y S , et al .High efficiency Bi2 Te3 -based materials and devices for thermoelectric power generation between 100 and 300 ℃
. Energy & Environmental Science , 2016 , 9 (10 ): 3120 -3127 .
[本文引用: 1]
[56]
HU L P , ZHU T J , LIU X H , et al .Point defect engineering of high-performance bismuth-telluride-based thermoelectric materials
. Advanced Functional Materials , 2014 , 24 (33 ): 5211 -5218 .
[本文引用: 1]
[57]
PEI Y Z , SHI X Y , LALONDA A , et al .Convergence of electronic bands for high performance bulk thermoelectrics
. Nature , 2011 , 473 (7345 ): 66 -69 .
[本文引用: 1]
[58]
QIN Y T , QIU P F , SHI X , et al .Thermoelectric properties for CuInTe2-x Sx (x = 0, 0.05, 0.1, 0.15) solid solution
. Journal of Inorganic Materials , 2017 , 32 (11 ): 1171 -1176 .
[本文引用: 1]
[59]
JIANG G Y , HE J , ZHU T J , et al .High performance Mg2 (Si,Sn) solid solutions: a point defect chemistry approach to enhancing thermoelectric properties
. Advanced Functional Materials , 2014 , 24 (24 ): 3776 -3781 .
[本文引用: 1]
[60]
LIU X H , ZHU T J , WANG H , et al .Low electron scattering potentials in high performance Mg2 Si0.45 Sn0.55 based thermoelectric solid solutions with band convergence
. Advanced Energy Materials , 2013 , 3 (9 ): 1238 -1244 .
[本文引用: 1]
[61]
TRIPATHI M N , BHANDARI C M .High-temperature thermoelectric performance of Si-Ge alloys
. Journal of Physics: Condensed Matter , 2003 , 15 (31 ): 5359 -5370 .
[本文引用: 1]
[62]
FU C G , ZHU T J , PEI Y Z , et al . High band degeneracy contributes to high thermoelectric performance in p-type half-Heusler compounds
. Advanced Energy Materials , 2014 , 4 (18 ): 1400600 -1-6 .
[本文引用: 1]
[63]
YU J J , XIA K Y , ZHAO X B , et al .High performance p-type half-Heusler thermoelectric materials
. Journal of Physics D: Applied Physics , 2018 , 51 (11 ): 113001 .
[本文引用: 1]
[64]
SHEN J J , FU C G , LIU Y T , et al .Enhancing thermoelectric performance of FeNbSb half-Heusler compound by Hf-Ti dual-doping
. Energy Storage Materials , 2018 , 10 : 69 -74 .
[本文引用: 1]
[65]
ZHU T J , LIU Y T , FU C G , et al . Compromise and synergy in high-efficiency thermoelectric materials
. Advanced Materials , 2017 , 29 (14 ): 1605884 -1-26 .
[本文引用: 1]
[66]
FU C G , WU H J , LIU Y T , et al . Enhancing the figure of merit of heavy-band thermoelectric materials through hierarchical phonon scattering
. Advanced Science , 2016 , 3 (8 ): 1600035 -1-6 .
[本文引用: 1]
[67]
ZHU T J , FU C G , XIE H H , et al . High efficiency half-Heusler thermoelectric materials for energy harvesting
. Advanced Energy Materials , 2015 , 5 (19 ): 1500588 -1-7 .
[本文引用: 1]
[68]
FU C G , BAI S Q , LIU Y T , et al .Realizing high figure of merit in heavy-band p-type half-Heusler thermoelectric materials
. Nat. Commun. , 2015 , 6 : 8144 .
[本文引用: 1]
[69]
XIE H H , WANG H , PEI Y Z , et al .Beneficial contribution of alloy disorder to electron and phonon transport in half-heusler thermoelectric materials
. Advanced Functional Materials , 2013 , 23 (41 ): 5123 -5130 .
[本文引用: 1]
[70]
YU J J , FU C G , LIU Y T , et al . Unique role of refractory ta alloying in enhancing the figure of merit of NbFeSb thermoelectric materials
. Advanced Energy Materials , 2018 , 8 (1 ): 1701313 -1-8 .
[本文引用: 3]
[71]
XIA K Y , LIU Y T , ANAND S , et al . Enhanced thermoelectric performance in 18-electron Nb0.8 CoSb half-heusler compound with intrinsic Nb vacancies
. Advanced Functional Materials , 2018 , 28 (9 ): 1705845 -1-7 .
[本文引用: 1]
[72]
LI W , LIN S Q , ZHANG X Y , et al .Thermoelectric properties of Cu2 SnSe4 with intrinsic vacancy
. Chemistry of Materials , 2016 , 28 (17 ): 6227 -6232 .
[本文引用: 1]
[73]
KLEMENS P G .The scattering of low-frequency lattice waves by static imperfections. Proceedings of the Physical Society
. Section A , 1955 , 68 (12 ): 1113 -1128 .
[本文引用: 1]
[74]
ZHANG S N , HE J , JI X H , et al .Effects of ball-milling atmosphere on the thermoelectric properties of TAGS-85 compounds
. Journal of Electronic Materials , 2009 , 38 (7 ): 1142 -1147 .
[本文引用: 1]
[75]
LI Y , MEI D Q , WANG H , et al .Reduced lattice thermal conductivity in nanograined Na-doped PbTe alloys by ball milling and semisolid powder processing
. Materials Letters , 2015 , 140 : 103 -106 .
[本文引用: 1]
[76]
HONG M , CHEN Z G , ZOU J . Fundamental and progress of Bi2 Te3 -based thermoelectric materials
. Chinese Physics B , 2018 , 27 (4 ): 048403 -1-46 .
[本文引用: 1]
[77]
XIE J , OHISHI Y , ICHIKAWA S , et al . Naturally decorated dislocations capable of enhancing multiple-phonon scattering in Si-based thermoelectric composites
. Journal of Applied Physics , 2018 , 123 (11 ): 115114 -1-8 .
[本文引用: 1]
[78]
YU Y , HE D S , ZHANG S Y , et al .Simultaneous optimization of electrical and thermal transport properties of Bi0.5 Sb1.5 Te3 thermoelectric alloy by twin boundary engineering
. Nano Energy , 2017 , 37 : 203 -213 .
[本文引用: 1]
[79]
XIE W J , HE J , KANG H J , et al .Identifying the specific nanostructures responsible for the high thermoelectric performance of (Bi,Sb)2 Te3 nanocomposites
. Nano Letters , 2010 , 10 (9 ): 3283 -3289 .
[本文引用: 2]
[80]
YANG X Y , WU J H , REN D D , et al .Microstructure and thermoelectric properties of p-type Si80 Ge20 B0.6 -SiC nanocomposite
. Journal of Inorganic Materials , 2016 , 31 (9 ): 997 -1003 .
[本文引用: 1]
[81]
YU C , XIE H H , FU C G , et al .High performance half-Heusler thermoelectric materials with refined grains and nanoscale precipitates
. Journal of Materials Research , 2012 , 27 (19 ): 2457 -2465 .
[本文引用: 1]
[82]
HU L P , WU H J , ZHU T J , et al . Tuning multiscale microstructures to enhance thermoelectric performance of n-type bismuth-telluride-based solid solutions
. Advanced Energy Materials , 2015 , 5 (17 ): 1500411 -1-13 .
[本文引用: 1]
[83]
HE J Q , GIRARD S N , KANATZIDIS M G , et al .Microstructure-lattice thermal conductivity correlation in nanostructured PbTe0.7 S0.3 thermoelectric materials
. Advanced Functional Materials , 2010 , 20 (5 ): 764 -772 .
[本文引用: 1]
[84]
XIN J Z , WU H J , LIU X H , et al .Mg vacancy and dislocation strains as strong phonon scatterers in Mg2 Si1-x Sbx thermoelectric materials
. Nano Energy , 2017 , 34 : 428 -436 .
[本文引用: 3]
[85]
SHI X , BAI S Q , XI L L , et al .Realization of high thermoelectric performance in n-type partially filled skutterudites
. Journal of Materials Research , 2011 , 26 (15 ): 1745 -1754 .
[本文引用: 1]
[86]
KEPPENS V , MANDRUS D , SALES B C , et al .Localized vibrational modes in metallic solids
. Nature , 1998 , 395 : 876 -878 .
[本文引用: 1]
[87]
DUAN B , YANG J , SALVADOR J R , et al .Electronegative guests in CoSb3
. Energy & Environmental Science , 2016 , 9 (6 ): 2090 -2098 .
[本文引用: 1]
[88]
SAMANTA M , PAL K , PAL P , et al .Localized vibrations of bi bilayer leading to ultralow lattice thermal conductivity and high thermoelectric performance in weak topological insulator n-type BiSe
. Journal of the American Chemical Society , 2018 , 140 (17 ): 5866 -5872 .
[本文引用: 3]
[89]
UHER C , YANG J , HU S , et al .Transport properties of pure and doped MNiSn (M=Zr, Hf)
. Physical Review B , 1999 , 59 (13 ): 8615 -8621 .
[本文引用: 1]
[90]
LI J F , LIU W S , ZHAO L D , et al .High-performance nanostructured thermoelectric materials
. NPG Asia Materials , 2010 , 2 (4 ): 152 -158 .
[本文引用: 1]
[91]
FANG T , ZHAO X B , ZHU T J .Band Structures and transport properties of high-performance half-heusler thermoelectric materials by first principles
. Materials , 2018 , 11 (5 ): 847 .
[本文引用: 1]
[92]
TANG Y L , LI X S , MARTIN L H J, et al. Impact of Ni content on the thermoelectric properties of half-Heusler TiNiSn
. Energy & Environmental Science , 2018 , 11 (2 ): 311 -320 .
[本文引用: 1]
[93]
ZHU T J , YU G T , XU J , et al .The role of electron-phonon interaction in heavily doped fine-grained bulk silicons as thermoelectric materials
. Advanced Electronic Materials , 2016 , 2 (8 ): 1600171 .
[本文引用: 3]
[94]
ABELES B .Lattice thermal conductivity of disordered semiconductor alloys at high temperatures
. Physical Review , 1963 , 131 (5 ): 1906 -1911 .
[本文引用: 1]
[95]
CLARKE D R .Materials selection guidelines for low thermal conductivity thermal barrier coatings
.Surface and Coatings Technology , 2003 , 163 : 67 -74 .
[本文引用: 1]
[96]
CAHILL D G , POHL R O .Heat flow and lattice vibrations in glasses
. Solid State Communications , 1989 , 70 (10 ): 927 -930 .
[本文引用: 1]
[97]
CAHILL D G , WATSON S K , POHL R O .Lower limit to the thermal conductivity of disordered crystals
. Physical Review B , 1992 , 46 (10 ): 6131 -6140 .
[本文引用: 1]
[98]
ALLEN P B , DU X Q , MIHALY L , et al .Thermal conductiity of insulating Bi2 Sr2 YCu2 O8 and superconducting Bi2 Sr2 CaCu2 O8 : failure of the phonon-gas picture
. Physical Rview B , 1994 , 49 (13 ): 9073 -9079 .
[本文引用: 1]
[99]
FELDMAN J L , ALLEN P B , BICKHAM S R .Numerical study of low-frequency vibrations in amorphous silicon
. Physical Review B , 1999 , 59 (5 ): 3551 -3559 .
[本文引用: 1]
[100]
AGNE M T , HANUS R , SNYDER G J .Minimum thermal conductivity in the context of diffuson-mediated thermal transport
.Energy & Environmental Science , 2018 , 11 (3 ): 609 -616 .
[本文引用: 1]
[101]
POHL R O .Lattice vibrations of glasses. Journal of
Non-Crystalline Solids , 2006 , 352 (32 ): 3363 -3367 .
[本文引用: 1]
[102]
FU C G , ZHU T J , LIU Y T , et al .Band engineering of high performance p-type FeNbSb based half-Heusler thermoelectric materials for figure of merit zT>1
. Energy & Environmental Science , 2015 , 8 (1 ): 216 -220 .
[本文引用: 1]
[103]
WEI P , YANG J , GUO L , et al .Minimum thermal conductivity in weak topological insulators with bismuth-based stack structure
. Advanced Functional Materials , 2016 , 26 (29 ): 5360 -5367 .
[本文引用: 1]
[104]
RASCHE B , ISAEVA A , RUCK M , et al .Stacked topological insulator built from bismuth-based graphene sheet analogues
. Nature Materials , 2013 , 12 (5 ): 422 -425 .
[本文引用: 1]
[105]
PAULY C , RASCHE B , KOEPERNIK K , et al .Subnanometre-wide electron channels protected by topology
. Nature Physics , 2015 , 11 (4 ): 338 -343 .
[本文引用: 1]
Cooling, heating, generating power, and recovering waste heat with thermoelectric systems
1
2008
... 热电材料是一种可以实现热能与电能直接相互转化的能源材料, 可用于废热发电、制冷等领域[1 ] .相比于传统热机或者压缩机, 热电材料制成的器件具有结构简单、空间占用率小、无机械运动等优点[2 ] .热电转化效率低是目前制约热电器件广泛应用的主要因素.热电材料的转化效率主要取决于材料的热电性能, 衡量热电性能高低的指标称为热电优值, $ZT=\frac{{{S}^{2}}\sigma }{\kappa }T$, 其中T 为绝对温度, S 为塞贝克系数, σ 为电导率, κ 为热导率.因此高热电优值成为提高热电转化效率的关键.但是, 影响热电优值的三个参数通过载流子浓度相互耦合[3 ] , 获得高热电优值面临诸多挑战. ...
Complex thermoelectric materials
1
2008
... 热电材料是一种可以实现热能与电能直接相互转化的能源材料, 可用于废热发电、制冷等领域[1 ] .相比于传统热机或者压缩机, 热电材料制成的器件具有结构简单、空间占用率小、无机械运动等优点[2 ] .热电转化效率低是目前制约热电器件广泛应用的主要因素.热电材料的转化效率主要取决于材料的热电性能, 衡量热电性能高低的指标称为热电优值, $ZT=\frac{{{S}^{2}}\sigma }{\kappa }T$, 其中T 为绝对温度, S 为塞贝克系数, σ 为电导率, κ 为热导率.因此高热电优值成为提高热电转化效率的关键.但是, 影响热电优值的三个参数通过载流子浓度相互耦合[3 ] , 获得高热电优值面临诸多挑战. ...
Valleytronics in thermoelectric materials
1
2018
... 热电材料是一种可以实现热能与电能直接相互转化的能源材料, 可用于废热发电、制冷等领域[1 ] .相比于传统热机或者压缩机, 热电材料制成的器件具有结构简单、空间占用率小、无机械运动等优点[2 ] .热电转化效率低是目前制约热电器件广泛应用的主要因素.热电材料的转化效率主要取决于材料的热电性能, 衡量热电性能高低的指标称为热电优值, $ZT=\frac{{{S}^{2}}\sigma }{\kappa }T$, 其中T 为绝对温度, S 为塞贝克系数, σ 为电导率, κ 为热导率.因此高热电优值成为提高热电转化效率的关键.但是, 影响热电优值的三个参数通过载流子浓度相互耦合[3 ] , 获得高热电优值面临诸多挑战. ...
