温度控制织构金属基带上YBCO外延薄膜生长及缺陷研究
徐亚新, 熊杰, 夏钰东, 张飞, 薛炎, 陶伯万
电子科技大学 电子薄膜与集成器件国家重点实验室, 成都 610054
熊 杰, 副教授. E-mail:jiexiong@uestc.edu.cn

徐亚新(1987-), 女, 硕士研究生. E-mail:xuyaxin1000@126.com

摘要

采用直流溅射法在Y2O3/YSZ/CeO2(YYC)缓冲层的织构NiW基带上, 通过基片温度调制YBa2Cu3O7-δ(YBCO)外延薄膜生长。X射线衍射仪(XRD)表征显示, 基片温度强烈地影响YBCO薄膜的外延生长: 在较低的基片温度下薄膜趋于a轴取向生长, 随基片温度升高薄膜逐渐变为纯c轴取向生长。由于a轴晶粒引起的大角度晶界会阻碍超导电流在a-b面内的传输, 因此YBCO薄膜的微观结构和超导电性能随温度升高而得到改善, 但是随着基片温度继续升高, 基带的氧化程度加剧, YBCO与缓冲层间发生界面反应, 从而导致薄膜质量衰退。本

关键词: YBa2Cu3O7-δ; (YBCO); 基片温度; 生长取向; 位错密度
中图分类号:TM26   文献标志码:A    文章编号:1000-324X(2013)05-0491-06
Effect of Substrate Temperature and Dislocation Density on the Epitaxial Growth of YBCO Thin Films on Textured Metal Tap
XU Ya-Xin, XIONG Jie, XIA Yu-Dong, ZHANG Fei, XUE Yan, TAO Bo-Wan
State Key Lab of Electronic Thin Films and Integrated Devices, University of Electronic Science and Technology of China, Chengdu 610054, China
Abstract

Epitaxial YBa2Cu3O7-δ(YBCO) thin films were grown on Y2O3/YSZ/CeO2 (YYC) buffered Ni-5at%W substrates by direct-current sputtering, and induced by substrate temperature. X-ray diffraction (XRD) results showed that the substrate temperature strongly influenced the epitaxial growth of YBCO films: thea-axis preferential grains grew at lower substrate temperature, and strictlyc-axis epitaxial YBCO films were achieved at higher substrate temperature. The amount ofa-axis YBCO component evaluated from the ratio of XRDχ-scan integrated intensity of thea-axis andc-axis for the YBCO (102) plane decreased as the substrate temperature increased. Since the development of thea-axis component can result in high angle grain boundaries, which can degrade theIc passing through thea-b plane, the microstructure and the critical current density of YBCO thin films were improved as substrate temperature increasing. While the microstructure and the critical current density of YBCO thin films were deteriorated above 780℃ for the baseband oxidation and the interface reaction between the YBCO and the buffer layer. The dislocation density in the YBCO thin films was measured and calculated. The relationship between the dislocation density and critical current density (Jc) was systematically investigated,Jc was much more sensitive to the screw dislocation than to the edge dislocation, which was attributed to the spiral growth mechanism of YBCO thin films.

Keyword: YBa2Cu3O7-δ; (YBCO); substrate temperature; crystal orientation; dislocation density

以YBa2Cu3O7-δ(YBCO)为代表的第二代高温超导带材, 凭借其液氮温区(77 K)下不可逆场高、交流损耗低、高场下载流能力高等及制备成本相对低廉的优势, 在电力系统、交通运输、国防军事、医疗等多个领域具有广泛的应用前景, 成为近年来世界各国超导研究的热点[ 1, 2, 3, 4]。由于Y系材料晶粒间弱连接对带材的载流能力影响严重, 并且需要制备在柔性基带上以保证机械性能。因此, 高性能的YBCO带材需要通过薄膜外延技术在织构金属基带或隔离层上制备。目前国内外获得织构特征的技术路线主要有三种: 轧制辅助双轴织构基带(RABiTS)、离子束辅助沉积(IBAD)及倾斜基片沉积(ISD)[ 2]。其中RABiTS路线采用的是金属加工工艺, 在规模化生产方面具有明显的优势, 受到各国研究人员的青睐。

