西安交通大学 电力设备电气绝缘国家重点实验室, 西安710049
中图分类号: TM28
文献标识码: A
文章编号: 1000-324X(2016)09-0981-06
通讯作者:
收稿日期: 2016-02-1
修回日期: 2016-03-28
网络出版日期: 2016-09-20
版权声明: 2016 无机材料学报编委会 This is an open-access article distributed under the terms of the Creative Commons Attribution License, which permits unrestricted use, distribution, and reproduction in any medium, provided the original author and source are credited.
基金资助:
作者简介:
作者简介: 蔺家骏(1990-), 男, 博士研究生. E-mail: 425964714@qq.com
展开
摘要
研究了微量铝(Al)掺杂对氧化锌(ZnO)压敏陶瓷显微结构、电性能和本征点缺陷浓度等方面的影响及其作用机理。研究结果表明, 介电损耗峰值能够在一定程度上反映ZnO压敏陶瓷本征点缺陷浓度, 微量Al掺杂能够引起ZnO压敏陶瓷本征点缺陷浓度的显著降低。氧空位缺陷对应的损耗峰峰值从88.82下降到1.74, 锌填隙缺陷对应的损耗峰峰值从133.38下降到8.14。随着Al掺杂量的增加, ZnO压敏陶瓷平均晶粒尺寸从9.15 μm逐渐下降到6.24 μm, 而压敏电压从235 V/mm逐渐提高到292 V/mm。可见Al掺杂抑制了ZnO压敏陶瓷中本征点缺陷的形成, 而本征缺陷浓度的降低导致材料显微结构和电性能发生明显变化。本文阐述了Al掺杂对ZnO压敏陶瓷本征缺陷的影响机理, 建立了ZnO压敏陶瓷显微形貌、电性能、介电性能和本征点缺陷之间的联系。
关键词:
Abstract
The influences of trace ionic Al addition on the microstructure, electrical properties and intrinsic defects concentration of ZnO-based varistor ceramics were investigated. The results show that the peak value of imaginary permittivity can be used to represent intrinsic defect concentration. Trace ionic Al addition greatly reduces the intrinsic defect concentrations, i.e. the peak value of imaginary permittivity, representing the oxygen vacancy defect decreases from 88.8 to 1.7, and the corresponding zinc interstitial defect decreasing from 133.4 to 8.1. With the increase of ionic Al addition, the varistor voltage increases from 235 V/mm to 292 V/mm and the average grain size decreases from 9.15 μm to 6.24 μm. The results indicate that Al addition effectively restrains the formation of intrinsic defects in ZnO-based varistor ceramics, leading to the change of microstructure and electrical properties. Furthermore, the inhibition mechanism of Al addition to the intrinsic defects in ZnO-based varistor ceramics is discussed, and the relationships between microstructure, electrical properties, dielectric properties and intrinsic defects are established.