1
2017
... 热电优值优化的常用方法是在优化载流子浓度成分附近尽可能降低材料热导率.热导率κ 又分为电子热导率κ e 和晶格热导率κ L .电子热导率服从魏德曼-弗兰茨定律${{\kappa }_{\text{e}}}=L\sigma T $, 其中L 为洛伦茨常数.可以看出, 电子热导率与电导率呈正比关系.晶格热导率是一个可以相对独立调控的参数, 因而, 降低晶格热导率成为优化热电优值的有效手段[4 ,5 ,6 ,7 ,8 ,9 ] .基于理想气体模型假设, 晶体中的晶格热导率可表示为${{\kappa }_{\text{L}}}=\frac{1}{3}{{C}_{\text{V}}}{{v}_{\text{g}}}l=\frac{1}{3}{{C}_{\text{V}}}v_{\text{g}}^{2}\tau $, 其中C V 为定容热容, v g 为声子振动模的群速度, l 为平均自由程, τ 为声子弛豫时间.降低任意一个参数均可以降低晶格热导率.本文首先从热容、声速及弛豫时间三个角度阐述降低热导率的策略, 然后对最小晶格热导率的计算模型进行简单介绍, 最后总结获得低热导率热电材料的有效途径与方法. ...
High-performance bulk thermoelectrics with all-scale hierarchical architectures
1
2012
... 热电优值优化的常用方法是在优化载流子浓度成分附近尽可能降低材料热导率.热导率κ 又分为电子热导率κ e 和晶格热导率κ L .电子热导率服从魏德曼-弗兰茨定律${{\kappa }_{\text{e}}}=L\sigma T $, 其中L 为洛伦茨常数.可以看出, 电子热导率与电导率呈正比关系.晶格热导率是一个可以相对独立调控的参数, 因而, 降低晶格热导率成为优化热电优值的有效手段[4 ,5 ,6 ,7 ,8 ,9 ] .基于理想气体模型假设, 晶体中的晶格热导率可表示为${{\kappa }_{\text{L}}}=\frac{1}{3}{{C}_{\text{V}}}{{v}_{\text{g}}}l=\frac{1}{3}{{C}_{\text{V}}}v_{\text{g}}^{2}\tau $, 其中C V 为定容热容, v g 为声子振动模的群速度, l 为平均自由程, τ 为声子弛豫时间.降低任意一个参数均可以降低晶格热导率.本文首先从热容、声速及弛豫时间三个角度阐述降低热导率的策略, 然后对最小晶格热导率的计算模型进行简单介绍, 最后总结获得低热导率热电材料的有效途径与方法. ...
Ultralow thermal conductivity and high thermoelectric figure of merit in SnSe crystals
3
2014
... 热电优值优化的常用方法是在优化载流子浓度成分附近尽可能降低材料热导率.热导率κ 又分为电子热导率κ e 和晶格热导率κ L .电子热导率服从魏德曼-弗兰茨定律${{\kappa }_{\text{e}}}=L\sigma T $, 其中L 为洛伦茨常数.可以看出, 电子热导率与电导率呈正比关系.晶格热导率是一个可以相对独立调控的参数, 因而, 降低晶格热导率成为优化热电优值的有效手段[4 ,5 ,6 ,7 ,8 ,9 ] .基于理想气体模型假设, 晶体中的晶格热导率可表示为${{\kappa }_{\text{L}}}=\frac{1}{3}{{C}_{\text{V}}}{{v}_{\text{g}}}l=\frac{1}{3}{{C}_{\text{V}}}v_{\text{g}}^{2}\tau $, 其中C V 为定容热容, v g 为声子振动模的群速度, l 为平均自由程, τ 为声子弛豫时间.降低任意一个参数均可以降低晶格热导率.本文首先从热容、声速及弛豫时间三个角度阐述降低热导率的策略, 然后对最小晶格热导率的计算模型进行简单介绍, 最后总结获得低热导率热电材料的有效途径与方法. ...
... 格林内森常数与室温晶格热导率的关系图[6 , 22 , 39 -53 ] ...
... Grüneisen parameter versus room temperature lattice thermal conductivity[6 , 22 , 39 -53 ] ...
Lattice dislocations enhancing thermoelectric PbTe in addition to band convergence
2
2017
... 热电优值优化的常用方法是在优化载流子浓度成分附近尽可能降低材料热导率.热导率κ 又分为电子热导率κ e 和晶格热导率κ L .电子热导率服从魏德曼-弗兰茨定律${{\kappa }_{\text{e}}}=L\sigma T $, 其中L 为洛伦茨常数.可以看出, 电子热导率与电导率呈正比关系.晶格热导率是一个可以相对独立调控的参数, 因而, 降低晶格热导率成为优化热电优值的有效手段[4 ,5 ,6 ,7 ,8 ,9 ] .基于理想气体模型假设, 晶体中的晶格热导率可表示为${{\kappa }_{\text{L}}}=\frac{1}{3}{{C}_{\text{V}}}{{v}_{\text{g}}}l=\frac{1}{3}{{C}_{\text{V}}}v_{\text{g}}^{2}\tau $, 其中C V 为定容热容, v g 为声子振动模的群速度, l 为平均自由程, τ 为声子弛豫时间.降低任意一个参数均可以降低晶格热导率.本文首先从热容、声速及弛豫时间三个角度阐述降低热导率的策略, 然后对最小晶格热导率的计算模型进行简单介绍, 最后总结获得低热导率热电材料的有效途径与方法. ...
... 此外, 位错还可以通过自身空位的聚集产生.如图5 所示, 在Mg2 Si1- x Sbx 材料[84 ] 中, Sb的高剂量合金化产生大量Mg空位, 使得空位浓度远高于平衡空位密度, 多余的Mg空位自发地发生聚集从而形成位错.在Mg2 Si0.5 Sb0.5 中, 位错密度高达2.8×1016 m-2 .图5 (b)为Sn及Sb元素合金化对Mg2 Si晶格热导率的不同影响.由于Sn元素的加入不会增加Mg空位的浓度从而产生位错, 晶格热导率的降低主要来自点缺陷散射的作用.而Sb合金化不仅能增强点缺陷散射, 而且能增强位错散射, 因此具有更低的晶格热导率.此外, 在Nay Eu0.03 Pb0.97- y Te体系[7 ] 中也观察到类似的现象.研究表明随着Na掺杂量的增加, 体系中的主要微观缺陷由点缺陷逐步过渡到位错及纳米颗粒.位错散射使PbTe的晶格热导率下降到0.4 W·m-1 ·K-1 以下. ...
Dense dislocation arrays embedded in grain boundaries for high-performance bulk thermoelectrics
2
2015
... 热电优值优化的常用方法是在优化载流子浓度成分附近尽可能降低材料热导率.热导率κ 又分为电子热导率κ e 和晶格热导率κ L .电子热导率服从魏德曼-弗兰茨定律${{\kappa }_{\text{e}}}=L\sigma T $, 其中L 为洛伦茨常数.可以看出, 电子热导率与电导率呈正比关系.晶格热导率是一个可以相对独立调控的参数, 因而, 降低晶格热导率成为优化热电优值的有效手段[4 ,5 ,6 ,7 ,8 ,9 ] .基于理想气体模型假设, 晶体中的晶格热导率可表示为${{\kappa }_{\text{L}}}=\frac{1}{3}{{C}_{\text{V}}}{{v}_{\text{g}}}l=\frac{1}{3}{{C}_{\text{V}}}v_{\text{g}}^{2}\tau $, 其中C V 为定容热容, v g 为声子振动模的群速度, l 为平均自由程, τ 为声子弛豫时间.降低任意一个参数均可以降低晶格热导率.本文首先从热容、声速及弛豫时间三个角度阐述降低热导率的策略, 然后对最小晶格热导率的计算模型进行简单介绍, 最后总结获得低热导率热电材料的有效途径与方法. ...
... 晶界散射及位错散射也是非常重要的降低晶格热导率的方法[73 ] .常用的增强晶界散射的手段有球磨[74 ,75 ] 和甩带[76 ,77 ,78 ,79 ] 两种方法, 广泛应用于Bi2 Te3 [79 ] 、SiGe[80 ] 以及Half-Heusler合金[81 ] 等热电材料中.对于位错散射, 有报道称在Bi0.5 Sb0.15 Te3 中通过过量Te液相烧结的手段可以增加晶界位错阵列[8 ] .另外, 通过向材料中添加第二相的方式也能增加位错密度[82 ] , 这一现象在PbTe-PbS体系中得到了印证[83 ] . ...
Manipulation of phonon transport in thermoelectrics
1
2018
... 热电优值优化的常用方法是在优化载流子浓度成分附近尽可能降低材料热导率.热导率κ 又分为电子热导率κ e 和晶格热导率κ L .电子热导率服从魏德曼-弗兰茨定律${{\kappa }_{\text{e}}}=L\sigma T $, 其中L 为洛伦茨常数.可以看出, 电子热导率与电导率呈正比关系.晶格热导率是一个可以相对独立调控的参数, 因而, 降低晶格热导率成为优化热电优值的有效手段[4 ,5 ,6 ,7 ,8 ,9 ] .基于理想气体模型假设, 晶体中的晶格热导率可表示为${{\kappa }_{\text{L}}}=\frac{1}{3}{{C}_{\text{V}}}{{v}_{\text{g}}}l=\frac{1}{3}{{C}_{\text{V}}}v_{\text{g}}^{2}\tau $, 其中C V 为定容热容, v g 为声子振动模的群速度, l 为平均自由程, τ 为声子弛豫时间.降低任意一个参数均可以降低晶格热导率.本文首先从热容、声速及弛豫时间三个角度阐述降低热导率的策略, 然后对最小晶格热导率的计算模型进行简单介绍, 最后总结获得低热导率热电材料的有效途径与方法. ...
High thermoelectric performance in non-toxic earth-abundant copper sulfide
1
2014
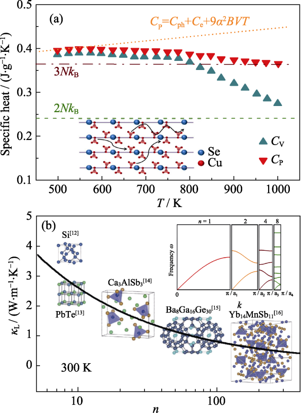
... 从晶格热导率的公式可以看出, 晶格热导率与定容热容C V 成正比, 所以降低C V 有利于获得低晶格热导率.杜隆-珀蒂定律指出构成固体的各个原子在高温时的热容趋近于极限值3k B , 其中k B 为玻尔兹曼常数, 因此通过改变热容来降低热导率通常比较困难.然而研究人员发现中温Cu2- x Se热电材料的热容随着温度升高会逐渐减小[10 ,11 ] .如图1 (a)所示, 固体的C V 为3Nk B , N 为总原子数.而在液体中, 大部分横向振动波无法传递, C V 减小到2~2.5Nk B .随着温度升高, Cu2- x Se中Cu离子的高度离域性使材料在一定程度上表现出类液体的行为, 大大降低了横向声学波对热容的贡献, 使得Cu2- x Se在高温条件下的C V 接近2Nk B . ...
Copper ion liquid-like thermoelectrics
3
2012
... 从晶格热导率的公式可以看出, 晶格热导率与定容热容C V 成正比, 所以降低C V 有利于获得低晶格热导率.杜隆-珀蒂定律指出构成固体的各个原子在高温时的热容趋近于极限值3k B , 其中k B 为玻尔兹曼常数, 因此通过改变热容来降低热导率通常比较困难.然而研究人员发现中温Cu2- x Se热电材料的热容随着温度升高会逐渐减小[10 ,11 ] .如图1 (a)所示, 固体的C V 为3Nk B , N 为总原子数.而在液体中, 大部分横向振动波无法传递, C V 减小到2~2.5Nk B .随着温度升高, Cu2- x Se中Cu离子的高度离域性使材料在一定程度上表现出类液体的行为, 大大降低了横向声学波对热容的贡献, 使得Cu2- x Se在高温条件下的C V 接近2Nk B . ...
... (a) Cu2- x Se化合物的热容与温度关系图[11 ] 和(b) 室温晶格热导率与原胞中原子数关系[12 ,13 ,14 ,15 ,16 ] ...
... (a) Temperature dependence of the lattice thermal conductivity for Cu2- x Se[11 ] and (b) number of atoms in the primitive unit cell versus room temperature lattice thermal conductivity[12 ,13 ,14 ,15 ,16 ] ...
Thermoelectric properties of pressure-sintered Si0.8 Ge0.2 thermoelectric alloys
2
1991
... (a) Cu2- x Se化合物的热容与温度关系图[11 ] 和(b) 室温晶格热导率与原胞中原子数关系[12 ,13 ,14 ,15 ,16 ] ...
... (a) Temperature dependence of the lattice thermal conductivity for Cu2- x Se[11 ] and (b) number of atoms in the primitive unit cell versus room temperature lattice thermal conductivity[12 ,13 ,14 ,15 ,16 ] ...
High thermoelectric figure of merit in heavy hole dominated PbTe
2
2011
... (a) Cu2- x Se化合物的热容与温度关系图[11 ] 和(b) 室温晶格热导率与原胞中原子数关系[12 ,13 ,14 ,15 ,16 ] ...
... (a) Temperature dependence of the lattice thermal conductivity for Cu2- x Se[11 ] and (b) number of atoms in the primitive unit cell versus room temperature lattice thermal conductivity[12 ,13 ,14 ,15 ,16 ] ...
Ca3 AlSb3 : an inexpensive, non-toxic thermoelectric material for waste heat recovery
2
2011
... (a) Cu2- x Se化合物的热容与温度关系图[11 ] 和(b) 室温晶格热导率与原胞中原子数关系[12 ,13 ,14 ,15 ,16 ] ...
... (a) Temperature dependence of the lattice thermal conductivity for Cu2- x Se[11 ] and (b) number of atoms in the primitive unit cell versus room temperature lattice thermal conductivity[12 ,13 ,14 ,15 ,16 ] ...
Characterization and analysis of thermoelectric transport in n-type Ba8 Ga16-x Ge30+x
2
2009
... (a) Cu2- x Se化合物的热容与温度关系图[11 ] 和(b) 室温晶格热导率与原胞中原子数关系[12 ,13 ,14 ,15 ,16 ] ...
... (a) Temperature dependence of the lattice thermal conductivity for Cu2- x Se[11 ] and (b) number of atoms in the primitive unit cell versus room temperature lattice thermal conductivity[12 ,13 ,14 ,15 ,16 ] ...
Structure, heat capacity, and high-temperature thermal properties of Yb14 Mn1-x Alx Sb11
2
2009
... (a) Cu2- x Se化合物的热容与温度关系图[11 ] 和(b) 室温晶格热导率与原胞中原子数关系[12 ,13 ,14 ,15 ,16 ] ...
... (a) Temperature dependence of the lattice thermal conductivity for Cu2- x Se[11 ] and (b) number of atoms in the primitive unit cell versus room temperature lattice thermal conductivity[12 ,13 ,14 ,15 ,16 ] ...
The thermal conductivity of nonmetallic crystals
2
1979
... 根据德拜热容模型, 热导的贡献主要来自于声学波.这是由于光学波的波速趋近于0, 对热导率的贡献基本可以忽略[17 ] .对于多原子体系, 假设每个原胞中的原子数为n , 总原胞数为N , 则体系总的自由度为3nN .其中, 声学支有3N 个, 光学支有3(n -1)N 个[18 ] .根据能量均分原理可得, 声学支贡献的热容为C /n , 光学支为C (n -1)/n .因此, 原胞中原子数越多, 声学支对总热容的贡献越小, 越有利于获得低晶格热导率.这在许多具有复杂晶胞结构的热电材料中得到了印证(如图1 (b)所示).例如:Yb14 MnSb11 与PbTe具有相似的德拜温度, 平均原子质量, 热容及格林内森参数[19 ,20 ] , 但是由于Yb14 MnSb11 原胞中原子数为104, 而PbTe只有2, 使得Yb14 MnSb11 的室温晶格热导率仅有0.6 W·m-1 ·K-1 , 远低于PbTe的2 W·m-1 ·K-1[21 ] . ...