采用RABiTS路线制备YBCO带材, 首先在织构金属基带上外延生长金属氧化物缓冲层, 再在其上外延生长YBCO超导层。由于晶格失配、界面扩散等因素, 外延生长的YBCO薄膜中存在大量的晶界、孪晶、位错和堆垛层错等晶体缺陷。Wang 等[ 5]研究了堆垛层错密度与脉冲激光沉积(PLD)法制备的YBCO薄膜在应用磁场下的临界电流密度之间的关系, 结果显示堆垛层错密度强烈影响YBCO薄膜磁场下的性能: 平行于 c轴的磁场下的临界电流密度随堆垛层错密度的增加而线性增加, 这是由于PLD法制备的YBCO薄膜属于柱状生长机制, 堆垛层错在 c轴方向形成了磁通钉扎中心, 因此有效提高了平行于 c轴的应用磁场下的临界电流密度。Specht等[ 6]研究结果显示, 金属有机液相沉积(MOD)法制备的YBCO薄膜属于层状生长, 堆垛层错可以作为有效的磁通钉扎中心而提高薄膜在平行于 a-b面的磁场中的临界电流密度。粟飙等[ 7]研究表明溅射法制备YBCO薄膜时, 螺旋位错将诱使薄膜采取螺旋式生长方式, 而超导薄膜中螺旋式生长结构可以改善或消除薄膜中的弱连结, 并在晶内形成了有利的磁通钉扎中心, 从而使得临界电流密度增加。以上各个研究小组的研究结果表明位错和堆垛层错等晶体缺陷在改善YBCO传输性能方面起着重要的作用, 并且这种作用所产生的机制不仅与缺陷本身有关, 还与薄膜的生长方式有关。因此开展位错与织构金属基带上外延生长的YBCO薄膜自场下临界电流密度的关系的研究是十分必要的。

本工作采用直流溅射方法在以Y2O3/YSZ/ CeO2(YYC)三层结构作为缓冲层的双轴织构NiW合金基带上外延生长YBCO超导薄膜, 研究基片温度对织构金属基带上YBCO外延薄膜生长的影响, 通过测试计算YBCO外延薄膜中的位错密度, 研究位错对超导薄膜临界电流密度的影响及机理。

1 实验方法

采用双倒筒靶单轴驱动双轴旋转直流溅射系统在具有YYC缓冲层的织构Ni-5at%W(NiW)合金基带上外延生长YBCO超导薄膜。为避免来自基底的差异, 实验中选择已经制备好均匀YYC缓冲层薄膜的长金属基带, 将其切为10 mm×10 mm短样作为基片。实验采用直径为50 mm、高为45 mm、厚度5 mm的空心圆柱状陶瓷YBCO靶材, 溅射总压为30 Pa, 氧氩比为1∶2, 溅射电压为130 V, 溅射电流为0. 5 A, 沉积速率为30 nm/h, 溅射时间为9 h, 基片温度分别为720℃、740℃、760℃、780℃、800℃、820℃。薄膜沉积结束后立即将真空室中充入1.1013×105Pa的高纯氧, 在450℃左右保温40 min, 保温结束后自然降至室温。详细工艺参数见文献[ 8, 9]

采用bede D1多功能X射线衍射仪对YBCO薄膜的外延特性进行表征, 计算YBCO外延薄膜的位错密度。采用德国Leipzig大学研制的 Jc-Scan Leipzig系统测试超导薄膜的临界电流密度( Jc)。