Keywords:
ZnO压敏陶瓷以其优异的非线性电压-电流特性和能量吸收能力, 而被广泛应用在电子线路、器件和电力系统中[1-5]。随着ZnO压敏陶瓷应用领域的拓展, 其电性能亟需提高。
传统的ZnO压敏陶瓷是一个复杂的化学体系, 包含Bi、Mn、Co、Sb、Al和Cr等添加剂[6-7]。不同的金属氧化物对ZnO压敏陶瓷的非线性特性有不同的影响。许多学者研究了Al掺杂对ZnO压敏陶瓷电性能的影响[8-14]。研究发现, 微量Al能够有效地提高晶粒电导率, 从而拓展ZnO压敏陶瓷的工作电场。研究还发现, Al掺杂能够抑制ZnO晶粒生长, 但是低掺杂量时的抑制机理仍然不是十分清楚。通过改进制备工艺(共沉淀法或溶胶-凝胶法)和采用纳米粉料[12-14], 可以改善Al掺杂ZnO压敏陶瓷的均匀性, 使其性能进一步得到提高。然而, 对于微量Al掺杂就能够引起ZnO压敏陶瓷宏观电性能极大变化的机制, 目前仍缺乏足够的认识。Al3+的离子半径小于Zn2+, 所以Al离子能够进入ZnO晶粒中, 并影响晶格点阵缺陷的平衡。一般来说, Al离子进入ZnO晶粒中会替代Zn离子或进入填隙位形成施主掺杂。Al离子对ZnO压敏陶瓷本征缺陷结构的影响, 造成了宏观电性能的变化。但是, Al掺杂对ZnO压敏陶瓷缺陷结构的影响, 至今仍停留在理论分析阶段而缺乏直观表征。
ZnO压敏陶瓷的缺陷结构对于其电性能具有重要作用, 而ZnO压敏陶瓷的缺陷结构与其极化过程紧密相关。而介电谱常用来探测缺陷电荷的松弛运动。因此, 采用介电谱能够有效地研究ZnO压敏陶瓷的缺陷结构[15]。对ZnO压敏陶瓷低温介电谱(-100℃)的研究发现, ZnO压敏陶瓷存在两个活化能分别为0.32eV和0.23eV的损耗峰, 它们分别是由氧空位和锌填隙缺陷的电子松弛过程引起[16-17]。在ZnO压敏陶瓷模量谱上能够观察到相同的松弛过程, 进一步验证了前述结果的正确性[18-19]。总而言之, 通过损耗峰随配方和制备工艺的变化可以检测ZnO压敏陶瓷缺陷结构的改变。因此可以通过低温介电谱直观地表征Al掺杂对ZnO压敏陶瓷缺陷结构的影响, 进而分析本征缺陷变化对ZnO压敏陶瓷显微结构和电性能的影响。
本工作采用传统固相法制备了不同Al(NO3)3添加量(0、0.006mol%、0.015mol%、0.030mol%)的ZnO压敏陶瓷试样, 研究了Al掺杂对ZnO压敏陶瓷显微结构、晶粒生长、电性能和介电性能的影响, 建立了本征缺陷与ZnO压敏陶瓷显微结构和电性能之间的联系。
采用传统固相法制备不同Al(NO3)3掺杂量的ZnO压敏陶瓷。五元ZnO压敏陶瓷的配方为97mol% ZnO、0.5mol% Bi2O3、1mol% Sb2O3、0.5mol% Co3O4、0.5mol% Cr2O3、0.5mol% MnO2。四种ZnO压敏陶瓷试样的Al(NO3)3含量分别为: (1) 0 (Al-0), (2) 0.006mol% (Al-60), (3) 0.015mol% (Al-150), (4) 0.030mol% (Al-300)。将化学纯的氧化物放入装有锆球的聚乙烯罐子中, 加入去离子水, 使用行星球磨机以一定的速率均匀混合。铝以硝酸盐Al(NO3)3·9H2O(在200℃下分解为Al2O3)的形式加入球磨罐中。球磨后的粉料用压力机压成φ20 mm×5 mm的生坯。生坯在1200℃下保温2 h得到陶瓷试样(Φ~17 mm, d ~4 mm)。
采用X射线衍射 (XRD; d8advance 3.0) 分析试样的晶相结构; 采用扫描电子显微镜 (SEM; VE-9800S) 观察试样的表面形貌。试样的压敏电压E定义为: U1mA/d, 式中U1mA是电流为1mA时的电压, d是试样的厚度(mm)。非线性系数定义为:

式中I1=0.1 mA, I2=1 mA, U1和U2分别为电流为I1和I2时的电压。
通过Novocontrol宽频带介电谱仪测量试样的介电频谱, 测试频率和温度范围分别为0.1~106 Hz和-120℃~20℃。