... 为了能够快速筛选具有低晶格热导率的热电材料, 采用合理模型预测理论最小晶格热导率是非常必要的.上文提到, 晶格热导率的表达式可近似为${{\kappa }_{\text{L}}}=\frac{1}{3}{{C}_{\text{V}}}{{v}_{\text{g}}}l$.由于一般热电材料达到最小晶格热导率时都已经高于德拜温度, 此时热容已经趋近于杜隆-珀蒂值3R .代入晶格热导率公式可得:${{\kappa }_{\text{L}}}=R{{v}_{\text{g}}}l$, 其中R 为理想气体常数.因此, 想要获得最小晶格热导率, 声速及平均自由程需要达到最小值.这里需要注意的是由于热容公式中只考虑了声学支对热导率的贡献, 造成理论结果低于实际情况[94 ] .由于平均声速可通过测试材料的弹性模量与密度获得, 因此如果知道最小声子平均自由程就可以计算材料的最小晶格热导率.Clarke等[95 ] 提出最小声子平均自由程等于原胞体积的三次方根, 此时最小晶格热导率的表达式如下:${{\kappa }_{\min }}=0.93{{n}^{2/3}}{{k}_{\text{B}}}\frac{1}{3}(2{{v}_{\text{S}}}+{{v}_{\text{P}}})$.其中, n 为原胞中原子数.Cahill等[96 ] 和Slack[17 ] 采用Einstein模型[97 ] 计算材料处于非晶态时的最小晶格热导率.但是, 在处理热容问题时, Einstein模型与实验结果之间存在较大偏离.为了避免Einstein热容的缺陷, Cahill在Einstein假设的基础上将若干个原子视为一个整体, 作为单个振子处理.这种处理方式保留了晶格的周期性特征.Cahill假设最小声子平均自由程为声子波长的一半. ...
Phonon engineering through crystal chemistry
1
2011
... 根据德拜热容模型, 热导的贡献主要来自于声学波.这是由于光学波的波速趋近于0, 对热导率的贡献基本可以忽略[17 ] .对于多原子体系, 假设每个原胞中的原子数为n , 总原胞数为N , 则体系总的自由度为3nN .其中, 声学支有3N 个, 光学支有3(n -1)N 个[18 ] .根据能量均分原理可得, 声学支贡献的热容为C /n , 光学支为C (n -1)/n .因此, 原胞中原子数越多, 声学支对总热容的贡献越小, 越有利于获得低晶格热导率.这在许多具有复杂晶胞结构的热电材料中得到了印证(如图1 (b)所示).例如:Yb14 MnSb11 与PbTe具有相似的德拜温度, 平均原子质量, 热容及格林内森参数[19 ,20 ] , 但是由于Yb14 MnSb11 原胞中原子数为104, 而PbTe只有2, 使得Yb14 MnSb11 的室温晶格热导率仅有0.6 W·m-1 ·K-1 , 远低于PbTe的2 W·m-1 ·K-1[21 ] . ...
First-principles calculations of lattice dynamics and thermodynamic properties for Yb14 MnSb11
1
2018
... 根据德拜热容模型, 热导的贡献主要来自于声学波.这是由于光学波的波速趋近于0, 对热导率的贡献基本可以忽略[17 ] .对于多原子体系, 假设每个原胞中的原子数为n , 总原胞数为N , 则体系总的自由度为3nN .其中, 声学支有3N 个, 光学支有3(n -1)N 个[18 ] .根据能量均分原理可得, 声学支贡献的热容为C /n , 光学支为C (n -1)/n .因此, 原胞中原子数越多, 声学支对总热容的贡献越小, 越有利于获得低晶格热导率.这在许多具有复杂晶胞结构的热电材料中得到了印证(如图1 (b)所示).例如:Yb14 MnSb11 与PbTe具有相似的德拜温度, 平均原子质量, 热容及格林内森参数[19 ,20 ] , 但是由于Yb14 MnSb11 原胞中原子数为104, 而PbTe只有2, 使得Yb14 MnSb11 的室温晶格热导率仅有0.6 W·m-1 ·K-1 , 远低于PbTe的2 W·m-1 ·K-1[21 ] . ...
Yb14 MnSb11 : new high efficiency thermoelectric material for power generation
1
2006
... 根据德拜热容模型, 热导的贡献主要来自于声学波.这是由于光学波的波速趋近于0, 对热导率的贡献基本可以忽略[17 ] .对于多原子体系, 假设每个原胞中的原子数为n , 总原胞数为N , 则体系总的自由度为3nN .其中, 声学支有3N 个, 光学支有3(n -1)N 个[18 ] .根据能量均分原理可得, 声学支贡献的热容为C /n , 光学支为C (n -1)/n .因此, 原胞中原子数越多, 声学支对总热容的贡献越小, 越有利于获得低晶格热导率.这在许多具有复杂晶胞结构的热电材料中得到了印证(如图1 (b)所示).例如:Yb14 MnSb11 与PbTe具有相似的德拜温度, 平均原子质量, 热容及格林内森参数[19 ,20 ] , 但是由于Yb14 MnSb11 原胞中原子数为104, 而PbTe只有2, 使得Yb14 MnSb11 的室温晶格热导率仅有0.6 W·m-1 ·K-1 , 远低于PbTe的2 W·m-1 ·K-1[21 ] . ...
Thermoelectric properties and thermal stability of Bi-doped PbTe single crystal
1
2018
... 根据德拜热容模型, 热导的贡献主要来自于声学波.这是由于光学波的波速趋近于0, 对热导率的贡献基本可以忽略[17 ] .对于多原子体系, 假设每个原胞中的原子数为n , 总原胞数为N , 则体系总的自由度为3nN .其中, 声学支有3N 个, 光学支有3(n -1)N 个[18 ] .根据能量均分原理可得, 声学支贡献的热容为C /n , 光学支为C (n -1)/n .因此, 原胞中原子数越多, 声学支对总热容的贡献越小, 越有利于获得低晶格热导率.这在许多具有复杂晶胞结构的热电材料中得到了印证(如图1 (b)所示).例如:Yb14 MnSb11 与PbTe具有相似的德拜温度, 平均原子质量, 热容及格林内森参数[19 ,20 ] , 但是由于Yb14 MnSb11 原胞中原子数为104, 而PbTe只有2, 使得Yb14 MnSb11 的室温晶格热导率仅有0.6 W·m-1 ·K-1 , 远低于PbTe的2 W·m-1 ·K-1[21 ] . ...
Hierarchical chemical bonds contributing to the intrinsically low thermal conductivity in α-MgAgSb thermoelectric materials
3
2016
... 在热导率公式中, v g 为声子的群速度, 可以根据声子谱中声学支的斜率得到.在实际研究中, 为了便于测量, 通常假设群速度v g 与固体声速v s 相等.研究表明具有弱化学键的化合物通常具有低声速,例如,在α -MgAgSb中由于Mg原子本身不存在d轨道,无法与近邻原子形成强d-d键, 导致Mg原子与Ag原子之间的共价键较弱, 晶格发生一定的扭曲[22 ] .这种弱键的存在使得α -MgAgSb的声速仅有1920 m/s.Ag8 GeTe6 等体系中也存在同样的现象[23 ,24 ] , 由于Ag原子与Te原子之间较弱的键合使得Ag8 GeTe6 声速低至1000~1500 m/s. ...
... 格林内森常数与室温晶格热导率的关系图[6 , 22 , 39 -53 ] ...
... Grüneisen parameter versus room temperature lattice thermal conductivity[6 , 22 , 39 -53 ] ...
High thermoelectric performance of GeTe-Ag8 GeTe6 eutectic composites
1
2013
... 在热导率公式中, v g 为声子的群速度, 可以根据声子谱中声学支的斜率得到.在实际研究中, 为了便于测量, 通常假设群速度v g 与固体声速v s 相等.研究表明具有弱化学键的化合物通常具有低声速,例如,在α -MgAgSb中由于Mg原子本身不存在d轨道,无法与近邻原子形成强d-d键, 导致Mg原子与Ag原子之间的共价键较弱, 晶格发生一定的扭曲[22 ] .这种弱键的存在使得α -MgAgSb的声速仅有1920 m/s.Ag8 GeTe6 等体系中也存在同样的现象[23 ,24 ] , 由于Ag原子与Te原子之间较弱的键合使得Ag8 GeTe6 声速低至1000~1500 m/s. ...
Thermoelectric properties of Ag8 GeTe6
1
2005
... 在热导率公式中, v g 为声子的群速度, 可以根据声子谱中声学支的斜率得到.在实际研究中, 为了便于测量, 通常假设群速度v g 与固体声速v s 相等.研究表明具有弱化学键的化合物通常具有低声速,例如,在α -MgAgSb中由于Mg原子本身不存在d轨道,无法与近邻原子形成强d-d键, 导致Mg原子与Ag原子之间的共价键较弱, 晶格发生一定的扭曲[22 ] .这种弱键的存在使得α -MgAgSb的声速仅有1920 m/s.Ag8 GeTe6 等体系中也存在同样的现象[23 ,24 ] , 由于Ag原子与Te原子之间较弱的键合使得Ag8 GeTe6 声速低至1000~1500 m/s. ...
Optimization on the figure-of-merit of p-type Ba8 Ga16 Ge30 type-I clathrate grown via the Bridgman method by fine tuning Ga/Ge ratio
1
2018
... 此外, 通过引入重原子的方式也能降低声速,比较典型的例子有笼式化合物及填充方钴矿[25 ,26 ,27 ,28 ] .如图2 (a)所示, 在Ba8 Ga16 Ge30 笼式化合物中, Ba原子占据由Ga原子及Ge原子构成的晶格间隙中.若将Ba原子单纯看作散射中心, 则理论预测的声子弛豫时间应为0.18ps.然而, 中子三轴光谱分析表明加入Ba原子仅仅使纵波弛豫时间τ L 由2.6 ps降为1.3 ps.因此, 低晶格热导率不能只归因于弛豫时间的降低, 声速的降低也起到了重要的作用.如图2 (b)和(c)所示, 在笼式结构中, 由于声学声子模与填充原子产生的低频光学支之间存在“避免交叉”现象, 使得声学支的频率进一步降低, 从而具有更低的声速[29 ] . ...
Suppression of vacancies boosts thermoelectric performance in type-I clathrates
1
2018
... 此外, 通过引入重原子的方式也能降低声速,比较典型的例子有笼式化合物及填充方钴矿[25 ,26 ,27 ,28 ] .如图2 (a)所示, 在Ba8 Ga16 Ge30 笼式化合物中, Ba原子占据由Ga原子及Ge原子构成的晶格间隙中.若将Ba原子单纯看作散射中心, 则理论预测的声子弛豫时间应为0.18ps.然而, 中子三轴光谱分析表明加入Ba原子仅仅使纵波弛豫时间τ L 由2.6 ps降为1.3 ps.因此, 低晶格热导率不能只归因于弛豫时间的降低, 声速的降低也起到了重要的作用.如图2 (b)和(c)所示, 在笼式结构中, 由于声学声子模与填充原子产生的低频光学支之间存在“避免交叉”现象, 使得声学支的频率进一步降低, 从而具有更低的声速[29 ] . ...
High-temperature thermal conductivity of thermoelectric clathrates
1
2017
... 此外, 通过引入重原子的方式也能降低声速,比较典型的例子有笼式化合物及填充方钴矿[25 ,26 ,27 ,28 ] .如图2 (a)所示, 在Ba8 Ga16 Ge30 笼式化合物中, Ba原子占据由Ga原子及Ge原子构成的晶格间隙中.若将Ba原子单纯看作散射中心, 则理论预测的声子弛豫时间应为0.18ps.然而, 中子三轴光谱分析表明加入Ba原子仅仅使纵波弛豫时间τ L 由2.6 ps降为1.3 ps.因此, 低晶格热导率不能只归因于弛豫时间的降低, 声速的降低也起到了重要的作用.如图2 (b)和(c)所示, 在笼式结构中, 由于声学声子模与填充原子产生的低频光学支之间存在“避免交叉”现象, 使得声学支的频率进一步降低, 从而具有更低的声速[29 ] . ...
Estimating carrier relaxation times in the Ba8 Ga16 Ge30 clathrate in the extrinsic regime
1
2017
... 此外, 通过引入重原子的方式也能降低声速,比较典型的例子有笼式化合物及填充方钴矿[25 ,26 ,27 ,28 ] .如图2 (a)所示, 在Ba8 Ga16 Ge30 笼式化合物中, Ba原子占据由Ga原子及Ge原子构成的晶格间隙中.若将Ba原子单纯看作散射中心, 则理论预测的声子弛豫时间应为0.18ps.然而, 中子三轴光谱分析表明加入Ba原子仅仅使纵波弛豫时间τ L 由2.6 ps降为1.3 ps.因此, 低晶格热导率不能只归因于弛豫时间的降低, 声速的降低也起到了重要的作用.如图2 (b)和(c)所示, 在笼式结构中, 由于声学声子模与填充原子产生的低频光学支之间存在“避免交叉”现象, 使得声学支的频率进一步降低, 从而具有更低的声速[29 ] . ...
Avoided crossing of rattler modes in thermoelectric materials
4
2008
... 此外, 通过引入重原子的方式也能降低声速,比较典型的例子有笼式化合物及填充方钴矿[25 ,26 ,27 ,28 ] .如图2 (a)所示, 在Ba8 Ga16 Ge30 笼式化合物中, Ba原子占据由Ga原子及Ge原子构成的晶格间隙中.若将Ba原子单纯看作散射中心, 则理论预测的声子弛豫时间应为0.18ps.然而, 中子三轴光谱分析表明加入Ba原子仅仅使纵波弛豫时间τ L 由2.6 ps降为1.3 ps.因此, 低晶格热导率不能只归因于弛豫时间的降低, 声速的降低也起到了重要的作用.如图2 (b)和(c)所示, 在笼式结构中, 由于声学声子模与填充原子产生的低频光学支之间存在“避免交叉”现象, 使得声学支的频率进一步降低, 从而具有更低的声速[29 ] . ...
... (a)Ba8 Ga16 Ge30 晶体结构示意图, (b)未填充及填充笼式结构的弹簧模型及(c)色散关系[29 ] ...
... (a) Schematic diagram of crystal structure for Ba8 Ga16 Ge30 , (b) a simple spring model and (c) the corresponding dispersion relation of filled and unfilled clathrate[29 ] describing interaction between the host cages with a spring constant K 1 and the guest atoms attached to the cages with a spring constant K 2 ...
... 除此之外, 共振散射一般出现在具有特殊晶体结构的热电材料中, 如笼式化合物及方钴矿等[29 , 85 -86 ] .通过加入填充原子, 可以引入特定频率的共振谱, 从而降低材料热导率.在S0.5 Co4 Sb10.5 Te1.5 中S作为填充原子, 可以在声子谱中引入一段频率较低的光学支, 与声学支发生光声耦合现象, 增强共振散射, 最终使得CoSb3 材料获得极低的晶格热导率[87 ] .另外, 最近的研究表明一些具有拓扑绝缘性的热电材料中也存在共振散射.如图6 所示, 在BiSe材料中额外的Bi2 原子层同样可以引起局域共振效应, 强烈的光声耦合显著降低了BiSe的晶格热导率, 使其室温晶格热导率仅为0.6 W•m-1 •K-1[88 ] . ...