2 结果与讨论
2.1 基片温度对YBCO外延薄膜生长的影响

图1是在织构YYC/NiW金属基带上基片温度分别为720℃、740℃、760℃、780℃、800℃、820℃下制备的YBCO 薄膜的 θ-2 θ扫描图谱。从图1可以看出, 基片温度为720℃和740℃时制备的YBCO薄膜中存在明显的 a轴取向, 表明当基片温度偏低时, 薄膜为 a轴和 c轴晶粒共同混合生长, 并且随着基片温度升高, a轴衍射峰强度逐渐变弱, c轴衍射峰增强。当基片温度达到760℃, θ-2 θ扫描图谱中无 a轴衍射峰, 薄膜呈单一的 c轴取向, 并在基片温度为780℃时 c轴衍射峰峰强达到最大。由于所有样品薄膜厚度一样, 表明此温度点YBCO薄膜的结晶质量最高。随着基片温度继续升高, c轴衍射峰峰强开始减弱, 在基片温度为820℃时, 从扫描图谱中可以观察到明显的NiWO4衍射峰和BaCeO3衍射峰。值得注意的是, 所有样品的扫描图谱都存在NiWO4和NiO衍射峰(分别在19o和37o附近), 表明长时间等离子体的轰击一定程度上破坏了过渡层良好的结构, 使所有样品的金属基带都发生了一定程度的氧化, 并且基片温度越高, NiWO4和NiO衍射峰越强, 表明基带的氧化程度越严重。另外, 基片温度为820℃时出现的BaCeO3是由于基片温度过高使得YBCO与CeO2反应生成的。因此, 基片温度过高不仅使基带的氧化程度加重, 还会使YBCO与CeO2间发生界面反应, 导致YBCO薄膜的微观结构衰退。

图1 不同基片温度下制备的YBCO薄膜的XRD图谱Fig. 1 XRD patterns of YBCO films prepared at different substrate temperatures

当基片温度达到760℃, 从 θ-2 θ扫描图谱就观察不到YBCO的 a轴取向晶粒, 但是事实上, 薄膜仍然可能是 a/c轴混合取向生长。YBCO(102)面 χ扫描可以进一步确定外延取向[ 10], 如图2所示, 图中33o附近衍射峰来自于 a轴取向晶粒, 57o附近衍射峰来自于 c轴晶粒。从 χ扫描图谱中不难看出, 基片温度为720℃、740℃时制备的薄膜中明显存在 a轴晶粒, 和图1相对应。而760℃下制备的样品, 尽管 θ-2 θ扫描图谱中为纯 c轴取向, 但在 χ扫描图谱中仍然观察到极微弱的33o衍射峰。采用扫描电子显微镜(SEM)观察其表面形貌, 其结果如图3所示, 从图中可以观察到少量针尖状 a轴晶粒, 表明基片温度为760℃制备的薄膜中 a c轴取向共存。基片温度为780℃至820℃制备的YBCO薄膜无论是 θ-2 θ扫描还是 χ扫描, 均为单一的 c轴取向。YBCO薄膜中 a轴晶粒所占的比例 Fa由公式(1)

F a=Ia(102)/(Ic(102) )+Ia(102) (1)

确定, 其中 Ia(102)和 Ic(102)分别表示对YBCO(102)面 χ扫描中 a轴晶粒和 c轴晶粒产生的衍射峰的积分强度。基片温度为720℃、740℃和760℃制备的YBCO薄膜的 Fa依次为61.34%、9.46%和0.95%, 进一步证明随基片温度升高, YBCO外延薄膜由以 a轴取向生长为主逐步向以 c轴取向生长过渡, 并最终达到纯 c轴取向生长。

图2 不同基片温度下制备的YBCO样品(102)面 χ扫描图谱Fig. 2 (102) plane χ scan of YBCO films prepared at different substrate temperatures

图3 基片温度为760℃时制备的YBCO薄膜的SEM照片Fig. 3 SEM image of the YBCO thin film prepared at substrate temperature of 760℃

2.2 YBCO外延薄膜中位错密度的计算

YBCO薄膜中的位错密度采用Williamson-Hall法[ 11]定量计算, 线性拟合公式为:

(2)

其中, FWHM ω代表衍射峰的半高宽, θ为布拉格角, λ为X射线波长, αω为与螺型位错相关的倾斜角度, L为横向相干长度。对公式(2)恒等变形可得:

(3)

从公式(3)中可以看出, 倾斜角度 αω即为FWHM ω× (sin θ)/ λ与sin θ/ λ关系曲线的斜率。通过测试YBCO薄膜(00l)衍射峰半高宽, 如表1所示, 带入公式(3)中, 进而得到图4所示的FWHM ω×(sin θ)/ λ与sin θ/ λ关系曲线, 求得倾斜角度 αω