不同Al掺杂量ZnO压敏陶瓷试样的XRD图谱如图1所示。在所有试样中均能够观察到ZnO相、富Bi2O3相和Zn7Sb2O12尖晶石相。从图1还可以看出, 不同Al掺杂量的ZnO试样, 没有形成额外的衍射峰, 这表明微量Al元素掺杂对试样的相组成没有影响。这是因为试样中Al含量很低, 还没有达到Al在ZnO晶粒中的溶解极限。对Zn1-xAlxO试样的研究也证明当x≤0.05时, 不会产生额外的衍射峰[11]。由于Al3+的离子半径(0.051 nm)小于Zn2+(0.074 nm), 因此Al3+能够进入ZnO晶粒中进而影响晶格缺陷平衡。通过XRD图谱可计算得到不同Al掺杂量的试样中ZnO晶粒的晶格常数, 如表1所示。从表1可以看到, 随着Al掺杂量增加, ZnO晶粒的晶格常数先增大后略微减小然后又增大, 晶格常数整体呈增大趋势。由此可以推断, Al3+进入ZnO晶粒后, 会同时形成填隙缺陷和替位缺陷, 形成填隙缺陷会使晶格常数增大, 而替位缺陷则会使晶格常数减小, 这就导致了晶格常数的波动。总的来说, Al3+更容易占据填隙位, 所以ZnO晶粒的晶格常数是呈增大趋势的。
图1 不同Al掺杂量ZnO压敏陶瓷试样的XRD图谱
Fig. 1 XRD patterns of ZnO varistor ceramic samples doped with various Al amounts
Al掺杂ZnO压敏陶瓷试样的显微形貌如图2所示, 图注括号内的数值为试样的平均晶粒尺寸, 平均晶粒尺寸是通过统计每个试样上100到200个晶粒的大小计算得到的。随着Al掺杂量的增加, ZnO试样的平均晶粒尺寸从9.15 μm下降到6.24 μm, 晶间相增加。结果表明, 即使很少量的Al元素掺杂就能够有效地抑制ZnO晶粒的生长。
表1 不同Al掺杂量ZnO压敏陶瓷试样ZnO晶粒晶格常数
Table 1 Lattice constant of ZnO grain in ZnO varistor ceramic samples doped with various Al amounts
| Al amount/mol% | a /nm | c /nm |
|---|---|---|
| 0 | 0.323947 | 0.518892 |
| 0.006 | 0.324105 | 0.519197 |
| 0.015 | 0.324071 | 0.519127 |
| 0.030 | 0.324173 | 0.519337 |
图2 不同Al掺杂量ZnO压敏陶瓷试样的SEM照片
Fig. 2 SEM images of ZnO varistor ceramic samples doped with various Al amounts
对ZnO压敏陶瓷的研究表明, 当Al掺杂量很高(>0.1mol%)时, 陶瓷内部会形成ZnAl2O4尖晶石相并阻碍ZnO晶粒的生长[8]。这种抑制是由于阻塞效应引起的晶界运动性的降低。但XRD图谱显示, 微量Al掺杂试样中并没有检测到ZnAl2O4, 这说明Al元素是以其他方式影响了ZnO晶粒的生长, Al离子有可能进入ZnO晶粒中改变了其缺陷结构, 从而影响ZnO晶粒的生长。图3为不同Al掺杂量ZnO压敏陶瓷试样室温下的I-V特性, 试样的非线性系数和压敏电压见表2, 从表中可以看到, 未掺Al试样I-V曲线击穿区域更加平坦, 试样的非线性系数α是41.98。而Al掺杂量为0.030mol%时, 试样的非线性系数下降到14.26。随着Al掺杂量的增加, 试样的压敏电压E逐渐从235 V/mm提高到292 V/mm。
图3 不同Al掺杂量ZnO压敏陶瓷试样I-V特性
Fig. 3 I-V characteristics of ZnO varistor ceramic samples doped with various Al amounts
表2 不同Al掺杂量ZnO压敏陶瓷试样非线性系数和压敏电压
Table 2 Nonlinear coefficient and varistor voltage of ZnO varistor ceramic samples doped with various Al amounts
| Sample | α | E /(V·mm-1) |
|---|---|---|
| Al-0 | 41.98 | 235 |
| Al-60 | 37.98 | 249 |
| Al-150 | 20.56 | 272 |
| Al-300 | 14.26 | 292 |
ZnO压敏陶瓷小电流区的I-V特性主要受晶界肖特基势垒控制。从图2可以看到, Al掺杂有效地减小了晶粒尺寸, 这意味着单位尺寸内的晶界数增多, 从而提高了试样的压敏电压。另一方面, 非线性系数的下降意味着晶界势垒高度的降低。ZnO压敏陶瓷晶界双肖特基势垒能够用原子缺陷模型来描述[2, 7], 其基本概念是组成势垒的耗尽层由两部分构成: 稳定的、空间固定的带正电荷离子和亚稳定的、可移动的带正电荷的锌填隙, 前一种离子是三价取代离子(施主离子)和本征的氧空位; 后一种离子是本征的1价和2价锌填隙。这些正电荷离子从晶界两端延伸至相邻的晶粒, 并被晶界界面负电荷(锌空位)层补偿。Al离子进入ZnO晶粒中能够影响本征缺陷浓度, 从而降低晶界势垒高度。