Model for lattice thermal conductivity at low temperatures
1
1959
... 根据马希森定则, 如果材料中存在多种散射机制, 则声子的总弛豫时间可写成如下形式:${{\tau }^{-1}}=\tau {}_{\text{U}}^{-1}+\tau _{\text{PD}}^{-1}+\tau _{\text{B}}^{-1}+\tau _{\text{Str}}^{-1}+\tau _{\text{Res}}^{-1}+\tau _{\text{EP}}^{-1}+\cdots $, 其中${{\tau }_{\text{U}}}$、$\tau _{\text{PD}}^{{}}$、$\tau _{\text{B}}^{{}}$、$\tau _{\text{Str}}^{{}}$、$\tau _{\text{Res}}^{{}}$、$\tau _{\text{EP}}^{{}}$分别为U过程散射、点缺陷散射、晶界散射、位错散射、非磁性声子共振散射以及电声散射引起的弛豫时间.对于固体材料, 其内部的热传输声子分布在一个较宽的频率范围内, 因此要获得较低的晶格热导率, 则需要对不同频率的声子进行散射[30 ,31 ] . ...
Role of phonon dispersion in lattice thermal conductivity modeling
1
2004
... 根据马希森定则, 如果材料中存在多种散射机制, 则声子的总弛豫时间可写成如下形式:${{\tau }^{-1}}=\tau {}_{\text{U}}^{-1}+\tau _{\text{PD}}^{-1}+\tau _{\text{B}}^{-1}+\tau _{\text{Str}}^{-1}+\tau _{\text{Res}}^{-1}+\tau _{\text{EP}}^{-1}+\cdots $, 其中${{\tau }_{\text{U}}}$、$\tau _{\text{PD}}^{{}}$、$\tau _{\text{B}}^{{}}$、$\tau _{\text{Str}}^{{}}$、$\tau _{\text{Res}}^{{}}$、$\tau _{\text{EP}}^{{}}$分别为U过程散射、点缺陷散射、晶界散射、位错散射、非磁性声子共振散射以及电声散射引起的弛豫时间.对于固体材料, 其内部的热传输声子分布在一个较宽的频率范围内, 因此要获得较低的晶格热导率, 则需要对不同频率的声子进行散射[30 ,31 ] . ...
Thermal conductivity and phonon scattering by magnetic impurities in CdTe
1
1964
... U过程散射是材料固有的本征散射.在高温极限条件下, U过程散射是主要散射机制, 晶格热导率${{\kappa }_{\text{L}}}\propto 1/T$.U过程散射的强弱可通过Slack公式$\tau _{\text{U}}^{-1}\approx \frac{\hbar {{\gamma }^{2}}}{M{{v}^{2}}{{\theta }_{\text{D}}}}{{\omega }^{2}}T\exp (-{{\theta }_{\text{D}}}/3T)$[32 ] 判断, 式中γ 为格林内森常数, M 为平均原子质量, v 为声速, θ D 为德拜温度, ω 为声子频率.在这些参数中, 声速与德拜温度均与化学键强弱有关, 而格林内森常数则表征化学键的非谐性强弱[33 ] .格林内森常数越大, 则非谐作用越强, 晶格热导率越低(如图3 所示).研究表明, 具有高格林内森常数的材料一般具有以下两个特征:晶体非对称性和存在光声耦合作用.Cu3 SbSe3 中Sb原子具有孤对电子, 使Cu3 SbSe3 晶格结构的对称性遭到破坏, 具有较高的格林内森常数[34 ,35 ] .传统的中温区热电材料PbTe具有较高的格林内森常数(~1.4)[36 ,37 ] .这是由于在PbTe材料中, 纵声学波和横光学波之间存在强烈的耦合作用, 从而大大降低了PbTe材料的晶格热导率[38 ] . ...
Thermoelectric materials: the anharmonicity blacksmith
1
2015
... U过程散射是材料固有的本征散射.在高温极限条件下, U过程散射是主要散射机制, 晶格热导率${{\kappa }_{\text{L}}}\propto 1/T$.U过程散射的强弱可通过Slack公式$\tau _{\text{U}}^{-1}\approx \frac{\hbar {{\gamma }^{2}}}{M{{v}^{2}}{{\theta }_{\text{D}}}}{{\omega }^{2}}T\exp (-{{\theta }_{\text{D}}}/3T)$[32 ] 判断, 式中γ 为格林内森常数, M 为平均原子质量, v 为声速, θ D 为德拜温度, ω 为声子频率.在这些参数中, 声速与德拜温度均与化学键强弱有关, 而格林内森常数则表征化学键的非谐性强弱[33 ] .格林内森常数越大, 则非谐作用越强, 晶格热导率越低(如图3 所示).研究表明, 具有高格林内森常数的材料一般具有以下两个特征:晶体非对称性和存在光声耦合作用.Cu3 SbSe3 中Sb原子具有孤对电子, 使Cu3 SbSe3 晶格结构的对称性遭到破坏, 具有较高的格林内森常数[34 ,35 ] .传统的中温区热电材料PbTe具有较高的格林内森常数(~1.4)[36 ,37 ] .这是由于在PbTe材料中, 纵声学波和横光学波之间存在强烈的耦合作用, 从而大大降低了PbTe材料的晶格热导率[38 ] . ...
Part-crystalline part-liquid state and rattling-like thermal damping in materials with chemical-bond hierarchy
1
2014
... U过程散射是材料固有的本征散射.在高温极限条件下, U过程散射是主要散射机制, 晶格热导率${{\kappa }_{\text{L}}}\propto 1/T$.U过程散射的强弱可通过Slack公式$\tau _{\text{U}}^{-1}\approx \frac{\hbar {{\gamma }^{2}}}{M{{v}^{2}}{{\theta }_{\text{D}}}}{{\omega }^{2}}T\exp (-{{\theta }_{\text{D}}}/3T)$[32 ] 判断, 式中γ 为格林内森常数, M 为平均原子质量, v 为声速, θ D 为德拜温度, ω 为声子频率.在这些参数中, 声速与德拜温度均与化学键强弱有关, 而格林内森常数则表征化学键的非谐性强弱[33 ] .格林内森常数越大, 则非谐作用越强, 晶格热导率越低(如图3 所示).研究表明, 具有高格林内森常数的材料一般具有以下两个特征:晶体非对称性和存在光声耦合作用.Cu3 SbSe3 中Sb原子具有孤对电子, 使Cu3 SbSe3 晶格结构的对称性遭到破坏, 具有较高的格林内森常数[34 ,35 ] .传统的中温区热电材料PbTe具有较高的格林内森常数(~1.4)[36 ,37 ] .这是由于在PbTe材料中, 纵声学波和横光学波之间存在强烈的耦合作用, 从而大大降低了PbTe材料的晶格热导率[38 ] . ...
Thermoelectric properties of Cu3 SbSe3 with intrinsically ultralow lattice thermal conductivity
1
2014
... U过程散射是材料固有的本征散射.在高温极限条件下, U过程散射是主要散射机制, 晶格热导率${{\kappa }_{\text{L}}}\propto 1/T$.U过程散射的强弱可通过Slack公式$\tau _{\text{U}}^{-1}\approx \frac{\hbar {{\gamma }^{2}}}{M{{v}^{2}}{{\theta }_{\text{D}}}}{{\omega }^{2}}T\exp (-{{\theta }_{\text{D}}}/3T)$[32 ] 判断, 式中γ 为格林内森常数, M 为平均原子质量, v 为声速, θ D 为德拜温度, ω 为声子频率.在这些参数中, 声速与德拜温度均与化学键强弱有关, 而格林内森常数则表征化学键的非谐性强弱[33 ] .格林内森常数越大, 则非谐作用越强, 晶格热导率越低(如图3 所示).研究表明, 具有高格林内森常数的材料一般具有以下两个特征:晶体非对称性和存在光声耦合作用.Cu3 SbSe3 中Sb原子具有孤对电子, 使Cu3 SbSe3 晶格结构的对称性遭到破坏, 具有较高的格林内森常数[34 ,35 ] .传统的中温区热电材料PbTe具有较高的格林内森常数(~1.4)[36 ,37 ] .这是由于在PbTe材料中, 纵声学波和横光学波之间存在强烈的耦合作用, 从而大大降低了PbTe材料的晶格热导率[38 ] . ...
Giant anharmonic phonon scattering in PbTe
1
2011
... U过程散射是材料固有的本征散射.在高温极限条件下, U过程散射是主要散射机制, 晶格热导率${{\kappa }_{\text{L}}}\propto 1/T$.U过程散射的强弱可通过Slack公式$\tau _{\text{U}}^{-1}\approx \frac{\hbar {{\gamma }^{2}}}{M{{v}^{2}}{{\theta }_{\text{D}}}}{{\omega }^{2}}T\exp (-{{\theta }_{\text{D}}}/3T)$[32 ] 判断, 式中γ 为格林内森常数, M 为平均原子质量, v 为声速, θ D 为德拜温度, ω 为声子频率.在这些参数中, 声速与德拜温度均与化学键强弱有关, 而格林内森常数则表征化学键的非谐性强弱[33 ] .格林内森常数越大, 则非谐作用越强, 晶格热导率越低(如图3 所示).研究表明, 具有高格林内森常数的材料一般具有以下两个特征:晶体非对称性和存在光声耦合作用.Cu3 SbSe3 中Sb原子具有孤对电子, 使Cu3 SbSe3 晶格结构的对称性遭到破坏, 具有较高的格林内森常数[34 ,35 ] .传统的中温区热电材料PbTe具有较高的格林内森常数(~1.4)[36 ,37 ] .这是由于在PbTe材料中, 纵声学波和横光学波之间存在强烈的耦合作用, 从而大大降低了PbTe材料的晶格热导率[38 ] . ...
Resonant bonding leads to low lattice thermal conductivity
1
2014
... U过程散射是材料固有的本征散射.在高温极限条件下, U过程散射是主要散射机制, 晶格热导率${{\kappa }_{\text{L}}}\propto 1/T$.U过程散射的强弱可通过Slack公式$\tau _{\text{U}}^{-1}\approx \frac{\hbar {{\gamma }^{2}}}{M{{v}^{2}}{{\theta }_{\text{D}}}}{{\omega }^{2}}T\exp (-{{\theta }_{\text{D}}}/3T)$[32 ] 判断, 式中γ 为格林内森常数, M 为平均原子质量, v 为声速, θ D 为德拜温度, ω 为声子频率.在这些参数中, 声速与德拜温度均与化学键强弱有关, 而格林内森常数则表征化学键的非谐性强弱[33 ] .格林内森常数越大, 则非谐作用越强, 晶格热导率越低(如图3 所示).研究表明, 具有高格林内森常数的材料一般具有以下两个特征:晶体非对称性和存在光声耦合作用.Cu3 SbSe3 中Sb原子具有孤对电子, 使Cu3 SbSe3 晶格结构的对称性遭到破坏, 具有较高的格林内森常数[34 ,35 ] .传统的中温区热电材料PbTe具有较高的格林内森常数(~1.4)[36 ,37 ] .这是由于在PbTe材料中, 纵声学波和横光学波之间存在强烈的耦合作用, 从而大大降低了PbTe材料的晶格热导率[38 ] . ...
Ferroelectric phase transition and the lattice thermal conductivity of Pb1-x Gex Te alloys
1
2017
... U过程散射是材料固有的本征散射.在高温极限条件下, U过程散射是主要散射机制, 晶格热导率${{\kappa }_{\text{L}}}\propto 1/T$.U过程散射的强弱可通过Slack公式$\tau _{\text{U}}^{-1}\approx \frac{\hbar {{\gamma }^{2}}}{M{{v}^{2}}{{\theta }_{\text{D}}}}{{\omega }^{2}}T\exp (-{{\theta }_{\text{D}}}/3T)$[32 ] 判断, 式中γ 为格林内森常数, M 为平均原子质量, v 为声速, θ D 为德拜温度, ω 为声子频率.在这些参数中, 声速与德拜温度均与化学键强弱有关, 而格林内森常数则表征化学键的非谐性强弱[33 ] .格林内森常数越大, 则非谐作用越强, 晶格热导率越低(如图3 所示).研究表明, 具有高格林内森常数的材料一般具有以下两个特征:晶体非对称性和存在光声耦合作用.Cu3 SbSe3 中Sb原子具有孤对电子, 使Cu3 SbSe3 晶格结构的对称性遭到破坏, 具有较高的格林内森常数[34 ,35 ] .传统的中温区热电材料PbTe具有较高的格林内森常数(~1.4)[36 ,37 ] .这是由于在PbTe材料中, 纵声学波和横光学波之间存在强烈的耦合作用, 从而大大降低了PbTe材料的晶格热导率[38 ] . ...
Thermoelectric properties of non-stoichiometric AgSbTe2 based alloys with a small amount of GeTe addition
2
2012
... 格林内森常数与室温晶格热导率的关系图[6 , 22 , 39 -53 ] ...
... Grüneisen parameter versus room temperature lattice thermal conductivity[6 , 22 , 39 -53 ] ...
Thermodynamic properties of PbTe, PbSe,PbS: first-principles study
2009
Pressure dependences of the elastic constants of PbTe, SnTe and Ge0.08 Sn0.92 Te
1981
Ab initio lattice dynamics and thermochemistry of layered bismuth telluride (Bi2 Te3 )
2016
Room-temperature thermal conductivity and grüneisen parameter of the I-III-VI2 chalcopyrite compounds
1995
Thermodynamic properties of Mg2 Si and Mg2 Ge investigated by first principles method
2010
Calculations of dynamical properties of skutterudites: thermal conductivity, thermal expansivity,atomic mean-square displacement
2010
Low thermal conductivity and enhanced thermoelectric performance of nanostructured Al-doped ZnTe
2016
First principles study of thermal conductivity cross-over in nanostructured zinc-chalcogenides
2015
Piezoelectric surface acoustical phonon amplification in graphene on a GaAs substrate
2014
Thermal expansion of some group IV elements and ZnS
1975
Raman scattering of Ge/Si dot superlattices under hydrostatic pressure
2001
FeNbSb p-type half-Heusler compound: beneficial thermomechanical properties and high-temperature stability for thermoelectrics
2017
Grüneisen parameters and thermal conductivity in the phase change compound GeTe
2017
Low sound velocity contributing to the high thermoelectric performance of Ag8 SnSe6
2
2016
... 格林内森常数与室温晶格热导率的关系图[6 , 22 , 39 -53 ] ...
... Grüneisen parameter versus room temperature lattice thermal conductivity[6 , 22 , 39 -53 ] ...
Effect of point imperfections on lattice thermal conductivity
1
1960
... 点缺陷散射是一种非常有效的降低材料热导率的方法, 包括质量波动散射与应力场波动散射[54 ] , 二者分别与原子间质量差和半径差有关, 原子间质量差及半径差越大, 点缺陷散射越强.合金化是目前应用最广的增强点缺陷散射的手段, 在Bi2 Te3 [55 ,56 ] 、Pb(Te,Se)[57 ] 、CuInTe2 [58 ] 、Mg2 (Si,Sn)[59 ,60 ] 、SiGe合金[61 ] 以及Half-Heusler(HH)合金[62 ,63 ,64 ,65 ,66 ,67 ,68 ,69 ] 中都有应用.以FeNbSb基HH合金为例, 研究表明Nb位Ta合金化可以有效降低FeNbSb的晶格热导率[70 ] .如图4 (a)及(b)所示, 虽然Nb和Ta之间较小的原子半径差使应力场波动散射较弱, 但两者较大的原子质量差可以引入强烈的质量波动散射, 使其最小晶格热导率降至1.3 W·m-1 ·K-1 .除了合金化之外, 空位与间隙原子也属于一种较为特殊的点缺陷散射机制.19电子HH合金Nb0.8 CoSb中存在近20%的本征Nb空位,使Nb0.8 CoSb合金具有相对较低的晶格热导率[71 ] .Cu2 SnSe4 等热电材料中也存在同样的现象[72 ] . ...
