[an error occurred while processing this directive]
不同横向尺寸单层Ti3C2Tx纳米片的制备及其电化学性能研究
马亚楠1,刘宇飞1,余晨旭1,张传坤1,罗时军1(),高义华2,3()
Monolayer Ti3C2Tx Nanosheets with Different Lateral Dimension: Preparation and Electrochemical Property
MA Ya-Nan1,LIU Yu-Fei1,YU Chen-Xu1,ZHANG Chuan-Kun1,LUO Shi-Jun1(),GAO Yi-Hua2,3()

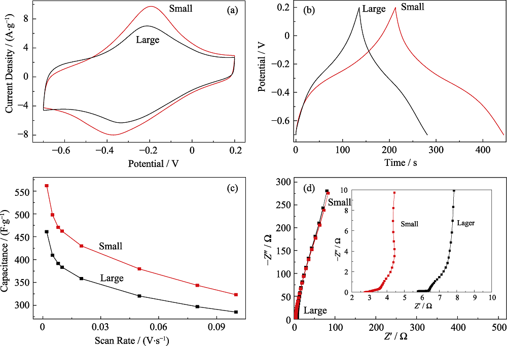
图4. (a)大小片层Ti3C2Tx在20 mV/s下的CV曲线; (b)大小片层Ti3C2Tx在1 A/g下的GCD曲线图; (c)大小片层Ti3C2Tx在不同扫描速率下的质量比电容; (d)大小片层Ti3C2Tx在5 mHz到100 kHz下的电化学阻抗谱

Fig. 4. (a) CV curves of smaller and larger size Ti3C2Tx at 20 mV/s; (b) GCD curves of smaller and larger size Ti3C2Tx at 1 A/g; (c) Specific capacity of smaller and larger size Ti3C2Tx at different scanning rates; (d) EIS (Nyquist plots) for smaller and larger size Ti3C2Tx from 5 mHz to 100 kHz