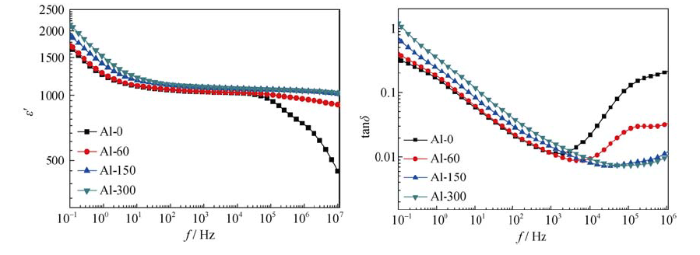
图4 不同Al掺杂量ZnO压敏陶瓷试样的室温(25℃)介电谱
Fig. 4 Dielectric spectra of ZnO varistor ceramic samples doped with various Al amounts at room temperature (25℃)
图4为不同试样的室温介电谱, 从图中可以看到, 随着Al掺杂量的增加, 试样的介电常数实部ε’逐渐增加。介电损耗在低频区有所增加, 而在高频区反而下降。低频区的介电损耗是由电导过程引起的, Al掺杂会降低ZnO晶界势垒高度, 导致低频电导损耗的增加。高频区的介电损耗是由ZnO压敏陶瓷的松弛极化过程引起的, 而试样的松弛极化过程与其缺陷结构密切相关, 高频损耗的降低意味着缺陷结构的改变。
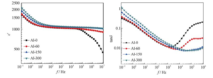
为了研究Al掺杂对ZnO压敏陶瓷缺陷结构的影响, 对不同Al掺杂量试样的低温(-120℃~-60℃)介电频谱进行了分析(图5)。对于Al-0和Al-60试样, 介电常数虚部谱图上有两个明显的松弛损耗峰。这两个峰是由ZnO压敏陶瓷的本征缺陷(氧空位和锌填隙)引起的[16]。低频峰的活化能为0.32 eV, 对应于氧空位; 而高频峰的活化能为0.22 eV, 对应于锌填隙。对于Al-150和Al-300试样, 松弛峰高度明显降低而低频峰(氧空位)甚至消失不见。与此同时, 低频电导损耗随着Al含量的增加明显提高。
图5 不同Al掺杂量ZnO压敏陶瓷试样低温(-120℃~-60℃)介电频谱
Fig. 5 Dielectric spectrum of ZnO varistor ceramic samples doped with various Al amounts at low temperature (-120℃~-60℃)
图6 (a) 不同Al掺杂量ZnO压敏陶瓷试样-100℃介电谱和(b) 不同Al掺杂量试样的松弛峰峰值
Fig. 6 (a) Dielectric spectra of ZnO varistor ceramic samples doped with various Al amounts at -100℃ and (b) peak value of relaxation peak for samples doped with various Al amounts
图6(a)为不同Al掺杂量ZnO压敏陶瓷试样-100℃下的介电谱。为了提取松弛峰的峰值, 采用德拜松弛极化理论对曲线进行拟合[20]。

介电谱曲线可以分解为一个电导过程和两个松弛极化过程。从图6(b)可以看到, 不同Al含量试样拟合计算后得到的松弛过程的峰值, Al掺杂会使得松弛峰峰值迅速降低。对于低频损耗峰, 峰值从88.82下降到1.74; 而对于高频损耗峰, 峰值从133.38下降到8.14。由于松弛峰峰值的大小与ZnO压敏陶瓷本征缺陷的浓度有关, 因此Al掺杂会抑制本征缺陷(氧空位和锌填隙)的形成。结合XRD结果可以得到, Al离子进入了ZnO晶粒的填隙位, 这一过程会形成新的杂质缺陷, 并抑制本征缺陷的形成。本征缺陷浓度的降低证明Al离子在ZnO晶粒中是作为施主掺杂的。
通过低温介电谱, 对不同Al掺杂量ZnO压敏陶瓷本征缺陷浓度进行了分析。研究发现, 随着Al掺杂量的提高, ZnO压敏陶瓷的本征缺陷(氧空位和锌填隙)浓度明显降低。Al3+的离子半径小于Zn2+, 因此Al3+能够轻易地进入ZnO晶粒中。Al3+离子进入ZnO晶粒后会替代Zn2+离子形成替位缺陷或进入ZnO晶胞的空隙形成填隙缺陷。对于前一种缺陷, 因为Al3+的离子半径较小, 因此试样的晶格常数会减小; 而对于后一种缺陷, Al3+占据本来不存在原子的空隙, 排斥周围的离子, 导致试样的晶格常数增大。从XRD图谱得到的计算结果可以看到, 试样的晶格常数呈增大趋势, 因此可以认为, Al3+进入ZnO晶粒主要形成填隙缺陷。由电荷平衡可知, Al3+进入填隙位将产生电子进入导带, 提高了电子浓度, 晶粒电导率也随之提高。而本征缺陷(氧空位和锌填隙)的形成也伴随着电子的产生, 因此电子浓度的提高抑制了本征缺陷的形成。