High efficiency Bi2 Te3 -based materials and devices for thermoelectric power generation between 100 and 300 ℃
1
2016
... 点缺陷散射是一种非常有效的降低材料热导率的方法, 包括质量波动散射与应力场波动散射[54 ] , 二者分别与原子间质量差和半径差有关, 原子间质量差及半径差越大, 点缺陷散射越强.合金化是目前应用最广的增强点缺陷散射的手段, 在Bi2 Te3 [55 ,56 ] 、Pb(Te,Se)[57 ] 、CuInTe2 [58 ] 、Mg2 (Si,Sn)[59 ,60 ] 、SiGe合金[61 ] 以及Half-Heusler(HH)合金[62 ,63 ,64 ,65 ,66 ,67 ,68 ,69 ] 中都有应用.以FeNbSb基HH合金为例, 研究表明Nb位Ta合金化可以有效降低FeNbSb的晶格热导率[70 ] .如图4 (a)及(b)所示, 虽然Nb和Ta之间较小的原子半径差使应力场波动散射较弱, 但两者较大的原子质量差可以引入强烈的质量波动散射, 使其最小晶格热导率降至1.3 W·m-1 ·K-1 .除了合金化之外, 空位与间隙原子也属于一种较为特殊的点缺陷散射机制.19电子HH合金Nb0.8 CoSb中存在近20%的本征Nb空位,使Nb0.8 CoSb合金具有相对较低的晶格热导率[71 ] .Cu2 SnSe4 等热电材料中也存在同样的现象[72 ] . ...
Point defect engineering of high-performance bismuth-telluride-based thermoelectric materials
1
2014
... 点缺陷散射是一种非常有效的降低材料热导率的方法, 包括质量波动散射与应力场波动散射[54 ] , 二者分别与原子间质量差和半径差有关, 原子间质量差及半径差越大, 点缺陷散射越强.合金化是目前应用最广的增强点缺陷散射的手段, 在Bi2 Te3 [55 ,56 ] 、Pb(Te,Se)[57 ] 、CuInTe2 [58 ] 、Mg2 (Si,Sn)[59 ,60 ] 、SiGe合金[61 ] 以及Half-Heusler(HH)合金[62 ,63 ,64 ,65 ,66 ,67 ,68 ,69 ] 中都有应用.以FeNbSb基HH合金为例, 研究表明Nb位Ta合金化可以有效降低FeNbSb的晶格热导率[70 ] .如图4 (a)及(b)所示, 虽然Nb和Ta之间较小的原子半径差使应力场波动散射较弱, 但两者较大的原子质量差可以引入强烈的质量波动散射, 使其最小晶格热导率降至1.3 W·m-1 ·K-1 .除了合金化之外, 空位与间隙原子也属于一种较为特殊的点缺陷散射机制.19电子HH合金Nb0.8 CoSb中存在近20%的本征Nb空位,使Nb0.8 CoSb合金具有相对较低的晶格热导率[71 ] .Cu2 SnSe4 等热电材料中也存在同样的现象[72 ] . ...
Convergence of electronic bands for high performance bulk thermoelectrics
1
2011
... 点缺陷散射是一种非常有效的降低材料热导率的方法, 包括质量波动散射与应力场波动散射[54 ] , 二者分别与原子间质量差和半径差有关, 原子间质量差及半径差越大, 点缺陷散射越强.合金化是目前应用最广的增强点缺陷散射的手段, 在Bi2 Te3 [55 ,56 ] 、Pb(Te,Se)[57 ] 、CuInTe2 [58 ] 、Mg2 (Si,Sn)[59 ,60 ] 、SiGe合金[61 ] 以及Half-Heusler(HH)合金[62 ,63 ,64 ,65 ,66 ,67 ,68 ,69 ] 中都有应用.以FeNbSb基HH合金为例, 研究表明Nb位Ta合金化可以有效降低FeNbSb的晶格热导率[70 ] .如图4 (a)及(b)所示, 虽然Nb和Ta之间较小的原子半径差使应力场波动散射较弱, 但两者较大的原子质量差可以引入强烈的质量波动散射, 使其最小晶格热导率降至1.3 W·m-1 ·K-1 .除了合金化之外, 空位与间隙原子也属于一种较为特殊的点缺陷散射机制.19电子HH合金Nb0.8 CoSb中存在近20%的本征Nb空位,使Nb0.8 CoSb合金具有相对较低的晶格热导率[71 ] .Cu2 SnSe4 等热电材料中也存在同样的现象[72 ] . ...
Thermoelectric properties for CuInTe2-x Sx (x = 0, 0.05, 0.1, 0.15) solid solution
1
2017
... 点缺陷散射是一种非常有效的降低材料热导率的方法, 包括质量波动散射与应力场波动散射[54 ] , 二者分别与原子间质量差和半径差有关, 原子间质量差及半径差越大, 点缺陷散射越强.合金化是目前应用最广的增强点缺陷散射的手段, 在Bi2 Te3 [55 ,56 ] 、Pb(Te,Se)[57 ] 、CuInTe2 [58 ] 、Mg2 (Si,Sn)[59 ,60 ] 、SiGe合金[61 ] 以及Half-Heusler(HH)合金[62 ,63 ,64 ,65 ,66 ,67 ,68 ,69 ] 中都有应用.以FeNbSb基HH合金为例, 研究表明Nb位Ta合金化可以有效降低FeNbSb的晶格热导率[70 ] .如图4 (a)及(b)所示, 虽然Nb和Ta之间较小的原子半径差使应力场波动散射较弱, 但两者较大的原子质量差可以引入强烈的质量波动散射, 使其最小晶格热导率降至1.3 W·m-1 ·K-1 .除了合金化之外, 空位与间隙原子也属于一种较为特殊的点缺陷散射机制.19电子HH合金Nb0.8 CoSb中存在近20%的本征Nb空位,使Nb0.8 CoSb合金具有相对较低的晶格热导率[71 ] .Cu2 SnSe4 等热电材料中也存在同样的现象[72 ] . ...
High performance Mg2 (Si,Sn) solid solutions: a point defect chemistry approach to enhancing thermoelectric properties
1
2014
... 点缺陷散射是一种非常有效的降低材料热导率的方法, 包括质量波动散射与应力场波动散射[54 ] , 二者分别与原子间质量差和半径差有关, 原子间质量差及半径差越大, 点缺陷散射越强.合金化是目前应用最广的增强点缺陷散射的手段, 在Bi2 Te3 [55 ,56 ] 、Pb(Te,Se)[57 ] 、CuInTe2 [58 ] 、Mg2 (Si,Sn)[59 ,60 ] 、SiGe合金[61 ] 以及Half-Heusler(HH)合金[62 ,63 ,64 ,65 ,66 ,67 ,68 ,69 ] 中都有应用.以FeNbSb基HH合金为例, 研究表明Nb位Ta合金化可以有效降低FeNbSb的晶格热导率[70 ] .如图4 (a)及(b)所示, 虽然Nb和Ta之间较小的原子半径差使应力场波动散射较弱, 但两者较大的原子质量差可以引入强烈的质量波动散射, 使其最小晶格热导率降至1.3 W·m-1 ·K-1 .除了合金化之外, 空位与间隙原子也属于一种较为特殊的点缺陷散射机制.19电子HH合金Nb0.8 CoSb中存在近20%的本征Nb空位,使Nb0.8 CoSb合金具有相对较低的晶格热导率[71 ] .Cu2 SnSe4 等热电材料中也存在同样的现象[72 ] . ...
Low electron scattering potentials in high performance Mg2 Si0.45 Sn0.55 based thermoelectric solid solutions with band convergence
1
2013
... 点缺陷散射是一种非常有效的降低材料热导率的方法, 包括质量波动散射与应力场波动散射[54 ] , 二者分别与原子间质量差和半径差有关, 原子间质量差及半径差越大, 点缺陷散射越强.合金化是目前应用最广的增强点缺陷散射的手段, 在Bi2 Te3 [55 ,56 ] 、Pb(Te,Se)[57 ] 、CuInTe2 [58 ] 、Mg2 (Si,Sn)[59 ,60 ] 、SiGe合金[61 ] 以及Half-Heusler(HH)合金[62 ,63 ,64 ,65 ,66 ,67 ,68 ,69 ] 中都有应用.以FeNbSb基HH合金为例, 研究表明Nb位Ta合金化可以有效降低FeNbSb的晶格热导率[70 ] .如图4 (a)及(b)所示, 虽然Nb和Ta之间较小的原子半径差使应力场波动散射较弱, 但两者较大的原子质量差可以引入强烈的质量波动散射, 使其最小晶格热导率降至1.3 W·m-1 ·K-1 .除了合金化之外, 空位与间隙原子也属于一种较为特殊的点缺陷散射机制.19电子HH合金Nb0.8 CoSb中存在近20%的本征Nb空位,使Nb0.8 CoSb合金具有相对较低的晶格热导率[71 ] .Cu2 SnSe4 等热电材料中也存在同样的现象[72 ] . ...
High-temperature thermoelectric performance of Si-Ge alloys
1
2003
... 点缺陷散射是一种非常有效的降低材料热导率的方法, 包括质量波动散射与应力场波动散射[54 ] , 二者分别与原子间质量差和半径差有关, 原子间质量差及半径差越大, 点缺陷散射越强.合金化是目前应用最广的增强点缺陷散射的手段, 在Bi2 Te3 [55 ,56 ] 、Pb(Te,Se)[57 ] 、CuInTe2 [58 ] 、Mg2 (Si,Sn)[59 ,60 ] 、SiGe合金[61 ] 以及Half-Heusler(HH)合金[62 ,63 ,64 ,65 ,66 ,67 ,68 ,69 ] 中都有应用.以FeNbSb基HH合金为例, 研究表明Nb位Ta合金化可以有效降低FeNbSb的晶格热导率[70 ] .如图4 (a)及(b)所示, 虽然Nb和Ta之间较小的原子半径差使应力场波动散射较弱, 但两者较大的原子质量差可以引入强烈的质量波动散射, 使其最小晶格热导率降至1.3 W·m-1 ·K-1 .除了合金化之外, 空位与间隙原子也属于一种较为特殊的点缺陷散射机制.19电子HH合金Nb0.8 CoSb中存在近20%的本征Nb空位,使Nb0.8 CoSb合金具有相对较低的晶格热导率[71 ] .Cu2 SnSe4 等热电材料中也存在同样的现象[72 ] . ...
High band degeneracy contributes to high thermoelectric performance in p-type half-Heusler compounds
1
2014
... 点缺陷散射是一种非常有效的降低材料热导率的方法, 包括质量波动散射与应力场波动散射[54 ] , 二者分别与原子间质量差和半径差有关, 原子间质量差及半径差越大, 点缺陷散射越强.合金化是目前应用最广的增强点缺陷散射的手段, 在Bi2 Te3 [55 ,56 ] 、Pb(Te,Se)[57 ] 、CuInTe2 [58 ] 、Mg2 (Si,Sn)[59 ,60 ] 、SiGe合金[61 ] 以及Half-Heusler(HH)合金[62 ,63 ,64 ,65 ,66 ,67 ,68 ,69 ] 中都有应用.以FeNbSb基HH合金为例, 研究表明Nb位Ta合金化可以有效降低FeNbSb的晶格热导率[70 ] .如图4 (a)及(b)所示, 虽然Nb和Ta之间较小的原子半径差使应力场波动散射较弱, 但两者较大的原子质量差可以引入强烈的质量波动散射, 使其最小晶格热导率降至1.3 W·m-1 ·K-1 .除了合金化之外, 空位与间隙原子也属于一种较为特殊的点缺陷散射机制.19电子HH合金Nb0.8 CoSb中存在近20%的本征Nb空位,使Nb0.8 CoSb合金具有相对较低的晶格热导率[71 ] .Cu2 SnSe4 等热电材料中也存在同样的现象[72 ] . ...
High performance p-type half-Heusler thermoelectric materials
1
2018
... 点缺陷散射是一种非常有效的降低材料热导率的方法, 包括质量波动散射与应力场波动散射[54 ] , 二者分别与原子间质量差和半径差有关, 原子间质量差及半径差越大, 点缺陷散射越强.合金化是目前应用最广的增强点缺陷散射的手段, 在Bi2 Te3 [55 ,56 ] 、Pb(Te,Se)[57 ] 、CuInTe2 [58 ] 、Mg2 (Si,Sn)[59 ,60 ] 、SiGe合金[61 ] 以及Half-Heusler(HH)合金[62 ,63 ,64 ,65 ,66 ,67 ,68 ,69 ] 中都有应用.以FeNbSb基HH合金为例, 研究表明Nb位Ta合金化可以有效降低FeNbSb的晶格热导率[70 ] .如图4 (a)及(b)所示, 虽然Nb和Ta之间较小的原子半径差使应力场波动散射较弱, 但两者较大的原子质量差可以引入强烈的质量波动散射, 使其最小晶格热导率降至1.3 W·m-1 ·K-1 .除了合金化之外, 空位与间隙原子也属于一种较为特殊的点缺陷散射机制.19电子HH合金Nb0.8 CoSb中存在近20%的本征Nb空位,使Nb0.8 CoSb合金具有相对较低的晶格热导率[71 ] .Cu2 SnSe4 等热电材料中也存在同样的现象[72 ] . ...
Enhancing thermoelectric performance of FeNbSb half-Heusler compound by Hf-Ti dual-doping
1
2018
... 点缺陷散射是一种非常有效的降低材料热导率的方法, 包括质量波动散射与应力场波动散射[54 ] , 二者分别与原子间质量差和半径差有关, 原子间质量差及半径差越大, 点缺陷散射越强.合金化是目前应用最广的增强点缺陷散射的手段, 在Bi2 Te3 [55 ,56 ] 、Pb(Te,Se)[57 ] 、CuInTe2 [58 ] 、Mg2 (Si,Sn)[59 ,60 ] 、SiGe合金[61 ] 以及Half-Heusler(HH)合金[62 ,63 ,64 ,65 ,66 ,67 ,68 ,69 ] 中都有应用.以FeNbSb基HH合金为例, 研究表明Nb位Ta合金化可以有效降低FeNbSb的晶格热导率[70 ] .如图4 (a)及(b)所示, 虽然Nb和Ta之间较小的原子半径差使应力场波动散射较弱, 但两者较大的原子质量差可以引入强烈的质量波动散射, 使其最小晶格热导率降至1.3 W·m-1 ·K-1 .除了合金化之外, 空位与间隙原子也属于一种较为特殊的点缺陷散射机制.19电子HH合金Nb0.8 CoSb中存在近20%的本征Nb空位,使Nb0.8 CoSb合金具有相对较低的晶格热导率[71 ] .Cu2 SnSe4 等热电材料中也存在同样的现象[72 ] . ...
Compromise and synergy in high-efficiency thermoelectric materials
1
2017
... 点缺陷散射是一种非常有效的降低材料热导率的方法, 包括质量波动散射与应力场波动散射[54 ] , 二者分别与原子间质量差和半径差有关, 原子间质量差及半径差越大, 点缺陷散射越强.合金化是目前应用最广的增强点缺陷散射的手段, 在Bi2 Te3 [55 ,56 ] 、Pb(Te,Se)[57 ] 、CuInTe2 [58 ] 、Mg2 (Si,Sn)[59 ,60 ] 、SiGe合金[61 ] 以及Half-Heusler(HH)合金[62 ,63 ,64 ,65 ,66 ,67 ,68 ,69 ] 中都有应用.以FeNbSb基HH合金为例, 研究表明Nb位Ta合金化可以有效降低FeNbSb的晶格热导率[70 ] .如图4 (a)及(b)所示, 虽然Nb和Ta之间较小的原子半径差使应力场波动散射较弱, 但两者较大的原子质量差可以引入强烈的质量波动散射, 使其最小晶格热导率降至1.3 W·m-1 ·K-1 .除了合金化之外, 空位与间隙原子也属于一种较为特殊的点缺陷散射机制.19电子HH合金Nb0.8 CoSb中存在近20%的本征Nb空位,使Nb0.8 CoSb合金具有相对较低的晶格热导率[71 ] .Cu2 SnSe4 等热电材料中也存在同样的现象[72 ] . ...