表1 不同基片温度制备的YBCO薄膜的衍射峰半高宽, 倾斜角度 αω, 螺位错密度 NS, 刃位错密度 NE及总位错密度 N Table 1 FWHMs, tilt angle αω, density of the screw type threading dislocations NS, density of edge dislocations NE and the total dislocation density of YBCO thin films prepared at different substrate temperatures

图4 不同基片温度下制备的YBCO薄膜的Williamson-Hall图谱Fig. 4 Williamson-Hall patterns of YBCO films prepared at different substrate temperatures

由倾斜角度 αω计算螺位错密度 NS的方程如下:

(4)

其中, bc c型螺位错的伯格矢量, | bc|=0.5185 nm。不同温度下螺位错密度如图5所示。

图5 不同基片温度制备的YBCO薄膜的临界电流密度 Jc(77 K, 0 T)、螺位错密度 NS、刃型位错密度 NE和总位错密度 NFig. 5 The critical current density Jc(77K,0T), the density of the screw type threading dislocations ( NS), the edge dislocations( NE) and the total dislocations( N) of YBCO thin films prepared at different substrate temperatures

薄膜中的刃型位错密度由YBCO(103)面的 Φ扫描图谱的半高宽计算:

(5)

其中, FWHM Φ代表 Φ扫描中各衍射峰的半高宽, bE为刃位错的伯格矢量, | bE|=0.3189 nm, 计算可得到不同基片温度下样品中刃型位错密度值。总位错密度 N即为螺位错与刃型位错密度之和, 如图5所示:

(6)

2.3 位错对YBCO外延薄膜电学性能的影响

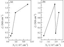
图5中可以观察到, 随基片温度升高, 临界电流密度 Jc先增加后降低, 在780℃时达到最大值1.3 MA/cm2(77 K, 0 T)。这与XRD的分析结果一致: YBCO薄膜外延质量随沉积温度的升高先优化而后衰退, 在基片温度为780℃时外延生长的YBCO薄膜的超导性能最佳, 这主要是由于在较低的基片温度下制备的YBCO薄膜为 a轴和 c轴取向混合生长, a轴晶粒的存在会导致大角度晶界的产生, 从而阻碍超导电流在 a-b面内的传输, 降低其临界电流密度。而当基片温度过高时, 基带氧化及YBCO与缓冲层间的界面反应都会引起薄膜微观结构的衰退, 从而降低其电学性能。另外, 观察图5中的各个关系曲线可以发现, 对于 c轴生长的YBCO薄膜, 其临界电流密度随基片温度的变化趋势与螺位错密度随基片温度的变化趋势是相同的, 而与占总位错90%以上的刃位错密度关系不大。

为了更好地研究位错密度与超导薄膜电学性能之间的关系, 如图6所示为临界电流密度与螺位错密度及刃位错密度的关系曲线。从图6中可以看出, 随螺位错密度的增加, 薄膜的 Jc迅速增大; 而刃位错密度与 Jc之间似乎无规律性可言。YBCO薄膜的 Jc对螺位错密度比对刃位错密度更加敏感, 可以归咎为YBCO薄膜的生长机制。在YYC/NiW金属基带上外延生长YBCO薄膜时, YBCO层与CeO2模板层间的晶格失配可能会在界面附近引入位错和缺陷, 同时缓冲层本身存在大量位错和缺陷也会蔓延到YBCO薄膜层中, 这些位错和缺陷成为YBCO薄膜螺旋岛状生长的成核中心。YBCO薄膜的每一个螺旋生长结构都是以螺位错为中心, 螺位错密度较大意味着薄膜生长初期可以有大量的螺位错成为成核中心, 这些螺旋形的台阶将诱使原子沿其聚集而形成螺旋结构, 因此螺位错密度较大时有助于YBCO薄膜螺旋式生长方式的形成和完善, 从而获得较高的临界电流密度。而小的螺位错密度则可能导致薄膜的螺旋生长结构发育不完善, 造成 Jc的降低。因此, 螺位错密度可以显著影响薄膜的电学性能: 大的螺位错密度有助于YBCO结晶质量的提高。而由于YBCO薄膜的螺旋生长机制与刃位错无关, 因此刃位错密度与超导薄膜的临界电流密度值没有明显关系。