从原子缺陷模型可知, ZnO压敏陶瓷晶界势垒高度与本征缺陷浓度密切相关。本征缺陷浓度减小导致晶界势垒高度降低, 低频电导损耗增加, 试样的非线性系数下降。另一方面, 介电谱中高频损耗来自本征缺陷松弛极化过程的贡献, 本征缺陷浓度降低使得高频松弛损耗下降。此外, 本征缺陷浓度降低减弱了Zn2+的扩散, 从而抑制了晶粒生长。晶粒生长受到抑制导致晶粒尺寸减小, 晶界数增加, 从而明显提高试样的压敏电压。
实验研究了Al掺杂对ZnO压敏陶瓷显微结构、电性能和介电性能的影响。随着Al掺杂量的增加, ZnO压敏陶瓷试样的晶粒尺寸明显减小。此外, 压敏电压E从235 V/mm升高到292 V/mm, 非线性系数从41.98下降到14.26。低温介电谱测试结果表明, Al掺杂能够抑制ZnO压敏陶瓷本征缺陷的形成。介电常数虚部松弛峰峰值明显下降, 特别是低频松弛峰。氧空位缺陷对应的松弛峰几乎消失不见, 而低频电导损耗明显增加。研究结果表明, Al掺杂做为一种施主掺杂能够影响ZnO压敏陶瓷本征缺陷浓度, 而本征缺陷浓度的变化影响了ZnO晶粒的生长, 造成电性能的变化。
| [1] |
Zinc oxide varistor. |
| [2] |
Application of zinc oxide varistor. |
| [3] |
Preparation of rare earth oxide doped ZnO varistor and its electrical properties.
|
| [4] |
Advances in ZnO-Bi2O3 based varistors.
|
| [5] |
Advances in ZnO varistors in China during the past 30 years-fundamentals, processing, and applications. |
| [6] |
Influences of additives on properties of nonlinear ZnO ceramics. |
| [7] |
Varistor ceramics. |
| [8] |
Characteristics of ZnO-based varistor ceramics doped with Al2O3. |
| [9] |
Effect of Al and Mn doping on the electrical conductivity of ZnO .
|
| [10] |
Electrical characteristics and stability of low voltage ZnO varistors doped with Al.
|
| [11] |
Enhancement of electrical conductivity by Al-doped ZnO ceramic varistors. |
| [12] |
Electrical properties of Al2O3-doped ZnO varistors prepared by Sol-Gel process for device miniaturization. |
| [13] |
Microwave dielectric properties of Al-doped ZnO powders synthesized by coprecipitation method.
|
| [14] |
Structural and dielectric properties of Al-doped ZnO nanostructures. |
| [15] |
Admittance-frequency response in zinc-oxide varistor ceramics. |
| [16] |
Investigation on defect structure in ZnO varistor ceramics by dielectric spectra. |
| [17] |
Characterization of intrinsic donor defects in ZnO ceramics by dielectric spectroscopy . |
| [18] |
Intrinsic and extrinsic defect relaxation behavior of ZnO ceramics . |
| [19] |
Revisiting the low-temperature dielectric properties of ZnO . |
| [20] |
Role of defects in determining the electrical properties of ZnO ceramics . |
/
| 〈 |
|
〉 |