Enhancing the figure of merit of heavy-band thermoelectric materials through hierarchical phonon scattering
1
2016
... 点缺陷散射是一种非常有效的降低材料热导率的方法, 包括质量波动散射与应力场波动散射[54 ] , 二者分别与原子间质量差和半径差有关, 原子间质量差及半径差越大, 点缺陷散射越强.合金化是目前应用最广的增强点缺陷散射的手段, 在Bi2 Te3 [55 ,56 ] 、Pb(Te,Se)[57 ] 、CuInTe2 [58 ] 、Mg2 (Si,Sn)[59 ,60 ] 、SiGe合金[61 ] 以及Half-Heusler(HH)合金[62 ,63 ,64 ,65 ,66 ,67 ,68 ,69 ] 中都有应用.以FeNbSb基HH合金为例, 研究表明Nb位Ta合金化可以有效降低FeNbSb的晶格热导率[70 ] .如图4 (a)及(b)所示, 虽然Nb和Ta之间较小的原子半径差使应力场波动散射较弱, 但两者较大的原子质量差可以引入强烈的质量波动散射, 使其最小晶格热导率降至1.3 W·m-1 ·K-1 .除了合金化之外, 空位与间隙原子也属于一种较为特殊的点缺陷散射机制.19电子HH合金Nb0.8 CoSb中存在近20%的本征Nb空位,使Nb0.8 CoSb合金具有相对较低的晶格热导率[71 ] .Cu2 SnSe4 等热电材料中也存在同样的现象[72 ] . ...
High efficiency half-Heusler thermoelectric materials for energy harvesting
1
2015
... 点缺陷散射是一种非常有效的降低材料热导率的方法, 包括质量波动散射与应力场波动散射[54 ] , 二者分别与原子间质量差和半径差有关, 原子间质量差及半径差越大, 点缺陷散射越强.合金化是目前应用最广的增强点缺陷散射的手段, 在Bi2 Te3 [55 ,56 ] 、Pb(Te,Se)[57 ] 、CuInTe2 [58 ] 、Mg2 (Si,Sn)[59 ,60 ] 、SiGe合金[61 ] 以及Half-Heusler(HH)合金[62 ,63 ,64 ,65 ,66 ,67 ,68 ,69 ] 中都有应用.以FeNbSb基HH合金为例, 研究表明Nb位Ta合金化可以有效降低FeNbSb的晶格热导率[70 ] .如图4 (a)及(b)所示, 虽然Nb和Ta之间较小的原子半径差使应力场波动散射较弱, 但两者较大的原子质量差可以引入强烈的质量波动散射, 使其最小晶格热导率降至1.3 W·m-1 ·K-1 .除了合金化之外, 空位与间隙原子也属于一种较为特殊的点缺陷散射机制.19电子HH合金Nb0.8 CoSb中存在近20%的本征Nb空位,使Nb0.8 CoSb合金具有相对较低的晶格热导率[71 ] .Cu2 SnSe4 等热电材料中也存在同样的现象[72 ] . ...
Realizing high figure of merit in heavy-band p-type half-Heusler thermoelectric materials
1
2015
... 点缺陷散射是一种非常有效的降低材料热导率的方法, 包括质量波动散射与应力场波动散射[54 ] , 二者分别与原子间质量差和半径差有关, 原子间质量差及半径差越大, 点缺陷散射越强.合金化是目前应用最广的增强点缺陷散射的手段, 在Bi2 Te3 [55 ,56 ] 、Pb(Te,Se)[57 ] 、CuInTe2 [58 ] 、Mg2 (Si,Sn)[59 ,60 ] 、SiGe合金[61 ] 以及Half-Heusler(HH)合金[62 ,63 ,64 ,65 ,66 ,67 ,68 ,69 ] 中都有应用.以FeNbSb基HH合金为例, 研究表明Nb位Ta合金化可以有效降低FeNbSb的晶格热导率[70 ] .如图4 (a)及(b)所示, 虽然Nb和Ta之间较小的原子半径差使应力场波动散射较弱, 但两者较大的原子质量差可以引入强烈的质量波动散射, 使其最小晶格热导率降至1.3 W·m-1 ·K-1 .除了合金化之外, 空位与间隙原子也属于一种较为特殊的点缺陷散射机制.19电子HH合金Nb0.8 CoSb中存在近20%的本征Nb空位,使Nb0.8 CoSb合金具有相对较低的晶格热导率[71 ] .Cu2 SnSe4 等热电材料中也存在同样的现象[72 ] . ...
Beneficial contribution of alloy disorder to electron and phonon transport in half-heusler thermoelectric materials
1
2013
... 点缺陷散射是一种非常有效的降低材料热导率的方法, 包括质量波动散射与应力场波动散射[54 ] , 二者分别与原子间质量差和半径差有关, 原子间质量差及半径差越大, 点缺陷散射越强.合金化是目前应用最广的增强点缺陷散射的手段, 在Bi2 Te3 [55 ,56 ] 、Pb(Te,Se)[57 ] 、CuInTe2 [58 ] 、Mg2 (Si,Sn)[59 ,60 ] 、SiGe合金[61 ] 以及Half-Heusler(HH)合金[62 ,63 ,64 ,65 ,66 ,67 ,68 ,69 ] 中都有应用.以FeNbSb基HH合金为例, 研究表明Nb位Ta合金化可以有效降低FeNbSb的晶格热导率[70 ] .如图4 (a)及(b)所示, 虽然Nb和Ta之间较小的原子半径差使应力场波动散射较弱, 但两者较大的原子质量差可以引入强烈的质量波动散射, 使其最小晶格热导率降至1.3 W·m-1 ·K-1 .除了合金化之外, 空位与间隙原子也属于一种较为特殊的点缺陷散射机制.19电子HH合金Nb0.8 CoSb中存在近20%的本征Nb空位,使Nb0.8 CoSb合金具有相对较低的晶格热导率[71 ] .Cu2 SnSe4 等热电材料中也存在同样的现象[72 ] . ...
Unique role of refractory ta alloying in enhancing the figure of merit of NbFeSb thermoelectric materials
3
2018
... 点缺陷散射是一种非常有效的降低材料热导率的方法, 包括质量波动散射与应力场波动散射[54 ] , 二者分别与原子间质量差和半径差有关, 原子间质量差及半径差越大, 点缺陷散射越强.合金化是目前应用最广的增强点缺陷散射的手段, 在Bi2 Te3 [55 ,56 ] 、Pb(Te,Se)[57 ] 、CuInTe2 [58 ] 、Mg2 (Si,Sn)[59 ,60 ] 、SiGe合金[61 ] 以及Half-Heusler(HH)合金[62 ,63 ,64 ,65 ,66 ,67 ,68 ,69 ] 中都有应用.以FeNbSb基HH合金为例, 研究表明Nb位Ta合金化可以有效降低FeNbSb的晶格热导率[70 ] .如图4 (a)及(b)所示, 虽然Nb和Ta之间较小的原子半径差使应力场波动散射较弱, 但两者较大的原子质量差可以引入强烈的质量波动散射, 使其最小晶格热导率降至1.3 W·m-1 ·K-1 .除了合金化之外, 空位与间隙原子也属于一种较为特殊的点缺陷散射机制.19电子HH合金Nb0.8 CoSb中存在近20%的本征Nb空位,使Nb0.8 CoSb合金具有相对较低的晶格热导率[71 ] .Cu2 SnSe4 等热电材料中也存在同样的现象[72 ] . ...
... (a)(Nb0.6 Ta0.4 )0.8 Ti0.2 FeSb和Nb0.8 Ti0.2 FeSb的晶格热导率与声子频率的依赖关系和(b)Ta掺杂量与无序散射因子及晶格热导率的关系图[70 ] ...
... (a) Phonon frequency dependence of spectral lattice thermal conductivity for (Nb0.6 Ta0.4 )0.8 Ti0.2 FeSb and Nb0.8 Ti0.2 FeSb, and (b) relationship between Ta content and lattice thermal conductivity/disorder parameter for (Nb0.6 Ta0.4 )0.8 Ti0.2 FeSb[70 ] ...
Enhanced thermoelectric performance in 18-electron Nb0.8 CoSb half-heusler compound with intrinsic Nb vacancies
1
2018
... 点缺陷散射是一种非常有效的降低材料热导率的方法, 包括质量波动散射与应力场波动散射[54 ] , 二者分别与原子间质量差和半径差有关, 原子间质量差及半径差越大, 点缺陷散射越强.合金化是目前应用最广的增强点缺陷散射的手段, 在Bi2 Te3 [55 ,56 ] 、Pb(Te,Se)[57 ] 、CuInTe2 [58 ] 、Mg2 (Si,Sn)[59 ,60 ] 、SiGe合金[61 ] 以及Half-Heusler(HH)合金[62 ,63 ,64 ,65 ,66 ,67 ,68 ,69 ] 中都有应用.以FeNbSb基HH合金为例, 研究表明Nb位Ta合金化可以有效降低FeNbSb的晶格热导率[70 ] .如图4 (a)及(b)所示, 虽然Nb和Ta之间较小的原子半径差使应力场波动散射较弱, 但两者较大的原子质量差可以引入强烈的质量波动散射, 使其最小晶格热导率降至1.3 W·m-1 ·K-1 .除了合金化之外, 空位与间隙原子也属于一种较为特殊的点缺陷散射机制.19电子HH合金Nb0.8 CoSb中存在近20%的本征Nb空位,使Nb0.8 CoSb合金具有相对较低的晶格热导率[71 ] .Cu2 SnSe4 等热电材料中也存在同样的现象[72 ] . ...
Thermoelectric properties of Cu2 SnSe4 with intrinsic vacancy
1
2016
... 点缺陷散射是一种非常有效的降低材料热导率的方法, 包括质量波动散射与应力场波动散射[54 ] , 二者分别与原子间质量差和半径差有关, 原子间质量差及半径差越大, 点缺陷散射越强.合金化是目前应用最广的增强点缺陷散射的手段, 在Bi2 Te3 [55 ,56 ] 、Pb(Te,Se)[57 ] 、CuInTe2 [58 ] 、Mg2 (Si,Sn)[59 ,60 ] 、SiGe合金[61 ] 以及Half-Heusler(HH)合金[62 ,63 ,64 ,65 ,66 ,67 ,68 ,69 ] 中都有应用.以FeNbSb基HH合金为例, 研究表明Nb位Ta合金化可以有效降低FeNbSb的晶格热导率[70 ] .如图4 (a)及(b)所示, 虽然Nb和Ta之间较小的原子半径差使应力场波动散射较弱, 但两者较大的原子质量差可以引入强烈的质量波动散射, 使其最小晶格热导率降至1.3 W·m-1 ·K-1 .除了合金化之外, 空位与间隙原子也属于一种较为特殊的点缺陷散射机制.19电子HH合金Nb0.8 CoSb中存在近20%的本征Nb空位,使Nb0.8 CoSb合金具有相对较低的晶格热导率[71 ] .Cu2 SnSe4 等热电材料中也存在同样的现象[72 ] . ...
The scattering of low-frequency lattice waves by static imperfections. Proceedings of the Physical Society
1
1955
... 晶界散射及位错散射也是非常重要的降低晶格热导率的方法[73 ] .常用的增强晶界散射的手段有球磨[74 ,75 ] 和甩带[76 ,77 ,78 ,79 ] 两种方法, 广泛应用于Bi2 Te3 [79 ] 、SiGe[80 ] 以及Half-Heusler合金[81 ] 等热电材料中.对于位错散射, 有报道称在Bi0.5 Sb0.15 Te3 中通过过量Te液相烧结的手段可以增加晶界位错阵列[8 ] .另外, 通过向材料中添加第二相的方式也能增加位错密度[82 ] , 这一现象在PbTe-PbS体系中得到了印证[83 ] . ...
Effects of ball-milling atmosphere on the thermoelectric properties of TAGS-85 compounds
1
2009
... 晶界散射及位错散射也是非常重要的降低晶格热导率的方法[73 ] .常用的增强晶界散射的手段有球磨[74 ,75 ] 和甩带[76 ,77 ,78 ,79 ] 两种方法, 广泛应用于Bi2 Te3 [79 ] 、SiGe[80 ] 以及Half-Heusler合金[81 ] 等热电材料中.对于位错散射, 有报道称在Bi0.5 Sb0.15 Te3 中通过过量Te液相烧结的手段可以增加晶界位错阵列[8 ] .另外, 通过向材料中添加第二相的方式也能增加位错密度[82 ] , 这一现象在PbTe-PbS体系中得到了印证[83 ] . ...
Reduced lattice thermal conductivity in nanograined Na-doped PbTe alloys by ball milling and semisolid powder processing
1
2015
... 晶界散射及位错散射也是非常重要的降低晶格热导率的方法[73 ] .常用的增强晶界散射的手段有球磨[74 ,75 ] 和甩带[76 ,77 ,78 ,79 ] 两种方法, 广泛应用于Bi2 Te3 [79 ] 、SiGe[80 ] 以及Half-Heusler合金[81 ] 等热电材料中.对于位错散射, 有报道称在Bi0.5 Sb0.15 Te3 中通过过量Te液相烧结的手段可以增加晶界位错阵列[8 ] .另外, 通过向材料中添加第二相的方式也能增加位错密度[82 ] , 这一现象在PbTe-PbS体系中得到了印证[83 ] . ...
Fundamental and progress of Bi2 Te3 -based thermoelectric materials
1
2018
... 晶界散射及位错散射也是非常重要的降低晶格热导率的方法[73 ] .常用的增强晶界散射的手段有球磨[74 ,75 ] 和甩带[76 ,77 ,78 ,79 ] 两种方法, 广泛应用于Bi2 Te3 [79 ] 、SiGe[80 ] 以及Half-Heusler合金[81 ] 等热电材料中.对于位错散射, 有报道称在Bi0.5 Sb0.15 Te3 中通过过量Te液相烧结的手段可以增加晶界位错阵列[8 ] .另外, 通过向材料中添加第二相的方式也能增加位错密度[82 ] , 这一现象在PbTe-PbS体系中得到了印证[83 ] . ...
Naturally decorated dislocations capable of enhancing multiple-phonon scattering in Si-based thermoelectric composites
1
2018
... 晶界散射及位错散射也是非常重要的降低晶格热导率的方法[73 ] .常用的增强晶界散射的手段有球磨[74 ,75 ] 和甩带[76 ,77 ,78 ,79 ] 两种方法, 广泛应用于Bi2 Te3 [79 ] 、SiGe[80 ] 以及Half-Heusler合金[81 ] 等热电材料中.对于位错散射, 有报道称在Bi0.5 Sb0.15 Te3 中通过过量Te液相烧结的手段可以增加晶界位错阵列[8 ] .另外, 通过向材料中添加第二相的方式也能增加位错密度[82 ] , 这一现象在PbTe-PbS体系中得到了印证[83 ] . ...