图6 临界电流密度( Jc)与(a)螺位错密度( NS)及(b)刃型位错密度( NE)关系曲线Fig. 6 The relationship between the critical current density ( Jc) and the dislocations density: (a) screw type threading dislocations NS; (b) edge dislocations NE

3 结论

通过温度调制进行YYC缓冲层的织构NiW基带上YBCO薄膜外延生长研究。在较低的基片温度下YBCO薄膜易沿 a轴取向生长, 随基片温度升高, YBCO薄膜逐步成为纯 c轴取向生长。由于基片温度较低时薄膜中存在的 a轴晶粒引起的大角度晶界会阻碍超导电流在 a-b面内的传输, 而过高的基片温度又会引起基带的氧化程度加剧及YBCO与缓冲层间的界面反应, 因此YBCO薄膜的微观结构和超导电性能随基片温度的升高先优化而后衰退, 本实验中, YYC/NiW基带上外延生长YBCO薄膜的最佳基片温度为780℃, 此时制备的YBCO薄膜的 Jc为 1.3 MA/cm2。采用Williamson-Hall法计算YBCO薄膜中的位错密度, 通过分析比较自场下 Jc与螺位错密度及刃位错密度的关系发现: YBCO薄膜中, Jc对螺位错密度比对刃位错密度更加敏感, Jc随螺位错密度的增加而增大, 这与YBCO薄膜的螺旋结构生长机制密切相关。

参考文献
[1] Larbalestier David, Gurevich Alex, Feldmann Matthew D, et al. High-Tc superconducting materials for electric power applications. Nature, 2001, 414(11): 368-377. [本文引用:1] [JCR: 38.597]
[2] 陶伯万, 熊 杰, 李言荣, . YBCO超导带材研究进展. 中国材料进展, 2009, 28(4): 16-22. [本文引用:2]
[3] 古宏伟, 杨 坚, 刘慧舟, . YBa2Cu3O7-x涂层导体的研究进展. 中国稀土学报, 2006, 24(3): 258-268. [本文引用:1]
[4] 蔡传兵, 刘志勇, 鲁玉明. 实用超导材料的发展演变及其前景展望. 中国材料进展, 2011, 30(3): 1-8. [本文引用:1]
[5] Wang J, Kwon J H, Yoon J, et al. Flux pinning in YBa2Cu3O7-δ thin film samples linked to stacking fault density. Applied Physics Letters, 2008, 92(8): 082507-1-3. [本文引用:1] [JCR: 3.794]
[6] Specht E D, Goyal A, Li J, et al. Stacking faults in YBa2Cu3O7-x: Measurement using X-ray diffraction and effects on critical current. Applied Physics Letters, 2006, 89(16): 162510-1-3. [本文引用:1] [JCR: 3.794]
[7] 粟 飙, 王又青, 王秋良, . 超导薄膜螺旋生长结构对临界电流密度的影响. 低温物理学报, 1998, 20(2): 114-118. [本文引用:1]
[8] Xiong J, Tao B W, Li Y R, et al. Reel-to-reel continuous simultaneous double-sided deposition of highly textured CeO2 templates for YBa2Cu3O7-δ coated conductors. Superconductor Science and Technology, 2008, 21(2): 025016-1-5. [本文引用:1] [JCR: 2.758]
[9] Xiong J, Qin W F, Li Y R, et al. High-resolution XRD study of stress-modulated YBCO films with various thicknesses. Journal of Crystal Growth, 2007, 300(2): 364-367. [本文引用:1] [JCR: 1.552]
[10] Shi D Q, Ko R K, Song K J, et al. Effects of deposition rate and thickness on the properties of YBCO films deposited by pulsed laser deposition. Superconductor Science and Technology, 2004, 17(2): S42-S45. [本文引用:1] [JCR: 2.758]
[11] Williamson G K, Hall W H. X-ray line broadening from field aluminium and wolfram. Acta Metallurgica, 1953, 1(1): 22-31. [本文引用:1]