Simultaneous optimization of electrical and thermal transport properties of Bi0.5 Sb1.5 Te3 thermoelectric alloy by twin boundary engineering
1
2017
... 晶界散射及位错散射也是非常重要的降低晶格热导率的方法[73 ] .常用的增强晶界散射的手段有球磨[74 ,75 ] 和甩带[76 ,77 ,78 ,79 ] 两种方法, 广泛应用于Bi2 Te3 [79 ] 、SiGe[80 ] 以及Half-Heusler合金[81 ] 等热电材料中.对于位错散射, 有报道称在Bi0.5 Sb0.15 Te3 中通过过量Te液相烧结的手段可以增加晶界位错阵列[8 ] .另外, 通过向材料中添加第二相的方式也能增加位错密度[82 ] , 这一现象在PbTe-PbS体系中得到了印证[83 ] . ...
Identifying the specific nanostructures responsible for the high thermoelectric performance of (Bi,Sb)2 Te3 nanocomposites
2
2010
... 晶界散射及位错散射也是非常重要的降低晶格热导率的方法[73 ] .常用的增强晶界散射的手段有球磨[74 ,75 ] 和甩带[76 ,77 ,78 ,79 ] 两种方法, 广泛应用于Bi2 Te3 [79 ] 、SiGe[80 ] 以及Half-Heusler合金[81 ] 等热电材料中.对于位错散射, 有报道称在Bi0.5 Sb0.15 Te3 中通过过量Te液相烧结的手段可以增加晶界位错阵列[8 ] .另外, 通过向材料中添加第二相的方式也能增加位错密度[82 ] , 这一现象在PbTe-PbS体系中得到了印证[83 ] . ...
... [79 ]、SiGe[80 ] 以及Half-Heusler合金[81 ] 等热电材料中.对于位错散射, 有报道称在Bi0.5 Sb0.15 Te3 中通过过量Te液相烧结的手段可以增加晶界位错阵列[8 ] .另外, 通过向材料中添加第二相的方式也能增加位错密度[82 ] , 这一现象在PbTe-PbS体系中得到了印证[83 ] . ...
Microstructure and thermoelectric properties of p-type Si80 Ge20 B0.6 -SiC nanocomposite
1
2016
... 晶界散射及位错散射也是非常重要的降低晶格热导率的方法[73 ] .常用的增强晶界散射的手段有球磨[74 ,75 ] 和甩带[76 ,77 ,78 ,79 ] 两种方法, 广泛应用于Bi2 Te3 [79 ] 、SiGe[80 ] 以及Half-Heusler合金[81 ] 等热电材料中.对于位错散射, 有报道称在Bi0.5 Sb0.15 Te3 中通过过量Te液相烧结的手段可以增加晶界位错阵列[8 ] .另外, 通过向材料中添加第二相的方式也能增加位错密度[82 ] , 这一现象在PbTe-PbS体系中得到了印证[83 ] . ...
High performance half-Heusler thermoelectric materials with refined grains and nanoscale precipitates
1
2012
... 晶界散射及位错散射也是非常重要的降低晶格热导率的方法[73 ] .常用的增强晶界散射的手段有球磨[74 ,75 ] 和甩带[76 ,77 ,78 ,79 ] 两种方法, 广泛应用于Bi2 Te3 [79 ] 、SiGe[80 ] 以及Half-Heusler合金[81 ] 等热电材料中.对于位错散射, 有报道称在Bi0.5 Sb0.15 Te3 中通过过量Te液相烧结的手段可以增加晶界位错阵列[8 ] .另外, 通过向材料中添加第二相的方式也能增加位错密度[82 ] , 这一现象在PbTe-PbS体系中得到了印证[83 ] . ...
Tuning multiscale microstructures to enhance thermoelectric performance of n-type bismuth-telluride-based solid solutions
1
2015
... 晶界散射及位错散射也是非常重要的降低晶格热导率的方法[73 ] .常用的增强晶界散射的手段有球磨[74 ,75 ] 和甩带[76 ,77 ,78 ,79 ] 两种方法, 广泛应用于Bi2 Te3 [79 ] 、SiGe[80 ] 以及Half-Heusler合金[81 ] 等热电材料中.对于位错散射, 有报道称在Bi0.5 Sb0.15 Te3 中通过过量Te液相烧结的手段可以增加晶界位错阵列[8 ] .另外, 通过向材料中添加第二相的方式也能增加位错密度[82 ] , 这一现象在PbTe-PbS体系中得到了印证[83 ] . ...
Microstructure-lattice thermal conductivity correlation in nanostructured PbTe0.7 S0.3 thermoelectric materials
1
2010
... 晶界散射及位错散射也是非常重要的降低晶格热导率的方法[73 ] .常用的增强晶界散射的手段有球磨[74 ,75 ] 和甩带[76 ,77 ,78 ,79 ] 两种方法, 广泛应用于Bi2 Te3 [79 ] 、SiGe[80 ] 以及Half-Heusler合金[81 ] 等热电材料中.对于位错散射, 有报道称在Bi0.5 Sb0.15 Te3 中通过过量Te液相烧结的手段可以增加晶界位错阵列[8 ] .另外, 通过向材料中添加第二相的方式也能增加位错密度[82 ] , 这一现象在PbTe-PbS体系中得到了印证[83 ] . ...
Mg vacancy and dislocation strains as strong phonon scatterers in Mg2 Si1-x Sbx thermoelectric materials
3
2017
... 此外, 位错还可以通过自身空位的聚集产生.如图5 所示, 在Mg2 Si1- x Sbx 材料[84 ] 中, Sb的高剂量合金化产生大量Mg空位, 使得空位浓度远高于平衡空位密度, 多余的Mg空位自发地发生聚集从而形成位错.在Mg2 Si0.5 Sb0.5 中, 位错密度高达2.8×1016 m-2 .图5 (b)为Sn及Sb元素合金化对Mg2 Si晶格热导率的不同影响.由于Sn元素的加入不会增加Mg空位的浓度从而产生位错, 晶格热导率的降低主要来自点缺陷散射的作用.而Sb合金化不仅能增强点缺陷散射, 而且能增强位错散射, 因此具有更低的晶格热导率.此外, 在Nay Eu0.03 Pb0.97- y Te体系[7 ] 中也观察到类似的现象.研究表明随着Na掺杂量的增加, 体系中的主要微观缺陷由点缺陷逐步过渡到位错及纳米颗粒.位错散射使PbTe的晶格热导率下降到0.4 W·m-1 ·K-1 以下. ...
... (a) Mg2 Si0.5 Sb0.5 中位错的IFFT图及相应的应力扫描图, (b) Mg2 Si1- x Sbx 及Mg2 Si1- z Snz 的室温晶格热导率对比图[84 ] ...
... (a) Inverse FFT images and strain mapping of dislocations in the Mg2 Si0.5 Sb0.5 , and (b) lattice thermal conductivity comparison between Mg2 Si1- x Sbx and Mg2 Si1- z Snz at room temperature[84 ] ...
Realization of high thermoelectric performance in n-type partially filled skutterudites
1
2011
... 除此之外, 共振散射一般出现在具有特殊晶体结构的热电材料中, 如笼式化合物及方钴矿等[29 , 85 -86 ] .通过加入填充原子, 可以引入特定频率的共振谱, 从而降低材料热导率.在S0.5 Co4 Sb10.5 Te1.5 中S作为填充原子, 可以在声子谱中引入一段频率较低的光学支, 与声学支发生光声耦合现象, 增强共振散射, 最终使得CoSb3 材料获得极低的晶格热导率[87 ] .另外, 最近的研究表明一些具有拓扑绝缘性的热电材料中也存在共振散射.如图6 所示, 在BiSe材料中额外的Bi2 原子层同样可以引起局域共振效应, 强烈的光声耦合显著降低了BiSe的晶格热导率, 使其室温晶格热导率仅为0.6 W•m-1 •K-1[88 ] . ...
Localized vibrational modes in metallic solids
1
1998
... 除此之外, 共振散射一般出现在具有特殊晶体结构的热电材料中, 如笼式化合物及方钴矿等[29 , 85 -86 ] .通过加入填充原子, 可以引入特定频率的共振谱, 从而降低材料热导率.在S0.5 Co4 Sb10.5 Te1.5 中S作为填充原子, 可以在声子谱中引入一段频率较低的光学支, 与声学支发生光声耦合现象, 增强共振散射, 最终使得CoSb3 材料获得极低的晶格热导率[87 ] .另外, 最近的研究表明一些具有拓扑绝缘性的热电材料中也存在共振散射.如图6 所示, 在BiSe材料中额外的Bi2 原子层同样可以引起局域共振效应, 强烈的光声耦合显著降低了BiSe的晶格热导率, 使其室温晶格热导率仅为0.6 W•m-1 •K-1[88 ] . ...
Electronegative guests in CoSb3
1
2016
... 除此之外, 共振散射一般出现在具有特殊晶体结构的热电材料中, 如笼式化合物及方钴矿等[29 , 85 -86 ] .通过加入填充原子, 可以引入特定频率的共振谱, 从而降低材料热导率.在S0.5 Co4 Sb10.5 Te1.5 中S作为填充原子, 可以在声子谱中引入一段频率较低的光学支, 与声学支发生光声耦合现象, 增强共振散射, 最终使得CoSb3 材料获得极低的晶格热导率[87 ] .另外, 最近的研究表明一些具有拓扑绝缘性的热电材料中也存在共振散射.如图6 所示, 在BiSe材料中额外的Bi2 原子层同样可以引起局域共振效应, 强烈的光声耦合显著降低了BiSe的晶格热导率, 使其室温晶格热导率仅为0.6 W•m-1 •K-1[88 ] . ...
Localized vibrations of bi bilayer leading to ultralow lattice thermal conductivity and high thermoelectric performance in weak topological insulator n-type BiSe
3
2018
... 除此之外, 共振散射一般出现在具有特殊晶体结构的热电材料中, 如笼式化合物及方钴矿等[29 , 85 -86 ] .通过加入填充原子, 可以引入特定频率的共振谱, 从而降低材料热导率.在S0.5 Co4 Sb10.5 Te1.5 中S作为填充原子, 可以在声子谱中引入一段频率较低的光学支, 与声学支发生光声耦合现象, 增强共振散射, 最终使得CoSb3 材料获得极低的晶格热导率[87 ] .另外, 最近的研究表明一些具有拓扑绝缘性的热电材料中也存在共振散射.如图6 所示, 在BiSe材料中额外的Bi2 原子层同样可以引起局域共振效应, 强烈的光声耦合显著降低了BiSe的晶格热导率, 使其室温晶格热导率仅为0.6 W•m-1 •K-1[88 ] . ...
... BiSe晶体结构示意图(a)和Bi2 Se3 及BiSe的晶格热导率对比图(b)[88 ] ...
... (a) Schematic diagram of crystal structure for BiSe and (b) lattice thermal conductivity comparison between Bi2 Se3 and BiSe[88 ] ...
Transport properties of pure and doped MNiSn (M=Zr, Hf)
1
1999
... 相比于其他类型的散射机制, 电声散射的研究相对较少.然而, 对于具有较大载流子有效质量的体系, 通常需要较高的载流子浓度使其电性能达到最佳[89 ,90 ,91 ,92 ] .因此, 在这些体系中需要考虑电声散射对晶格热导率的影响.如图7 所示, 在多晶硅中掺入P使其晶格热导率显著降低, 0.1at%的P掺杂量就可以使多晶硅室温时的晶格热导率降低60%.但由于P与Si在元素周期表中的位置接近, 具有相似的质量和半径, 因此点缺陷散射不足以解释其晶格热导率的大幅度降低, 必然存在其他散射机制的作用.研究表明P元素的掺杂作用可以引起多晶硅中载流子浓度的增加, 使电声相互作用显著增强.当掺入6at%的P时, 电声散射对晶格热导率的降低作用占所有散射机制的36%, 接近晶界散射的作用[93 ] . ...
High-performance nanostructured thermoelectric materials
1
2010
... 相比于其他类型的散射机制, 电声散射的研究相对较少.然而, 对于具有较大载流子有效质量的体系, 通常需要较高的载流子浓度使其电性能达到最佳[89 ,90 ,91 ,92 ] .因此, 在这些体系中需要考虑电声散射对晶格热导率的影响.如图7 所示, 在多晶硅中掺入P使其晶格热导率显著降低, 0.1at%的P掺杂量就可以使多晶硅室温时的晶格热导率降低60%.但由于P与Si在元素周期表中的位置接近, 具有相似的质量和半径, 因此点缺陷散射不足以解释其晶格热导率的大幅度降低, 必然存在其他散射机制的作用.研究表明P元素的掺杂作用可以引起多晶硅中载流子浓度的增加, 使电声相互作用显著增强.当掺入6at%的P时, 电声散射对晶格热导率的降低作用占所有散射机制的36%, 接近晶界散射的作用[93 ] . ...
Band Structures and transport properties of high-performance half-heusler thermoelectric materials by first principles
1
2018
... 相比于其他类型的散射机制, 电声散射的研究相对较少.然而, 对于具有较大载流子有效质量的体系, 通常需要较高的载流子浓度使其电性能达到最佳[89 ,90 ,91 ,92 ] .因此, 在这些体系中需要考虑电声散射对晶格热导率的影响.如图7 所示, 在多晶硅中掺入P使其晶格热导率显著降低, 0.1at%的P掺杂量就可以使多晶硅室温时的晶格热导率降低60%.但由于P与Si在元素周期表中的位置接近, 具有相似的质量和半径, 因此点缺陷散射不足以解释其晶格热导率的大幅度降低, 必然存在其他散射机制的作用.研究表明P元素的掺杂作用可以引起多晶硅中载流子浓度的增加, 使电声相互作用显著增强.当掺入6at%的P时, 电声散射对晶格热导率的降低作用占所有散射机制的36%, 接近晶界散射的作用[93 ] . ...
MARTIN L H J, et al. Impact of Ni content on the thermoelectric properties of half-Heusler TiNiSn
1
2018
... 相比于其他类型的散射机制, 电声散射的研究相对较少.然而, 对于具有较大载流子有效质量的体系, 通常需要较高的载流子浓度使其电性能达到最佳[89 ,90 ,91 ,92 ] .因此, 在这些体系中需要考虑电声散射对晶格热导率的影响.如图7 所示, 在多晶硅中掺入P使其晶格热导率显著降低, 0.1at%的P掺杂量就可以使多晶硅室温时的晶格热导率降低60%.但由于P与Si在元素周期表中的位置接近, 具有相似的质量和半径, 因此点缺陷散射不足以解释其晶格热导率的大幅度降低, 必然存在其他散射机制的作用.研究表明P元素的掺杂作用可以引起多晶硅中载流子浓度的增加, 使电声相互作用显著增强.当掺入6at%的P时, 电声散射对晶格热导率的降低作用占所有散射机制的36%, 接近晶界散射的作用[93 ] . ...
The role of electron-phonon interaction in heavily doped fine-grained bulk silicons as thermoelectric materials
3
2016
... 相比于其他类型的散射机制, 电声散射的研究相对较少.然而, 对于具有较大载流子有效质量的体系, 通常需要较高的载流子浓度使其电性能达到最佳[89 ,90 ,91 ,92 ] .因此, 在这些体系中需要考虑电声散射对晶格热导率的影响.如图7 所示, 在多晶硅中掺入P使其晶格热导率显著降低, 0.1at%的P掺杂量就可以使多晶硅室温时的晶格热导率降低60%.但由于P与Si在元素周期表中的位置接近, 具有相似的质量和半径, 因此点缺陷散射不足以解释其晶格热导率的大幅度降低, 必然存在其他散射机制的作用.研究表明P元素的掺杂作用可以引起多晶硅中载流子浓度的增加, 使电声相互作用显著增强.当掺入6at%的P时, 电声散射对晶格热导率的降低作用占所有散射机制的36%, 接近晶界散射的作用[93 ] . ...
... 电声散射示意图(a)和硅样品晶格热导率的实验值与Callaway模型计算值的对比图(b)[93 ] ...
... (a) Schematic diagram of electron-phonon scattering and (b) comparison of experimental and calculated lattice thermal conductivities by Callaway Model for the silicon sample[93 ] ...
Lattice thermal conductivity of disordered semiconductor alloys at high temperatures
1
1963
... 为了能够快速筛选具有低晶格热导率的热电材料, 采用合理模型预测理论最小晶格热导率是非常必要的.上文提到, 晶格热导率的表达式可近似为${{\kappa }_{\text{L}}}=\frac{1}{3}{{C}_{\text{V}}}{{v}_{\text{g}}}l$.由于一般热电材料达到最小晶格热导率时都已经高于德拜温度, 此时热容已经趋近于杜隆-珀蒂值3R .代入晶格热导率公式可得:${{\kappa }_{\text{L}}}=R{{v}_{\text{g}}}l$, 其中R 为理想气体常数.因此, 想要获得最小晶格热导率, 声速及平均自由程需要达到最小值.这里需要注意的是由于热容公式中只考虑了声学支对热导率的贡献, 造成理论结果低于实际情况[94 ] .由于平均声速可通过测试材料的弹性模量与密度获得, 因此如果知道最小声子平均自由程就可以计算材料的最小晶格热导率.Clarke等[95 ] 提出最小声子平均自由程等于原胞体积的三次方根, 此时最小晶格热导率的表达式如下:${{\kappa }_{\min }}=0.93{{n}^{2/3}}{{k}_{\text{B}}}\frac{1}{3}(2{{v}_{\text{S}}}+{{v}_{\text{P}}})$.其中, n 为原胞中原子数.Cahill等[96 ] 和Slack[17 ] 采用Einstein模型[97 ] 计算材料处于非晶态时的最小晶格热导率.但是, 在处理热容问题时, Einstein模型与实验结果之间存在较大偏离.为了避免Einstein热容的缺陷, Cahill在Einstein假设的基础上将若干个原子视为一个整体, 作为单个振子处理.这种处理方式保留了晶格的周期性特征.Cahill假设最小声子平均自由程为声子波长的一半. ...
Materials selection guidelines for low thermal conductivity thermal barrier coatings
1
2003
... 为了能够快速筛选具有低晶格热导率的热电材料, 采用合理模型预测理论最小晶格热导率是非常必要的.上文提到, 晶格热导率的表达式可近似为${{\kappa }_{\text{L}}}=\frac{1}{3}{{C}_{\text{V}}}{{v}_{\text{g}}}l$.由于一般热电材料达到最小晶格热导率时都已经高于德拜温度, 此时热容已经趋近于杜隆-珀蒂值3R .代入晶格热导率公式可得:${{\kappa }_{\text{L}}}=R{{v}_{\text{g}}}l$, 其中R 为理想气体常数.因此, 想要获得最小晶格热导率, 声速及平均自由程需要达到最小值.这里需要注意的是由于热容公式中只考虑了声学支对热导率的贡献, 造成理论结果低于实际情况[94 ] .由于平均声速可通过测试材料的弹性模量与密度获得, 因此如果知道最小声子平均自由程就可以计算材料的最小晶格热导率.Clarke等[95 ] 提出最小声子平均自由程等于原胞体积的三次方根, 此时最小晶格热导率的表达式如下:${{\kappa }_{\min }}=0.93{{n}^{2/3}}{{k}_{\text{B}}}\frac{1}{3}(2{{v}_{\text{S}}}+{{v}_{\text{P}}})$.其中, n 为原胞中原子数.Cahill等[96 ] 和Slack[17 ] 采用Einstein模型[97 ] 计算材料处于非晶态时的最小晶格热导率.但是, 在处理热容问题时, Einstein模型与实验结果之间存在较大偏离.为了避免Einstein热容的缺陷, Cahill在Einstein假设的基础上将若干个原子视为一个整体, 作为单个振子处理.这种处理方式保留了晶格的周期性特征.Cahill假设最小声子平均自由程为声子波长的一半. ...
Heat flow and lattice vibrations in glasses
1
1989
... 为了能够快速筛选具有低晶格热导率的热电材料, 采用合理模型预测理论最小晶格热导率是非常必要的.上文提到, 晶格热导率的表达式可近似为${{\kappa }_{\text{L}}}=\frac{1}{3}{{C}_{\text{V}}}{{v}_{\text{g}}}l$.由于一般热电材料达到最小晶格热导率时都已经高于德拜温度, 此时热容已经趋近于杜隆-珀蒂值3R .代入晶格热导率公式可得:${{\kappa }_{\text{L}}}=R{{v}_{\text{g}}}l$, 其中R 为理想气体常数.因此, 想要获得最小晶格热导率, 声速及平均自由程需要达到最小值.这里需要注意的是由于热容公式中只考虑了声学支对热导率的贡献, 造成理论结果低于实际情况[94 ] .由于平均声速可通过测试材料的弹性模量与密度获得, 因此如果知道最小声子平均自由程就可以计算材料的最小晶格热导率.Clarke等[95 ] 提出最小声子平均自由程等于原胞体积的三次方根, 此时最小晶格热导率的表达式如下:${{\kappa }_{\min }}=0.93{{n}^{2/3}}{{k}_{\text{B}}}\frac{1}{3}(2{{v}_{\text{S}}}+{{v}_{\text{P}}})$.其中, n 为原胞中原子数.Cahill等[96 ] 和Slack[17 ] 采用Einstein模型[97 ] 计算材料处于非晶态时的最小晶格热导率.但是, 在处理热容问题时, Einstein模型与实验结果之间存在较大偏离.为了避免Einstein热容的缺陷, Cahill在Einstein假设的基础上将若干个原子视为一个整体, 作为单个振子处理.这种处理方式保留了晶格的周期性特征.Cahill假设最小声子平均自由程为声子波长的一半. ...
Lower limit to the thermal conductivity of disordered crystals
1
1992
... 为了能够快速筛选具有低晶格热导率的热电材料, 采用合理模型预测理论最小晶格热导率是非常必要的.上文提到, 晶格热导率的表达式可近似为${{\kappa }_{\text{L}}}=\frac{1}{3}{{C}_{\text{V}}}{{v}_{\text{g}}}l$.由于一般热电材料达到最小晶格热导率时都已经高于德拜温度, 此时热容已经趋近于杜隆-珀蒂值3R .代入晶格热导率公式可得:${{\kappa }_{\text{L}}}=R{{v}_{\text{g}}}l$, 其中R 为理想气体常数.因此, 想要获得最小晶格热导率, 声速及平均自由程需要达到最小值.这里需要注意的是由于热容公式中只考虑了声学支对热导率的贡献, 造成理论结果低于实际情况[94 ] .由于平均声速可通过测试材料的弹性模量与密度获得, 因此如果知道最小声子平均自由程就可以计算材料的最小晶格热导率.Clarke等[95 ] 提出最小声子平均自由程等于原胞体积的三次方根, 此时最小晶格热导率的表达式如下:${{\kappa }_{\min }}=0.93{{n}^{2/3}}{{k}_{\text{B}}}\frac{1}{3}(2{{v}_{\text{S}}}+{{v}_{\text{P}}})$.其中, n 为原胞中原子数.Cahill等[96 ] 和Slack[17 ] 采用Einstein模型[97 ] 计算材料处于非晶态时的最小晶格热导率.但是, 在处理热容问题时, Einstein模型与实验结果之间存在较大偏离.为了避免Einstein热容的缺陷, Cahill在Einstein假设的基础上将若干个原子视为一个整体, 作为单个振子处理.这种处理方式保留了晶格的周期性特征.Cahill假设最小声子平均自由程为声子波长的一半. ...
Thermal conductiity of insulating Bi2 Sr2 YCu2 O8 and superconducting Bi2 Sr2 CaCu2 O8 : failure of the phonon-gas picture
1
1994
... 不管是Cahill模型还是Clarke模型, 其本质都是基于声子模型及气体碰撞模型推导而得到的.然而, 对于某些材料来说, 实验能够得到的最小晶格热导率低于理论预测值, 是由于声子的数学描述要求晶格具有周期性, 而对于非晶、纳米晶及准晶材料来说, 晶格并不具有周期性.Allen及Feldman提出了对于这种具有非周期性结构材料的最小晶格热导率计算模型—扩散子模型[98 ,99 ] .图8 (a)显示了扩散子模型及声子模型之间的差别, 这一模型不再将晶格振动看作传递能量的声子, 而是符合随机漫步理论的扩散子.扩散子模型的能量传递方式由扩散控制, 该模型下晶格热导率的表达式可以表示为:${{\kappa }_{\text{diff}}}=0.76{{n}^{2/3}}{{k}_{\text{B}}}\frac{1}{3}(2{{v}_{S}}+{{v}_{\text{P}}})$.通过扩散子模型计算的最小晶格热导率比Cahill模型的最小晶格热导率低约37%[100 ] .研究表明对于具有无序结构或者复杂原胞的材料来说, 这一模型更加适用.如图8 (b)所示, Cahill模型的计算值大体与实验室所能获得的最小晶格热导率值相当.而扩散控制的最小晶格热导率则能更好地表征一种材料所能达到的极限晶格热导率. ...
Numerical study of low-frequency vibrations in amorphous silicon
1
1999
... 不管是Cahill模型还是Clarke模型, 其本质都是基于声子模型及气体碰撞模型推导而得到的.然而, 对于某些材料来说, 实验能够得到的最小晶格热导率低于理论预测值, 是由于声子的数学描述要求晶格具有周期性, 而对于非晶、纳米晶及准晶材料来说, 晶格并不具有周期性.Allen及Feldman提出了对于这种具有非周期性结构材料的最小晶格热导率计算模型—扩散子模型[98 ,99 ] .图8 (a)显示了扩散子模型及声子模型之间的差别, 这一模型不再将晶格振动看作传递能量的声子, 而是符合随机漫步理论的扩散子.扩散子模型的能量传递方式由扩散控制, 该模型下晶格热导率的表达式可以表示为:${{\kappa }_{\text{diff}}}=0.76{{n}^{2/3}}{{k}_{\text{B}}}\frac{1}{3}(2{{v}_{S}}+{{v}_{\text{P}}})$.通过扩散子模型计算的最小晶格热导率比Cahill模型的最小晶格热导率低约37%[100 ] .研究表明对于具有无序结构或者复杂原胞的材料来说, 这一模型更加适用.如图8 (b)所示, Cahill模型的计算值大体与实验室所能获得的最小晶格热导率值相当.而扩散控制的最小晶格热导率则能更好地表征一种材料所能达到的极限晶格热导率. ...
Minimum thermal conductivity in the context of diffuson-mediated thermal transport
1
2018
... 不管是Cahill模型还是Clarke模型, 其本质都是基于声子模型及气体碰撞模型推导而得到的.然而, 对于某些材料来说, 实验能够得到的最小晶格热导率低于理论预测值, 是由于声子的数学描述要求晶格具有周期性, 而对于非晶、纳米晶及准晶材料来说, 晶格并不具有周期性.Allen及Feldman提出了对于这种具有非周期性结构材料的最小晶格热导率计算模型—扩散子模型[98 ,99 ] .图8 (a)显示了扩散子模型及声子模型之间的差别, 这一模型不再将晶格振动看作传递能量的声子, 而是符合随机漫步理论的扩散子.扩散子模型的能量传递方式由扩散控制, 该模型下晶格热导率的表达式可以表示为:${{\kappa }_{\text{diff}}}=0.76{{n}^{2/3}}{{k}_{\text{B}}}\frac{1}{3}(2{{v}_{S}}+{{v}_{\text{P}}})$.通过扩散子模型计算的最小晶格热导率比Cahill模型的最小晶格热导率低约37%[100 ] .研究表明对于具有无序结构或者复杂原胞的材料来说, 这一模型更加适用.如图8 (b)所示, Cahill模型的计算值大体与实验室所能获得的最小晶格热导率值相当.而扩散控制的最小晶格热导率则能更好地表征一种材料所能达到的极限晶格热导率. ...
Lattice vibrations of glasses. Journal of
1
2006
... 近年来有研究表明, 弱拓扑绝缘体能实现极低的晶格热导率[101 ,102 ,103 ] , 并且其特殊的表面传导特性有望冲破半导体基热电材料的禁锢, 实现电性能及热性能的真正解耦.然而, 拓扑绝缘体的晶格动力学、声子输运等机制仍需要人们进一步研究与探索[104 ,105 ] .总的来说, 不论是研究发现新型的具有本征低晶格热导率的热电材料, 还是对现有的热电材料热导率进一步的降低, 通过多种手段的并用, 一定会对未来的热电材料领域的可持续发展产生实质的积极促进作用. ...
Band engineering of high performance p-type FeNbSb based half-Heusler thermoelectric materials for figure of merit zT>1
1
2015
... 近年来有研究表明, 弱拓扑绝缘体能实现极低的晶格热导率[101 ,102 ,103 ] , 并且其特殊的表面传导特性有望冲破半导体基热电材料的禁锢, 实现电性能及热性能的真正解耦.然而, 拓扑绝缘体的晶格动力学、声子输运等机制仍需要人们进一步研究与探索[104 ,105 ] .总的来说, 不论是研究发现新型的具有本征低晶格热导率的热电材料, 还是对现有的热电材料热导率进一步的降低, 通过多种手段的并用, 一定会对未来的热电材料领域的可持续发展产生实质的积极促进作用. ...
Minimum thermal conductivity in weak topological insulators with bismuth-based stack structure
1
2016
... 近年来有研究表明, 弱拓扑绝缘体能实现极低的晶格热导率[101 ,102 ,103 ] , 并且其特殊的表面传导特性有望冲破半导体基热电材料的禁锢, 实现电性能及热性能的真正解耦.然而, 拓扑绝缘体的晶格动力学、声子输运等机制仍需要人们进一步研究与探索[104 ,105 ] .总的来说, 不论是研究发现新型的具有本征低晶格热导率的热电材料, 还是对现有的热电材料热导率进一步的降低, 通过多种手段的并用, 一定会对未来的热电材料领域的可持续发展产生实质的积极促进作用. ...
Stacked topological insulator built from bismuth-based graphene sheet analogues
1
2013
... 近年来有研究表明, 弱拓扑绝缘体能实现极低的晶格热导率[101 ,102 ,103 ] , 并且其特殊的表面传导特性有望冲破半导体基热电材料的禁锢, 实现电性能及热性能的真正解耦.然而, 拓扑绝缘体的晶格动力学、声子输运等机制仍需要人们进一步研究与探索[104 ,105 ] .总的来说, 不论是研究发现新型的具有本征低晶格热导率的热电材料, 还是对现有的热电材料热导率进一步的降低, 通过多种手段的并用, 一定会对未来的热电材料领域的可持续发展产生实质的积极促进作用. ...
Subnanometre-wide electron channels protected by topology
1
2015
... 近年来有研究表明, 弱拓扑绝缘体能实现极低的晶格热导率[101 ,102 ,103 ] , 并且其特殊的表面传导特性有望冲破半导体基热电材料的禁锢, 实现电性能及热性能的真正解耦.然而, 拓扑绝缘体的晶格动力学、声子输运等机制仍需要人们进一步研究与探索[104 ,105 ] .总的来说, 不论是研究发现新型的具有本征低晶格热导率的热电材料, 还是对现有的热电材料热导率进一步的降低, 通过多种手段的并用, 一定会对未来的热电材料领域的可持续发展产生实质的积极促进作用. ...